














































































Preview text:





LỜI NÓI ĐẦU
Cuốn tài liệu “Giải đề cương Đại số” được sưu tầm và biên soạn lại với mục đích hỗ trợ các bạn sinh viên trường Đại học Bách Khoa Hà Nội có nguồn tài liệu học tập chất lượng, phục vụ cho việc ôn tập cũng như luyện thi dễ dàng hơn ở học phần Đại số tuyến tính.
Cuốn tài liệu này được biên soạn lại bởi đội ngũ Tài Liệu HUST với các nguồn tài liệu:
- Đề cương Đại số tuyến tính – Viện toán ứng dụng và tin học
- Các tài liệu được chia sẻ trên group Hỗ trợ học tập đại cương – ĐHBKHN
- Các tài liệu được chia sẻ trên group BCORN – Hỗ trợ sinh viên Bách Khoa
Để có thể học tập hiệu quả hơn và có định hướng học tập rõ ràng hơn bạn có thể tham khảo khóa học Đại số hoặc các khóa học khác tại website: Bcorn.org (Trực thuộc phòng CTSV)
Gi
ả
i đ
ề
cương Đ
ạ
i s
ố
MI1141
-
nhóm ngành 1

lOMoARcPSD|27790909

Trong quá trình nhóm biên soạn tài liệu cũng không thể tránh được hết tất cả những sai sót hay nhầm lẫn nên nhóm rất mong nhận được phản hồi của các bạn để tài liệu này càng hoàn thiện hơn, có ích hơn với các bạn sinh viên. Mọi đóng góp bạn có thể gửi cho nhóm qua các địa chỉ email: tailieuhustgroup@gmail.com
MỘT SỐ KÊNH THÔNG TIN CỦA TÀI LIỆU HUST
- Website: https://tailieuhust.com/
- Facebook: https://www.facebook.com/tailieuhust
- Discord: https://discord.com/invite/GKkhW3D9pq
- Telegram: https://t.me/+72guyAp_ewQwYTY1
- Youtube: https://www.youtube.com/channel/UCy4RUTy_FzQ1UhiklR9PVdw
MỤC LỤC
GIẢI ĐỀ CƯƠNG ĐẠI SỐ TUYẾN TÍNH NHÓM NGÀNH 1 4
CHƯƠNG I. TẬP HỢP – LOGIC – ÁNH XẠ - SỐ PHỨC 4
CHƯƠNG II. MA TRẬN – ĐỊNH THỨC – HỆ PHƯƠNG TRÌNH 16
CHƯƠNG III. KHÔNG GIAN VECTOR 28
CHƯƠNG IV. ÁNH XẠ TUYẾN TÍNH 38
CHƯƠNG V. DẠNG SONG TUYẾN TÍNH, DẠNG TOÀN PHƯƠNG, KHÔNG GIAN EUCLIDE, ĐƯỜNG MẶT BẬC HAI 51
GIẢI ĐỀ CƯƠNG ĐẠI SỐ TUYẾN TÍNH NHÓM NGÀNH 1
CHƯƠNG I. TẬP HỢP – LOGIC – ÁNH XẠ - SỐ PHỨC
Bài 1: Lập bảng giá trị chân lý của các biểu thức mệnh đề sau
- [A (B C)] C
- [A(B C )]B
Lời giải
- Ta có bảng giá trị chân lý
A | B | C | (B C) | A (B C) | [A (B C)] C |
0 | 0 | 0 | 0 | 0 | 1 |
0 | 0 | 1 | 1 | 0 | 1 |
0 | 1 | 0 | 1 | 0 | 1 |
0 | 1 | 1 | 1 | 0 | 1 |
1 | 0 | 0 | 0 | 0 | 1 |
1 | 0 | 1 | 1 | 1 | 1 |
1 | 1 | 0 | 1 | 1 | 0 |
1 | 1 | 1 | 1 | 1 | 1 |
- Ta có bảng giá trị chân lý
A | B | C | A | B C | A(B C ) | [A(B C )]B |
0 | 0 | 0 | 1 | 0 | 0 | 0 |
0 | 0 | 1 | 1 | 1 | 1 | 0 |
0 | 1 | 0 | 1 | 1 | 1 | 1 |
0 | 1 | 1 | 1 | 1 | 1 | 1 |
1 | 0 | 0 | 0 | 0 | 0 | 0 |
1 | 0 | 1 | 0 | 1 | 0 | 0 |
1 | 1 | 0 | 0 | 1 | 0 | 0 |
1 | 1 | 1 | 0 | 1 | 0 | 0 |
Bài 2. (CK 20152) Cho p, q là các mệnh đề. Hai mệnh đề ( p q) q và p q có tương đương logic không? Vì sao?
Lời giải
Ta có bảng giá trị chân lý
p | q | p q | ( p q) q | p q | ||
0 | 0 | 1 | 0 | 0 | ||
0 | 1 | 1 | 1 | 1 | ||
1 | 0 | 0 | 1 | 1 | ||
1 | 1 | 1 | 1 | 1 |
Từ bảng giá trị chân lý ta có thể kết luận hai mệnh đề trên là tương đương logic.
Bài 3. Chứng minh rằng:
- AB và (A B) (A B) là tương đương logic.
- (A B) C và A (B C) không tương đương logic.
- A B và A B là tương đương logic.
Lời giải
a. Ta có bảng giá trị chân lý
A | B | A | B | (A B) | A B | AB | (A B) (A B) |
0 | 0 | 1 | 1 | 0 | 1 | 1 | 1 |
0 | 1 | 1 | 0 | 0 | 0 | 0 | 0 |
1 | 0 | 0 | 1 | 0 | 0 | 0 | 0 |
1 | 1 | 0 | 0 | 1 | 0 | 1 | 1 |
Vậy hai mệnh đề trên là tương đương logic b. Giả sử A = B = C = 0. Khi đó
AB = 1; (A B) C = 0
BC = 1; A (B C) = 1
Vậy nên hai mệnh đề trên không tương đương logic. c. Ta có bảng giá trị chân lý
A | B | A | AB | A B | A B |
0 | 0 | 1 | 1 | 0 | 0 |
0 | 1 | 1 | 0 | 1 | 1 |
1 | 0 | 0 | 0 | 1 | 1 |
1 | 1 | 0 | 1 | 0 | 0 |
Vậy hai mệnh đề trên tương đương logic.
Bài 4 (GK 20171). Cho các mệnh đề A, B và C thỏa mãn (A C) (B C) và (A C) (B C) là các mệnh đề đúng. Chứng minh rằng AB là mệnh đề đúng.
Lời giải
Ta có: (A C) (B C) và (A C) (B C) là các mệnh đề đúng. (1)
Giả sử AB là mệnh đề sai thì không mất tính tổng quát ta có: A1 và B 0
C 0 A C 1 và B C 0 (A C) (B C) sai (2)
C 1 A C 1 và B C 0 (A C) (B C) sai (3)
Từ (1), (2) và (3) ta thấy rằng giả sử trên là sai nên AB là mệnh đề đúng.
Bài 5. Cho mệnh đề logic "Nếu 2020 là số lẻ thì nó chia hết cho 3". Hỏi mệnh đề là đúng hay sai? Giải thích?
Lời giải
Do 2020 chẵn nên 2020 là số lẻ là mệnh đề sai (giá trị chân lý bằng 0)
2020 chia hết cho 3 là mệnh đề sai (giá trị chân lý bằng 0)
Mà mệnh đề logic “Nếu 2020 là số lẻ thì nó chia hết cho 3” là một mệnh đề kéo theo nên đây là một mệnh đề đúng.
Bài 6. Cho hàm số f xác định trên . Hàm số f là đơn ánh có thể được xác định bởi mệnh đề: "Với mọi x1, x2 thuộc tập R , nếu f x 1 f x 2 thì x1x2". Hãy dùng các kí hiệu để diễn tả mệnh đề trên và mệnh đề phủ định của nó. Từ đó đưa ra cách chứng minh một hàm số không phải là đơn ánh.
Lời giải
Mệnh đề ban đầu: "x x1 2, , f x 1 f x 2 x1 x2 "
Mệnh đề phủ định: "x x1 2, , f x 1 f x 2 x1 x2 "
Như vậy để chứng minh 1 hàm số không là đơn ánh ta chỉ cần chỉ ra x x1 2, mà x1 x2 và f x 1 f x 2.
Bài 7. Giả sử f (x),g(x) là các hàm số xác định trên . Kí hiệu các tập hợp sau:
A {x ∣f (x) 0} , B {x ∣g(x) 0}.Biểu diễn tập nghię̂ m phương trình sau qua hai tập hợp A,B :
- f x g x( ). ( ) 0
- [ ( )]f x 2[ ( )]g x 2 0
Lời giải
f x( ) 0
- f x g x( ). ( ) 0 g x( ) 0
Tập nghiệm C AB
- [ ( )]f x 2[ ( )]g x 2 0 f x( )g x( )0
Tập nghiệm D A B
Bài 8 (GK20141). Cho các tập hợp A [3;6), B (1;5),C [2;4] . Xác định tập hợp (A B) \ C .
Lời giải
A [3;6); B (1;5);C [2;4]
A B [3;5) (A B) \ C (4;5)
Bài 9. Cho A,B,C , D là các tập hợp bất kì, chứng minh:
- A (B C\ ) (A B) \ (A C) .
- A (B \ A) A B .
- (A B\ ) (C \ D) (A C) \ (B D) (GK20151)
Lời giải
- A(B C\ ) A (B C) A B C
(A B) \ (AC) A B AC
A B (A C) (A B A)(A B C)
A B C (do A A )
Vậy A (B C\ ) (A B) \ (A C) .
- A(B A\ ) A (B A)(A B ) (A A) A B.
Vậy A (B \ A) A B .
- (A B\ )(C D\ ) A B C D
(AC)\(B D) A C B D A C (BD) A B C D.
Vậy (A B\ ) (C \ D) (A C) \ (B D).
Bài 10. Cho hai ánh xạ
f :\{0} g:
x 1 ; x 2x2 x 1x
- Ánh xạ nào là đơn ánh, toàn ánh, Tìm g()
- Xác định ánh xạ h = g f
Lời giải
a) + f x 1 f x 2 1 1 x1 x2x x1 2, \{0} x1 x2
f là đơn ánh.
Do x\{0} để f x( ) 1 0 f không là toàn ánh. x
g x 1 g x 2 12xx12 12xx222
1
Mà g(3)2x3x2 3 3x22x 3 0 (vô nghiệm) nên g x( ) không là toàn ánh.
g 12 g(2) 54 nên g x( ) không là đơn ánh.
+ Tìm g R( )
Ta có: x22x1 x|2 |2 x1 2| 2 ||xx| 1 (Cauchy)
Và a [ 1;1] : phương trình 2x a x 2 1 có nghiệm thực 4 4a2 0 nên g R( ) [ 1;1].
b. g f g f x( ( )) 2 1x 22x
1 12 x 1 x
Bài 11. Chứng minh các tính chất của ảnh và nghịch ảnh của ánh xạ f :X Y
- f A( B) f A( ) f B( ); A B, X .
- f (A B) f (A) f (B);A,B X. Nêu ví dụ chứng tỏ điều ngược lại không đúng.
- f 1(A B ) f 1( )A f 1( )B A B Y; ,
- f ( A1 B)f ( A)1 f ( B);A,B1 Y
- f 1(A B\ ) f 1( )A \ f 1( )B A B; , Y
Lời giải
- y f A( B), f x( ) y thì x AB
x A y f A( ) (1)
x B y f B( ) y f A( ) f B( ) f A( B) f A( ) f B( )
f A( ) f A( B), f B( ) f A( B)
f A( ) f B( ) f A( B) (2)
Từ (1) và (2) f A( ) f B( ) f A( B)A B, X .
- + Ta có A B A f A( B) f A( )
Tương tự f A( B) f B( )
Do đó f A( B) f A( ) f B( )
+ Ví dụ điều ngược lại là không đúng Xét f x( )x A2, {2},B { 2}
Khi đó f A( B) ; f A( ) f B( ) {4} .
- x f
1(AB) f x( )AB f xf x( )( )BA xx ff 11((BA))
x f 1( )A f 1( )B ,A B, Y.
- x f 1(AB) f x( )AB f xf x( )( )BAxx ff 11((BA)) x f 1( )A f 1( ).B
- x f 1(A B\ ) f x( )A B\ f xf x( )( )Ax f 11((BA)) x f 1( )A f\ 1( )B
B x f
Bài 12. Cho ánh xạ f : xác định bởi f x( )x24x 5, x , và A {x ∣3 x 3}.
Xác định các tập hợp f (A) và f ( A)1 .
Lời giải
2
()
0
2
()
5
2
4
()
,
4
x
fx
x
x
x
fx
fx
-
2
3
4
0
2 2 3
8
()
x
fx
x
x
-
2
3
0
2
6
4
2
()
x
x
fx
x
.
Nhìn vào bảng biến thiên
1
[2
[ 2 2 3; 2
()
6]
6; 2 2 3]
f
A
.


Bài 13 (CK 20161). Cho ánh xạ f :2 2 xác định bới f x y( , ) (x y x, y) và tập A (x y, )2∣x2 y2 9. Xác định các tập hợp f A( ) và f 1( )A .
Lời giải
Ta xét (x y; ) A f x y( ; ) (x y x; y)
Va (x y)2 (x y)2 2x2 y2 18
Mặt khác, nếu u2 v2 18 thì u 2 v 2 u 2 v 2 9
f A( ) (x y; )2 || x2 y2 18
Xét f u v( ; ) (u v u; v) A
(u v)2 (u v)2 9 u2 v2 4,5
Và u2v2 4,5 thì f u v( ; ) A
Do vậy nên f 1( )A (x y; )2∣x2 y2 4,5.
Bài 14 (GK 20171). Cho ánh xạ f :2 2, xác định bởi f x y( ; ) x2 y x; y. Ánh xạ f có là đơn ánh, toàn ánh không? Vì sao?
Lời giải
Xét f x y 1 1; f x y 2; 2 xx12yy1xx22yy2 xx12yx11xx222yx22
1 1 2 2 1
Ta có thể thấy f (0;1) f ( 1 ;0) (1;1) f không là đơn ánh.
Bài 15. Cho tập 4 {0;1;2;3} được trang bị luật hợp thành như sau: với a b, 4 ta có a *b (a b) mod 4.
- Chứng minh rằng * là một phép toán đóng trên 4.
- Hỏi 4* có phải là một nhóm không?
Lời giải
- Ta có a b, Z4 thì (a b )mod4 {1;2;3; 0}Z4
* là một phép toán đóng trên Z4.
- 4,* là một nhóm vì:
+ Tính kết hợp: ( * )a b c [(a b) mod 4 c]mod 4 (a b c) mod 4 a *( * )b c
+ Tính: có phần tử trung hòa là 0: *0a 0*a a a Z4
+ a Z4 đều có phần tử đối xứng: 1*3 2*4 0.
Bài 16. Cho G f ,f ,f ,f ,f ,f1 2 3 4 5 6 là tập các ánh xạ từ \{0;1} \{0;1} xác định như sau:
f x1( ) x f; 2(x) 1 ; f3(x) 1 1 ; f4 ( )x 1 ; f5(x) 1 x f; 6 (x) x .
1 x x x x 1 a. Tính f1f2
b. Lập bảng để biểu diễn giá trị f1f2 với mọi i j, 1..6.
c) Chứng minh G cùng với phép toán là phép tích ánh xạ lập thành một nhóm không Abel.
Lời giải
a) f1 f2 f1 f2( )x 1 1 x
b)
| f1 | f2 | f3 | f4 | f5 | f6 |
f1 | f1 | f2 | f3 | f4 | f5 | f6 |
f2 | f2 | f3 | f1 | f6 | f4 | f5 |
f3 | f3 | f1 | f2 | f5 | f6 | f4 |
f4 | f4 | f5 | f6 | f1 | f2 | f3 |
f5 | f5 | f6 | f4 | f3 | f1 | f2 |
f6 | f6 | f4 | f5 | f2 | f3 | f1 |
c) Do (G, ) là phép toán đóng
+ Phép hơp có tính chất kết hợp
+ Phần tử trung hòa: f1
+ Phần tử đối xứng: f1 f1 f2 f3 f4 f4 f5 f5 f6 f1 f1
Mà f4 f2 f5 f6 f2 f4 (G, ) là một nhóm không Abel.
Bài 17. Nêu rõ các tập sau với các phép toán cộng và nhân thông thường có lập thành một vành, trường không?
- Tập các số nguyên lẻ.
- Tập các số nguyên chẵn.
- Tập các số hữu tỉ.
- X {a b 2∣a b, }.
- Y {a b 3∣a b, }
Lời giải
- Không là vành, trường (vì phép toan + không đóng kín)
12Z
- Là vành, không trường ((G, ) ) không là nhóm, chẳng hạn
- Là trường
- là vành, không là trường ((G, ) ) không là nhóm, chẳng hạn 1 3 2 X
3 2 5 5
1 a b 3 a b
c) Là trường a b 3 a2 3b2 a2 3b2 a2 3b2 3Y,(a b; ) (0;0).
Bài 18. Biểu diễn các số phức sau dưới đạng chính tắc: a) (1i 3)9
(1 i)21
- 13
(1i)
- (2 i 12) ( 3 1) 5 11.
Lời giải
- (1 i 3)9 2cos3 isin3 9 29
cosisin21 1
- (1i)1321 2 4 4 13 24 2 i 21 24.i
(1i) 2 cos isin 12 i 12
4 4
- (2 i 12) ( 35 i)11 4cos3 isin3 5 2cos 6 isin 611
221 12 i 23 23 i 12 2 (2 3192 )i
Bài 19. Tìm các căn bậc 8 của số phức: z 1 i 3 .
Lời giải
z 1 i 3 2cos 3isin 3 Các căn bậc 8 của z là:
3 2. cos 2k 2k
3 isin 3 ,k0,7.
8 8
Bài 20. Tìm nghiệm phức của phương trình sau:
a) z2 z 1 0 b) z2 2iz 5 0 c) z4 3iz2 4 0
d) z6 7z3 8 0 e) z7 10243 f) z8( 3 i) 1 i z
g) iz2 (1 8)i z 7 17i0 (GK20171)
Lời giải
- z2 z 1 0 z3 1 z cos 2k isin 2k;k 1;2
z 1 3 3
- z22iz 5 0 (z i)2 4 z i 2
- z4 3iz2 4 0 . Đặt z2 u u2 3iu 4 0
u 32i2 52i2 uu 4ii zz22 4iizz ( 2 12ii,2)12
6 3 3 2 u 8 z 2
- z 7z 8 0 . Đặt z u u 7u 8 0 u 1 z 1
- z7 10243 z7 z3 1024 | z |10 1024 | z | 2
z
z | zz|2 4z 477 10243 z4 24 z 2cos 2k4isin 2k4,k 0,3 z z
- z8( 3 i) 1 i
z8 1i3 22coscos 34 iisinsin34 1 cos 7isin 7 i 2 12 12
1 1272kisin 1272k,k 0,7
z cos
8
16
8
2
- iz2 (1 8)i z 7 17i0
z2 (i 8)z(17 7 ) i 0
z i 28 2 7i 17 634 4i 3i 54 1 32 i2 zz 352i i
Bài 21. (GK 20141). Cho 1 2, ,,2014 là các căn bậc 2014 phân biệt phức của đơn vị 1. Tính
2014
A i2 .
i1
Lời giải
2014
1 2, ,.,2014 là 2014 căn bậc của 2014 của 1. A k2 .
k1
Ta có k cos 2k i sin 2k , k 0, 2013 (Quy ước 20140 )
2014 2014
A 2014k1 cos10072kisin10072k
21007k1cos 2kisin 2k do 2(k 10071007) 210072k
1007 1007
1007
2 k
k1 1007
Với k ,k 1,1007 là các căn bậc 1007 của 1 . Mà k1007 1 nên theo Viete: k 0 A 0.
k1
(x 1)9 1
Bài 22. Cho phương trình 0. x
- Tìm các nghiệm của phương trình trên.
- Tính môđun của các nghię̂ m.
8 k
- Tính tích của các nghiệm từ đó tính sin .
k1 9
Lời giải
- xk 1 cos 2k i sin 2k, k 1,8 (Đặt x4 t )
9 9
- xk 1cos 2k92 sin 2k92 2sin k9
- 8 sin k k xk 18 8 xk
k1 9 k1 2 2 k1
Mà x kk, 1,8 là nghiệm của (x1)9 1 0 9 C9i xi1 0 nên theo Viete 8 xk 9
x i1 k1
8 k 9
sin 9 28
k1
Bài 23 (CK 20161). Cho ánh xạ f : , ( )f z iz2 (4 i z) 9i với i là đơn vị ảo. Xác định f 1({7})
Lời giải
Ta có: iz2 (4 i z) 9i 7
z2 (1 4 )i z(7i 9) 0
z 124i 2 97i 2i 154 214 5i i 52 2
z 2 3i 1{7}) { 23i;3i}
z 3i f
Bài 24 (GK 20171). Cho z z1 2, là hai nghiệm phức của phương trình z2 z ai 0 , với a là một số thực và i là đơn vị ảo. Tìm a biết z12 z22 1.
Lời giải
z2 z ai 0 z12 z1 ai z; 22 z2 ai
z12 z22 z1 z2 1 z12 z22 z1 z2 z1 z2 z1 z2 z1 z2 z1z2 1
Ta có: zz z11 2 z21.i1.
Đặt z1 u iv. z2 1 u iv.
(zu iv1z. )(12 1 i iv(2. )u1)ai2 4v2 1u(2(1uu1))2v42v2 01uu 10,,vv00
a v(1 u) vu 0.
CHƯƠNG II. MA TRẬN – ĐỊNH THỨC – HỆ PHƯƠNG TRÌNH
1 3 2 2 1 1
Bài 1. Cho các ma trận A 02 13 21,B 12 23 40,C 21 14 22.
Trong các phép toán sau: BCT, A BC A B C A BC , , ( ), (A3 ).B CT,phép toán nào thực hiện được. Nếu thực hiện được cho biết kết quả.
Lời giải
Các phép toán có thể thực hiện được là: B C. T ; (A3 ).B CT
2 1 1 1 2 1 6
BC. T 2 3 0 1 4 5 8
1 2 4 2 2 9 2
1 3 2 2 1 1 7 0 5
A3B 2 1 132 3 0 4 10 1
0 3 2 1 2 4 3 9 10
7 0 5 1 2 3 4
(A3 ).B CT 4 10 1 1 4 12 34
3 9 10 2 2 26 22
1 3 1 0
Bài 2 (CK 20152). Cho A 1 2,B 1 1 và E là ma trận đơn vị cấp 2
- Tính F A2 3A
- Tìm ma trận X thỏa mãn A2 5E X BT 3A A2
Lời giải
- A2 1 31 22 2 93 1 A2 3A 05 05 5E
- Theo câu a ở trên ta có: A23A5E 0 A25E3A, 3A A 2 5E
Cần tìm X thỏa mãn: 3AX BT .5E X
A1, BT (do det A 0 )
2 1
X 53 11 23 1 01 10 31 32
3 3
1 2 3
Bài 3. Cho ma trận A 2 4 1 và đa thức f x( ) 3 x22x5. Tính f A( ) .
3 5 3
Lời giải
1 2 3 6 9 10 21 23 24
A 2 4 1 A2 3 7 5 f A( ) 3A2 2A5E 13 34 13
3 5 3 2 1 13 0 7 38
Bài 4. Tính An với
a 1 0
cosa cossinaa 0 a 1 .
a) A sin a . b) A 0 0 a
Lời giải
coska sinka n cosna sinna
- A sinka coska . Quy nạp A sinna cosna
n 1. Đúng.
+ Giả sử mệnh đề đúng với n k *
k1 cossin kaka cossinkaka cossinaa cossinaa cos(sin(kk1)1)aa cos(sin(kk1)1)aa
A
Mệnh đề đúng với k1.
n cosna sinna
Vậy A sinna cosna .
a 1 0 0 1 0
- A 0 a 1 a I. 3 B I, 3 là ma trận đơn vị cấp 3, B 0 0 1
0 0 a 0 0 0
0 0 1
Nhận xét B2 0 0 0;Bk 0 k 3
0 0 0
n
An B a I. 3n C Bni . n1.ai I C a. n0. n C B an1. . n1 C B an2. 2. n2
i0
(n1)an na. n1 C an2. n2
a I nan. . n1.B C a n2. n2.B2 0 (n1)an na. n1
0 0 (n1)an
Bài 5. Tìm tất cả các ma trận vuông cấp 2 thoả mãn:
0 0 a) X2 0 0 a2 bc 0 a) A ba cd, A2 0 abac cdbd 00 bc d2 0 bc 0 a d 0 bc 0 a d 0 |
Lời giải | 1 b) X2 0 | 0 1 |
0 b 0 Vậy các ma trận thỏa mãn là: 0 0 ; c | 0 a b 2 0 ; c a a bc 0 | ||
b) A ba cd , A2 I b aa(2 bcd)dc a2( bc d) 1 0
+ (a d ) 0 a2bc1
a d 1 & b c 0
+ (a d) 0 a d 1 & b c 0
1 0 1 0 a b 2
Vậy các ma trận thỏa mãn là: 0 1 ; 0 1 ; c a a bc 1
Bài 6.
a b x2 (a dx ad bc) 0.
- Chứng minh rằng ma trận A c d thoả mãn phương trình sau:
- Chứng minh với A là ma trận vuông cấp 2 thì Ak 0(k 2) A2 0
Lời giải
a2 bc ab bd
- A2 ac cd d 2 bc A2 (a d A) (ad bc I )
a2 bc (a d a ad bc) ab bd (a d b)
(a d c) d2 bc (a d d ad bc) 0
ac cd
A thỏa mãn phương trình x2 (a d x ad bc) 0.
- Rõ ràng A2 0 thì A2 0 k 2.
Giả sử Ak 0 với k 2. Ta chứng minh A2 0
A2 0 det A 0 ad bc 0 A2 (a d A) 0 (theo câu a)
(a d) 0 A2 0
(a d) 0 Ak2 A2 (a d A) 0 Ak1 0.
Tương tự cách làm ở trên
A2 0
Bài 7. Không khai triển định thức mà dùng các tính chất của định thức để chứng minh:
a1 b x1 a1 b x1 c1a1 b1 c11 a bc1 a a2
a) a2 b x2 a2 b x2 c2 2x a2 b2 c2 b) 1 b ac 1 b b2. a3 b x3 a3 b x3 c3a3 b3 c31 c ab1 c c2
Lời giải
a b x1 1 a1 b x1 2a1 c1
1
1
2
2
2
3
3
bx
a
c
a
bx
a
bx
c
1
1
2
2
3
3
2
b
c
xb
c
c
b
1
2
3
.
c
c
c
1
1
a
c
- a b x2 c a2 b x2 2a2 c2C2 C1 C2 a b x3 3 a3 b x3 2a3 c3
1
2
3
1
2
3
1
c
1
1
a
b
c
a b x1 a 1 a1 c1
2 a b x2 a 2 a2 c2C1 C2 C1 a b x3 a 3 a3 c3
a1 b1
2x a2 b2 a3 b3
1 a bca b( cc bc)
- 1 b ac 1 b b a( bc ac C) 2 (abc)C3 C3 abc a( bc ab)
a2
1 b2C1(ab bc ca)C3 C3
c2
Bài 8. Tính các định thức sau: | |||||||
a b
a) A b) B bc 5 1 1 7 ca 7 7 9 1 | ab bc ca | a2 b2 b2 c2 a2 c2 |
| 1 1 c) D 2 2 | 1 2 x2 3 3 | 2 2 1 1 | 3 3
5 9 x2 |
Lời giải
- 3 5 11 3 5 1
7 11 67 11 6
- 1 1 40 7 11 6
- A 14 26 12 14 26 12
5 1 1 70 14 26 12
14 26 80 0 4 7 7 9 10 14 26 8
7 11
4 112
14 26
a b ab a2 b2 a c b a( c) (a c a)( c)
- B b c bc b2 c2 b a c b( a) (b a b)( a)L1 L2 L L1; 2 L3 L2 c a ca c2 a2 c a ca c2 a2
1 b ac1 b ac
(ac b)( a)1 c ba (a c b)( a)0 c b bcL2 L1 L2
ca ca c2 a2ca ca c2 a2
1 abc ac
(ac b)( a)0 0 b c (ac b)( a c)( b)a2 c2 ac(ac a)( bc) ca a2 c2 ac c2 a2
(a b b)( c)(c a)(ab bc ca).
11 2
1
1
2
2
2
2
3
2
1
2
3
1
1
5
2
1
0
9
x
2
2
2
2
4
1
x
2
2
1
3
1
2
1
x
2
3
3
5
4
x
2
2 x2 2 x2 2
- D L4 L3 L4
33 1
30 0
- 11 1 2
4 x 1 2 x 0 1 x2 0 L L1 L2
- 32 3 1
4 x2 1 x2x2 4
Bài 9.
- Chứng minh nếu A là ma trận phản xứng cấp n lẻ thì det(A) 0.
- Cho A là ma trận vuông cấp 2019. Chứng minh det A AT 0 .
Lời giải
- det A det AT det(A)do AT A Giả sử A cấp n lẻ det( A) ( 1)ndet Adet A
Do vậy det A det Adet A 0.
- Ta có: (A A T T) AT A (A AT)
A AT là ma trận phản xứng cấp lẻ (cấp 2019) det(A A T)0 Bài 10. Tìm hạng của các ma trận sau:
1 3 5 1
- A 2 1 1 4
5 1 1 7
7 7 9 1
4 3 5 2 3
8 6 7 4 2
- B4 3 8 2 7
4 3 1 2 5
8 6 1 4 6
Lời giải a)
1 3 5 1 1 3 5 1 1 3 5 1
A 752 711 911 714 000 147 2611 126 LLL342 572LLL111LLL342 000 007 1144 064LL34 22LL22 LL34
14 26 8
1 3 5 1
0 7 11 6 . Vây ( )r A 4.
0 0 4 0
0 0 0 4
Cách 2: det A 112 0, A là ma trận vuông cấp 4 rank A 4.
4 3 5 2 3 4 3 5 2 3
4 3 8 2 7 0 0 3 0 4
b) B884 663 171 442 265000 000 963 000 1248 L L LLL LL3542 221L4L L14L3L425
4 3 5 2 3
00 00 30 00 04L LL L3422 2L3L4. Vậy r B( ) 2
0 0 6 0 0 L L5 3 2 L5
0 0 9 0 0
1 1 1 2
Bài 11 (GK20141). Tìm m để hạng của ma trận A 1 2 2 1 bằng 2.
1 0 4 m
Lời giải
1 1 1 2 1 1 1 2
A 11 02 42 m1 00 11 33 m32LL32 LL11 LL32
1 1 1 2
0 1 3 3 L3 L2 L3.
0 0 0 m5
Vậy r A( ) 2 m 5
Bài 12. Tìm ma trận nghịch đảo của các ma trận sau:
a) A 53 74 b) B 233 453 511 c) C 1000 100a 100a 100a .
Lời giải
- A 53 74 A1 det1 A AT 1175 34 75 34
3 4 5 2 21 11 2/3 7 11/3
- B 2 3 1 B1 det1B ,BT 13 1 12 7 1/3 4 7/3 .
3 5 1 1 3 1 1/3 1 1/3
1 a 0 0
- Cách 1: C 0 1 a 0 . Ta có: det C 1.T ì m C r C 1 C r
0 0 1 a
0 0 0 1
Cách 2: Phương pháp Gauss




a 1 1 a
Bài 13(GK 20151). Tìm a để ma trận A 3 a 1 3 khả nghịch.
a 1 0 a 1
Lời giải
a1 1 a
1 aa1 1
| A|3 a1 3 (a1)(a1)
a1 33 a1
a1 0 a1
(a 1) 3 a2 a a2 2a 4 (a 1)(a 1)
A khả nghịch det A 0 (a 1)(a 1) 0 a 1.
Bài 14. Chứng minh rằng ma trận A vuông cấp n thoả mãn a Ak k ak1Ak1 a A a E1 0 0
với a00 thì A là ma trận khả nghịch. Lời giải A khả nghịch và A1 B | |||
1 2 1 1 2 Bài 15. Cho A 2 3 4 ;B 3 4;C 26 1216 3 1 1 0 3 AX B CT . Lời giải 2 6 1 2 3 4 AX CT B 12 16 3 4 9 12 D 10 7 0 3 10 4 | 10 7 . Tìm ma trận X thỏa mãn | ||
| |||
1 4 Mà det A 28 0 X A1 D 1 A DT 12 det A 1 4 Bài 16. Giải hệ phương trình sau: |
1 14
| 5 28 3 4 2 143 9 12 3 1 10 4 1 4 | 1 2 . 1 |
3x1 5x2 2x3 4x4 2 4x2 x3 3x4 5 a) 7x1 5x1 7x2 4x3 6x4 3 | 3x1 x2 3x3 1 |
| |
b) 24xx11 2x2x24xx33 43 10x 5x 6x 10 | |||
1 2 3
2x1 3x2 4x3 1
3x1 x2 x3 2 .
c) 5x1 2x2 5x3 3
x1 4x2 3x3 1
Lời giải
a)
()
()
rA
rA
Do
nên hệ vô

nghiệm.
b)

3x1 x2 3x3 1
Hệ có duy nhất 1 nghiệm thỏa mãn: 2x 15x3 13
2
7 7
3
21
15
x
3
12
85
,
,
0
;
;
x x x
c)
()
2
()
3
rA
rA
Hệ có vô số nghiệm thỏa mãn
3
1
2
3
2
2
4
3
1
11
10
1
x
x
x
x
x

Đặt x3 t x2 10t 1 x1 3x2 4x3 3 14t
11 2 22
Vậy x x x1 2 3; ; 3 1422 t ; 1 1011 t ;t.
Bài 17. Giải hệ phương trình sau bằng phương pháp Gauss:
x 2y z 3t 12 x 2y 3z 4t 4
a) 32xx65yy4zz1311tt 4949 (GK 20171) b)3xx27yy410z z2t11 t 3 11 (GK20151)
x2y 2z 9t 33 x 2y 2z 7t 6
Lời giải a)
Hệ có nghiệm duy nhất thỏa
x1 2x2 x3 3x4 12
x2 x3 5x4 25 mãn x3 4x4 13
2x4 8
x x x x1 2 3 4; ; ; ( 1;2;3;4)
b)
x1 2x2 3x3 4x4 4
x2 x3 x4 1 r A( ) r A( ) 4 Hệ có nghiệm duy nhất thỏa mãn x3 2x4 1
x4 1
x x x x1 2 3 4; ; ; (1;1; 1; 1)
(a5)x 3y (2a1)z 0
Bài 18(GK 20171). Tìm a để hệ ax(a1)y 4z 0 có nghiệm không tầm thường.
(a5)x(a 2)y 5z 0
Lời giải
Hệ có nghiệm không tầm thường det A 0 (do hệ thuần nhất)
a5 3 2a1a 5 3 2a 1a 5 3 2a 1
Với A a a1 4 det A a a1 4a a 1 4
a5 a2 5 a 5 a 2 50 a 1 42a
(a5)[(a1)(42 )a 4(a1)]a.[3.(42 )a (2a1)(a 1)]
(a5)2a2 2aa2a2 5a 13
2a3 8a2 10a 2a3 5a2 13a
3a2 3a 3 (a a 1)
a 0 det A 0 a 1.
mx1 2x2 x3 3
Bài 19(CK 20172). Tìm m đề hệ phương trình x1 mx2 2x3 4 có nghiệm duy nhất.
2x1 3x2 x3 m
Lời giải
m 2 1 3 m 2 1
A 1 m 2 4 Hệ có nghiệm duy nhất 1 m 2 0
2 3 1 m2 3 1
2 2 2 m 1
m 83(2m 6m 2) 0 m 5 4m 2 0 m 4m 3 0 m 3
x1 2x2 x3 mx4 4
x1 x2 3x3 2x4 k .
Bài 20. Cho hệ phương trình 2x1 x2 3x3 (m 1)x4 3
x1 x2 x3 2mx4 5
- Giải hệ phương trình khi m 2,k 5 .
- Tìm điều kiện để hệ có nghiệm duy nhất.
- Tìm điều kiện để hệ phương trình có vô số nghiệm.
Lời giải


- m 2,k 5 hệ có nghiệm đuy nhất x x x x1 2 3 4; ; ; ( 9; 1; 5; 5).
- Hệ có nghiệm duy nhất 2m18 0 m9.
2m18 0 m 9 .
- Hệ có vô số nghiệm 11k 15 0 k 1115
CHƯƠNG III. KHÔNG GIAN VECTOR
Bài 1. Tập V với các phép toán có phải là không gian véc tơ không?
a) V {(x, y,z) x, y,z∣ } với các phép toán xác định như sau:
(x y z, , )x y z, , xx y, y z, z
k x y z( , , ) (k x k y k z| ,| | ,| ∣ )
b) V x x ,x1 2∣x1 0,x2 0 2 với các phép toán xác định như sau:
x ,x1 2 y ,y1 2 x y ,x y1 1 2 2 & k x ,x 1 2 x ,x1k 2k trong đó k là số thực bất kỳ.
Lời giải
a) Nhận xét k1 k2 (x y z; ; ) k1 k x k2 ; 1 k2 y k; 1 k z2
k x1 k x k y2 ; 1 k2 y k z; 1 k z2 k x y z1( ; ; ) k2 (x y x; ; )
V không là không gian vector.
b)
(V,) là một nhóm giao hoán
k x x 1, 2 y y1, 2 x y x y1k 1k , 2k 2k k x x 1, 2 k y y 1, 2
k k1 2 x x1, 2 x1k1k2 , x2k1k2 k x x1 1, 2 k x x n2 1, 2
k k x x1 2 1, 2 kk1 2 . x x1, 2
1.x x1, 2 x x1, 2
V là một không gian vector.
Bài 2. Chứng minh các tập hợp con của các không gian véc tơ quen thuộc sau là các không gian véc tơ con của chúng:
- Tập E {x ,x ,x1 2 33∣2x1 5x2 3x3 0}
- Tập các đa thức có hệ số bậc nhất bằng 0 (hệ số của x) của KGVT P xn[ ]
- Tâp các ma trận tam giác trên của các ma trận vuông cấp n
- Tập các ma trận đối xứng của tập các ma trận vuông cấp n
- Tập các ma trận phản xứng của tập các ma trận vuông cấp n aij a ji
Lời giải
a) Xét u1 x x x1 2 3, , E u, 2 y y y1 2, , 3E
u1 u2 x1 y x1 2, y x2 3, y3E
Do 2x1 y15x2 y23x3 y3 2x1 5x2 3x3 2y1 5y2 3y30 kR thì ku1E do k2x1 5x2 3x3 0
E là KGVT con của R3.
b)
P P1 2, có hệ số bậc nhất bằng 0 kPP11 có hsbn = 0P2 có hsbn = 0 k R
Tập các đa thức có hệ số bậc nhất bằng 0 của P xn[ ] là KGVT con của P xn[ ].
p qW;p q, W
c, d, e) CMTT giống a, b. kpW; k R, pW thì W là KGVT con sinh bởi V
Bài 3. Cho V1, V2 là hai không gian véc tơ con của KGVT V. Chứng minh:
- V1V2 là KGVT con của V .
- V1 V :2 u1 u2∣u1V,u1 2 V2 là KGVT con của V .
Lời giải
a) u v V, 1V2 u v V,, 12 u v Vu v V 12 u v V 1V2
u v V
u V k 1, R ku V1, tương tự ku V 2 ku V1 V2 Do đó V1V2 là KGVT con của V .
b) u v, V1 V2 uv vu11vu22 u1 v2 V u1, 2 v2 V2
u v u1 v1 u2 v2V1 V2
- ku ku 1ku2 V V1 2do ku1V ku1, 2V2 V1 V2 là KGVT con của V
Bài 4. Cho V, V1 2 là hai không gian véc tơ con của KGVTV. Ta nói V, V1 2 là bù nhau nếu
V1V2 V,V1V2 { } . Chứng minh rằng V, V1 2 bù nhau khi và chỉ khi mọi véc tơ u của V có biểu diễn duy nhất dưới dạng u u1 u , u2 1V,u1 2 V2 .
Lời giải
V V1 2, bù nhau V V1 2 V V; 1 V2 {0}
v V thì v v1 v v2 1V v1 2, V2
Giả sử biểu diễn này không duy nhất v v1 v2 v1 v2 v1 v1 v1 v1 v2 v2
Mà v1 v1 V v1 2, v2 V2 V1 V2 {0} (mâu thuẫn) biểu diễn duy nhất.
Do mỗi vector uV đều biểu diễn được dưới dạng u u1 u u2 1V u1 2, V2 V V V1 2
Giả sử x V 1 V2 x 0 x x 0 (mẫu thuẫn tính duy nhất) V1 V2 {0}
Vậy ta có đpcm.
Bài 5. Trong KGVTV , cho hệ véctơ u ,u ,1 2 ,u ,un n 1 là phụ thuộc tuyến tính và u ,u ,1 2 , un là hệ độc lập tuyến tính. Chứng minh un 1 là tổ hợp tuyến tính của các véc tơ u,u ,1 2 ,un. Lời giải
u u1, 2,,u un, n1 phụ thuộc tuyến tính
n1
k ii, 1,n1 không đồng thời bằng 0 thỏa mãn kui i 0
i1
n1
Nếu kn1 0k ut i 0u u1 2, ,,un phụ thuộc tuyến tính (mâu thuẫn)
i1
n ki
kn1 0 ui un1 $
i1 kn1
Tức là un1 là tổ hợp tuyến tính của u u1 2, ,,un.
Bài 6. Cho v ,v ,1 2 ,vm là hệ sinh của W , u ,u ,1 1 2 ,un là hệ sinh của W2 với W, W1 2 và là các không gian con của V . Chứng minh v ,1 ,v ,u ,u ,m 1 2 ,un là hệ sinh của W1W2.
Lời giải
Xét u W1 W2 u u1 u2 u1 W u1, 2 W2
m
Mà v v1 2, ,,vm là hệ sinh của W1 k ui : 1 kvi i ki2 0
i1
n
Tương tự g j :u2 g uj j g 2j 0
j1
m n
u k vi i g uj j ki2 g 2j 0
i1 j1
v v1 2, ,,v u um, 1 2, ,,un là hệ sinh của W W1 2.
Bài 7. Trong 3 xét xem các hệ véc tơ sau độc lập tuyến tính hay phụ thuộc tuyến tính:
- v1(4; 2;6),v 2 ( 6;3;9).
- v1(2;3; 1),v 2 (3; 1;5),v 3 ( 1;3;4).
- v1(1;2;3),v2 (3;6;7),v3 ( 3;1;3),v4 (0;4;2).
Lời giải
- v2 3 v1 v v1, 2 phụ thuộc tuyến tính.
2
2 3 1
- 3 1 3 9 0 hệ v v v1 2 3, , độc lập tuyến tính.
1 5 4
- Do v v v v1 2 3 4, , , đều thuộc không gian vector R3.
Mà dim R3 3 nên hệ 4 vector bất kỳ luôn phụ thuộc tuyến tính v v v v1 2 3 4, , , phụ thuộc tuyến tính.
Bài 8. Trong không gian P[x]2 , xét xem hệ véc tơ Bu1 1 2x, u2 3x x ,u2 3 2 x x2 độc lập tuyến tính hay phụ thuộc tuyến tính.
Lời giải
1 0 2
Gọi A là ma trận của B đối với cơ sở chính thức 1; ;x x2 của P xx[ ] A 2 3 1 ,
0 1 1
det A 2 0 B độc lập tuyến tính.
Bài 9. Trong 3, chứng minh v1(1;1;1),v2 (1;1;2),v3 (1;2;3) lập thành một cơ sở. Xác định ma trận chuyển từ cơ sở chính tắc sang cơ sở trên và tìm toạ độ của x (6;9;14) đối với cơ sở trên theo hai cách trực tiếp và dùng công thức đổi tọa độ.
Lời giải
1 1 1
Ta có 1 1 2 1 0 hệ vector v v v1 2 3, , độc lập tuyến tính
1 2 3
Mà dim3 3 v v v1 2 3, , là cơ sở của R3.
1 1 1
Ma trận chuyển cơ sở từ chính tắc sang v v v1 2 3, , là: C 1 1 2 1 2 3
*) Tìm tọa độ của x (6;9;14) đối với cơ sở v v v1 2 3, , B
abc 6
Cách 1: x av1 bv2 cv3 ab2c 9 (a b c, , ) (1,2,3)
a2b3c 14
1 1 11 6 1
Cách 2: [ ]x E C1 [ ]x E 1 1 2 9 2 .
1 2 3 14 3
1
[ ]x B 2
3
Bài 10. Trong các trường hợp sau, chứng minh B v v v1 2 3, , là một cơ sở của 3 và tìm [ ]v B biết rằng:
- v1(2;1;1),v2 (6;2;0),v3 (7;0;7),v (15;3; 1).
- v1(0;1;1),v2 (2;3;0),v3 (1;0;1),v(2;3;0).
Lời giải
2 6 7
- 1 2 0 28 0 B độc lập tuyến tính B là cơ sở của R3
- 0 7
[ ]v B [ ]B E1[ ]v E E là cơ sở chính tắc, [ ]BE là ma trận chuyển cơ sở từ E sang B )
2 6 71 15 5/ 2
1 2 0 3 11/ 4
1 0 7 1 1/ 2
0 2 1
- 1 3 0 5 0 Blà cơ sở của R3.
- 0 1
0 2 11 2 0
[ ]v B [ ]B E1 [ ]v E 1 3 0 3 1
1 0 1 0 0
Bài 11. Trong P[x]3 cho các véc tơ v1 1,v2 1 x,v3 x x ,v2 4 x2 x3.
- Chứng minh B v ,v ,v ,v1 2 3 4 là một cơ sở của P[x]3 .
- Tìm toạ độ của véc tơ v 2 3x x2 2x3 đối với cơ sở trên.
- Tìm tọa độ của véc tơ v a0 a x1 a x2 2 a x3 3 đối với cơ sở trên.
Lời giải
1 1 0 0
- Ma trận tọa độ của B đổi với co sở chính tắc E là B0 0 1 1 0
0 0 1 1
0 0 0 1
do det B0 1 B độc lập tuyến tính B là cơ sở của P x3[ ]
1 1 0 01 2 4
- [ ]v E B01 [ ]v E 0 1 1 0 3 6
0 0 1 1 1 3
0 0 0 1 2 2
1 1 0 01 a0 1 1 1 1 a0 a0 a1 a2 a3
0 1 1 0
- [ ]v E B01 [ ]v E 0 0 1 1 a12 0 1 1 1 a12 a1 2a2 3a3
a 0 0 1 1 a a a
0 0 0 1 a3 0 0 0 1 a3 a3
Bài 12(CK 20151). Trong 4 , cho các véc tơ sau: u1(1;3; 2;1), u2 ( 2;3;1;1),u3(2;1;0;1),u (1; 1; 3; ). m
Tìm m để uSpanu u u1 2 3, , .
Lời giải
uspanu u u1 2 3, , x x x1 2, , 3 thỏa mãn uxu1 1xu2 2xu3 3
x1 2x2 2x3 1
3x1 3x2 x3 1 có nghiệm không tầm thường. 2x1 x2 0x3 3
x1 x2 x3 m



Hệ có nghiệm không tầm thường 21(9m 9) 0 m 1.
Bài 13. Cho KGVTP x3[ ] và hệ véc tơ sau:
v1 1 x2 x v3, 2 x x2 2x v3, 3 2 x 3x v3, 4 1 x x2 2 .x3
a) Tìm hạng của hệ véc tơ b) Tìm một cơ sở của không gian spanv v v v1 2 3 4, , ,
Lời giải
a) Ma trận A của hệ v v v v1 2 3 4, , , đối với cơ sở chính tắc là
1 0 2 1 1 0 2 1 1 0 2 1 1 0 2 1
A 0 1 1 1 0 1 1 1 0 1 1 1 0 1 1 1
1 1 0 1 0 1 2 0 0 0 1 1 0 0 1 1
1 2 3 2 0 2 1 3 0 0 1 1 0 0 0 0
Vậy r A( ) 3 hay hạng của hệ vectơ v v v v1 2 3 4, , , là 3.
b) Xét ma trận tọa độ hàng:
1 0 1 1 1 0 1 1 1 0 1 1 1 0 1 1
0 1 1 2 0 1 1 2 0 1 1 2 0 1 1 2
2 1 0 3 0 1 2 1 0 0 1 1 0 0 1 1
1 1 1 2 0 1 0 3 0 0 1 1 0 0 0 0
Một cơ sở của spanv v v v1 2 3 4, , , là 1 x2 x3 ; x x 2 2x3 ; x2 x3 .
Bài 14. Tìm cơ sở và số chiều của không gian con sinh bởi hệ véc tơ sau: a) 2 ; 1 ; 3 ; 4 , v2 1 ; 2 ; 0 ; 1 , v3 1 ; 1 ; 3 ; 0trong 4 .
b) v1(2;0;1;3; 1),v 2 (1;1;0; 1;1),v 3 (0; 2;1;5; 3),v 4 (1; 3;2;9;5) trong 5.
Lời giải
- Ma trận tọa độ hàng
2 1 3 4 1 2 0 1 1 2 0 1
1 2 0 1 2 1 3 4L1 L2 0 3 3 2LL32 2L1L1L3L2
1 1 3 0 1 1 3 0 0 3 3 1
1 2 0 1
0 3 3 2L3 L2 L3
0 0 0 3
dimV 3, có cs {(1;2;0;1);(0,3;3;2);(0;0;0;3)}
2 0 1 3 1 2 0 1 3 1
- 10 12 10 51 13 00 22 11 55 3322LL24 LL11 LL42
1 3 2 9 5 0 6 3 15 9
2 0 1 3 1
00 02 01 05 03 LL34 3LL22LL3 4
0 0 0 0 0
dimV 2, có cs {(2;0;1;3;1);(0;2;1;5;3)}.
Bài 15. Trong 4 cho các véc tơ: u1(1;0;1;0),u2 (0;1; 1; 1), u3(1;1;1;2),u4 (0;0;1;1). Đặt V1 span u ,u 1 2,V2 span u ,u 3 4. Tìm cơ sở và số chiều của các KGVT V1V, V2 1V2.
Lời giải
- spanu u u u1 2 3 4, , , V1 V2
1 0 1 0 1 0 1 0 1 0 1 0 1 0 1 0
0 1 1 1 0 1 1 1 0 1 1 1 0 1 1 1
1 1 1 2 0 1 0 2 0 0 1 1 0 0 1 1
0 0 1 1 0 0 1 1 0 0 1 1 0 0 0 0
dimspanu u u u1, 2, 3, 4 dimV1 V2 3,cs{(1;0;1;0);(0;1; 1;1);(0;0; 1;1)}.
- Xét u V 1 V2 x x x x u1 2 3 4; ; ; : xu1 1xu2 2 xu3 3xu4 4
xu1 1xu2 2xu3 3xu4 4 0$
x1 x3 0
x2 x3 0 x1 x2 x3 x4
x1 x2 x3 x4 0
x1 2x3 x4 0
u x u1 1 u2 x1.(1;1;0;1)dimV1 V2 1,cs{(1;1;0;1)}.
Bài 16 (CK 20151). Cho không gian P2015[ ]x - các đa thức bậc không quá 2015 và tập W1 {p
P2015[ ]x ∣p(x) p x( ), x R. Chứng minh rằng W1 là không gian con của P2015[ ]x . Chỉ ra số chiều và một cơ sở của W1 (không cần chứng minh).
Lời giải
W1 pP2015[ ] ( )x p x p(x)
Xét ,p p1 2W q1, p1p2. Ta có (q x ) p1( x) p2( x) p x1( )p x2( )q x( )
p1 p2 W1 p1 W k1, R kp1( x) kp x1( )kp1W1
Vậy W1 là KCVT con của P2015[ ]x
Do p(x) p x( ) Đa thức p x( ) chỉ gồm các hạng tử bậc chẵn của x
1007
Hay p x( ) a xi 2i dimW1 1008, một cơ sở là B 1;x2;x4;;x2014.
i0
Bài 17. Tìm cơ sở và số chiều của không gian nghiệm của hệ phương trình thuần nhất sau:
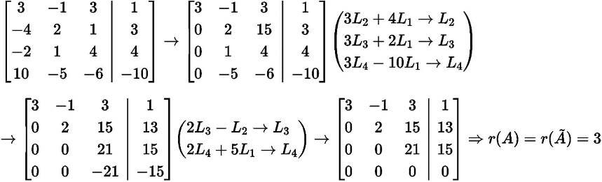
b) 4x1
a) x32x11xx11 2xx2xx222232xxx33x332xxx4x44435xxxx55550000 22xx112xx2x223x5x33x382xxx444274xxx555000
Lời giải
1 1 2 2 1 1 1 2 2 1
a) A 132 12 13 11 53 00 31 13 33 65 LLL324 23L1LL11LLL243
1 2 1 1 0 2 8 7 4
1 1 2 2 1 1 1 2 2 1
0 1 1 3 6 LL34 32LL22 LL34 00 01 16 133 166 L3 L4
0 0 0 12 23
0 0 6 13 16 0 0 0 12 23
x1 x2 2x3 2x4 x5 0
6x2x3x133 x34x4166x5x500 Đặt x5 t x4 1223 t x; 3 72107 t x; 2 1289 t x; 1 7279 t 12x4 23x5 0.
X x x x x x1 2 3 4 5; ; ; ; 7279;7289;72107 23;12;1t
Không gian nghiệm có dim 1 , cơ sở 7279; 7289; 72107 23;12 ;1.
2 1 3 2 4 2 1 3 2 4
b) A 42 21 15 81 72 00 00 21 105 21LL32 L21L1L3L2
2 1 3 2 4
0 0 1 5 1L3 2L2 L3
0 0 0 0 0
2x1 x2 3 3x3 4 2x45 4x5 0 Đặt x14 ca x, 5 b x3 5a b x, 2 2c 8a b
x 5x x 0 x
X x x x x x1 2 3 4 5; ; ; ; a(0;8;5;1;0)b(0;1; 1;0; 1)c(1;2;0;0;0)
Không gian nghiệm có dim 3, cơ sở {(0;8;5;1;0);(0;1; 1;0;1);(1;2;0; 0;0)}
Bài 18. Cho U, V là các không gian con hữu hạn chiều của không gian véc tơ W..
Chứng minh dim(U V ) dim(U ) dim(V ) dim(U V )
Lời giải
Cơ sở U, V lần lượt là u u1 2, ,,um ; v v1 2, ,,vn
+ Nếu U V {0}u u1 2; ;,u v vm; ;1 2;;vn độc lập tuyến tính và là cơ sở của (U V )
dim(U V ) m n dimU dimV dim(U V )
+ Nếu dim(U V ) p , cơ sở r r1, 2,,rp A
Bổ sung m p vector rp1,,rm vào A để được cơ sở của U .
Bổ sung n p vector rm1;,rn p m vào A để được cơ sở của V .
Ta chứng minh S r r1, 2,,r rp , p1,,rm,rm1,,rn p m là cơ sở của U V
w U V thì w w 1 w2 m kri i n p m k rj j p g rj j p ki q ri i n p m kri i m kri i
i1 j m 1 j1 j1 i m 1 i r 1
wi
r r1, 2,,r rp , p1,,r rm, m1,,rn p m là hệ sinh của U V
n p m m n p m m
i ir 0 thì i ir i ir U V i ir V i 0 i p1,m
i m 1 i1 i m 1 i n 1
p n p m
i ir i ir 0i 0 i 1, ,p i m1,n pm Hệ S ĐLTT S là cơ sở. i1 i m n
CHƯƠNG IV. ÁNH XẠ TUYẾN TÍNH
Bài 1. Cho ánh xạ f : 3 2 xác định bởi công thức f x x x 1 2 3, , 3x1 x2 x3,2x1 x3.
- Chứng minh f là ánh xạ tuyến tính.
- Tìm ma trận của f đối với cặp cơ sở chính tắc.
- Tìm một cơ sở của kerf.
Lời giải
- Xét u u1, 2 3 f u 1 u2 3x1 y1 x2 y2 x3 y3 ,2x1 y1 x3 y3
3x1 x2 x3,2x1 x3 3y1 y2 y3,2y1 y3
f u 1 f u 2
Xét u13,k f ku 1 3kx1 kx2 kx3,2kx1 kx3 k3x1 x2 x3,2x1 x3 kf u 1
Vậy f là ánh xạ tuyến tính.
- Ta có: f (1,0,0) (3,2); f (0;1;0) (1;0); f (0;0;1) ( 1;1)
Ma trận của f đối với cặp cơ sở chính tác là A 32 10 11
- x Ker f f x( ) 0 32xx11 xx23 x03 0
Đặt x3 t x1 2t ,x2 52t x t 21 5; 2;1
dim Ker f 1, cơ sở 21 5; 2;1 .
Bài 2. Cho ánh xạ f P x: 2[ ]P x4[ ] xác định như sau: f p( ) p x p2 , p P x2[ ]
- Chứng minh f là ánh xạ tuyến tính.
- Tìm ma trận của f đối với cặp cơ sở chính tắc E1 1,x,x2 của P[x]2 và E2 1,x,x ,x ,x2 3 4 của P[x].4
- Tìm ma trận của f đối với cặp cơ sở E1 1 x,2x,1 x2 của P[x]2 và E2 1,x,x ,x ,x2 3 4 của P[x].4
Lời giải
- Dễ thấy p1, p2 P x2[ ] thì f p1 p2 f p1 f p2; f kp 1 kf p1
k
f là ánh xạ tuyến tính.
- Ta có f (1) 1 x2, f x( ) x x3, f x 2 x2 x4
1 0 0
0 1 0
Ma trận của f đối với cặp cơ sở E E1 2, là A 1 0 1
0 1 0
0 0 15 3
- f (1 x) 1 x x2 x3, f (2 )x 2x 2x3, f 1 x2 1 2x2 x4
1 0 1
1 2 0
Ma trận của f đối với cặp cơ sở E E1 2, là B1 0 2.
1 2 0
0 0 1
Bài 3 (CK 20151). Cho ánh xạ tuyến tính f :P[x]2 P[x]2 thỏa mãn: f 1 x2 3 3x 6x2, f 3x 2x2 17 x 16x2, f 2 6x 3x2 32 7x 25x2.
- Tìm ma trận của f đối với cơ sở chính tắc của P x2[ ]. Tính f 1 x2 .
b) Xác định m để véc tơ v 1 x mx2 thuộc Imf Lời giải | ||
1 0 2 3 a) Đề f (1)] [ ( )]E f x E f x 2E 0 3 6 3 1 2 3 6 | 17 1 16 | 32 7 (E là cơ sở chính tắc của P x2[ ] 25 |
3 17 32 1 Ma trận của f đối với E là A 3 1 7 0 6 16 25 1 1 8 9 5 1 13 | 0 3 2 | 21 8 9 5 6 1 3 4 3 7 6 1 |
| ||
- f 1 x2 E A 0 1 3 4 0 5 f 1 x2 13 5x 8x2 1 7 6 1 1 8 c)
v 1 x mx2 Im f x x1, 2, x3 :v x1 8 x 7x2 x2 9 3x 6x2 x3 5 4x x2 xi2 0
8x1 9x2 5x3 1
Xét hệ x1 3x2 4x3 1 có nghiệm không tầm thường
7x1 6x2 x3 m
Hệ có nghiệm m 0.
Vậy m0 thì v Im f .
Bài 4. Cho ánh xạ f : 3 3 xác định bời f x ,x ,x 1 2 3 x1 x2 x ,x3 1 x2 x , x3 1 x2 x3 Tìm ma trân của f đối với cơ sở B v1 (1;0;0),v2 (1;1;0),v2 (1;1;1).
Lời giải
1 1 1
Ma trận của f đối với cơ sở chính tắc là A 1 1 1
1 1 1
1 1 1
Ma trận chuyển cơ sở từ E sang B là S 0 1 1
0 0 1
1 1 11 1 1 1 1 1 1 0 2 0
Ma trận của f đối với B là S 1 A S 0 1 1 1 1 1 0 1 1 2 0 0
0 0 1 1 1 1 0 0 1 1 0 1
Bài 5 (CK 20151). Cho ánh xạ tuyến tính f :P[x]2 P[x]2 thỏa mãn: f 1 x2 3 3x 6x2, f 3x 2x2 17 x 16x2, f 2 6x 3x2 32 7x 25x2.
- Tìm ma trận của f đối với cơ sở chính tắc của P x2[ ]. Tính f 1 x2 .
- Xác định m để véc tơ v 1 x mx2 thuộc Imf
Lời giải Cách làm tương tự bài số 3.
1 3 1
Bài 6. Cho A 2 0 5 là ma trận của axtt f :P[x]2 P[x]2 đối với cơ sở Bv ,v ,v1 2 3
6 2 4
trong đó: v1 3x x v3 2, 2 1 3x x v2 2, 3 3 7x x2 2
- Tìm f v 1 , f v 2, f v 3.
- Tìm f 1 x2 .
Lời giải
a) f v 1 v1 2v2 6v3 3x 3x2 2 1 3x 2x2 6 3 7x 2x219x2 51x16 f v 2 3v1 2v3 3 3 x 3x2 2 3 7x 2x2 5x2 5x 6 f v 3 v1 5v2 4v3 3x 3x2 5 1 3x 2x2 4 3 7x 2x215x2 40x 7
b) Gọi B0 là ma trận của f đối với cơ sở chính tắc E S là ma trận chuyển cơ sở từ B sang E S 1 là ma trận chuyển từ E sang B ) | |
0 1 3 1 3 1 0 1 31 239/ 24 161/ 24 . B0 S 1 A S 3 3 7 2 0 5 3 3 7 201/8 111/8 3 2 2 6 2 4 3 2 2 61/12 31/12 | 289/ 24 247/8 107/12 |
1 22
f x 2 1E B0 0 56 .
1 14
3 2 1 0
Bài 7. Cho ma trận A 1 6 2 1 là ma trận của ánh xạ tuyến tính f : 4 3 đối với
3 0 7 1
cặp cơ sở B v ,v ,v ,v1 2 3 4 của 4 và B u ,u ,u1 2 3 của 3 trong đó:
v1 (0;1;1;1),v2 (2;1; 1; 1),v 3 (1;4; 1;2),v 4 (6;9;4;2) và u1 (0;8;8),u2 ( 7;8;1),u3 ( 6;9;1)
- Tìm f v 1 B f v 2 B , f v 3 B* , f v 4 B .
- Tim f v 1 , f v 2, f v 3, f v 4.
- Tìm f (2;2;0;0) .
Lời giải
3 2 1 0
- f v 1 E ' 1 ; f v 2 B' 6 ; f v 3 B' 2 ; f v 4 B' 1
3 0 7 1
- f v 1 3u1 u2 3u3 (11;5;22) f v 2 2u1 6u2 ( 42;32; 10) f v 3 u1 2u2 7u3 ( 56;87;17) f v 4 u2 u3 ( 13;17;2).
- Giả sử (2 ; 2 ; 0 ; 0) xv1 1x v2 2 x v3 3 x v4 4 x x x x1 2 3 4; ; ; (1;1;0;0)
f (2;2;0;0) 1.f v 1 1.f v 2 0.f v 3 0.f v 4 ( 31;37;12).
Bài 8. Cho toán tử tuyến tính trên P x2[ ] xác định bởi:
f (1 2 )x 19 12x 2x2; f (2 x) 14 9x x2; f x 2 4 2x 2x2
Tìm ma trận của f đối với cơ sở chính tắc của P x2[ ] và tìm rank ( f ) .
Lời giải
2x2 9x 14 2x2 12x19
Từ đề bài2 (1)f f(1)2 ( )f xf x( ) 1419 129xx2 x22x2 ff x( )(1) x2 9x142(23x 3) x2 5x82x
f x 2 4 2x 2x2 f x 22x2 2x 4
3 8 4
Ma trận của f đối với cơ sở chính tắc là A 2 5 2
0 1 2
3 8 4 3 8 4 3 8 4
2 5 2 0 1 2 0 1 2
0 1 2 0 1 2 0 0 0
rank( f ) rank A 2 .
Bài 9. Cho V,V là 2KGVTn chiều và f : V V là ánh xạ tuyến tính. Chứng minh các khẳng định sau tương đurong:
- f là đơn ánh. b) f là toàn ánh. c) f là song ánh.
Lời giải
+ Giả sử f đơn ánhker f { }. Mà dimKer f dimImf dimV dimImf dimV
Mà Im f là KGVT con của V Imf V f toàn ánh.
Giả sử f toàn ánhImf V dimImf dimV
dimKer f dimV dimImf 0 Ker f { } f đơn ánh
f toàn ánh hay các mệnh đề sau tương đương: a) f đơn ánh
- f toàn ánh
- f song ánh.
Bài 10 (CK 20141). Cho toán tử tuyến tính trên 3 xác định bởi f x x x 1 2 3; ; x1 2x2 x x3 1; x2 x mx3; 1 x2 x3, với m là tham số. Xác định ma trận của f đối với cơ sở chính tắc của 3 và tìm m để f là một toàn ánh. Lời giải
1 2 1
Ma trận của f đối với cơ sở chính tắc của 3 là A A: 1 1 1
m 1 1
f là toàn ánh dimImf dim3 3 rankA3
1 2 1 1 2 1
A m1 11 11 00 2m31 12mLL32 mLL1 1 L2L3
1 2 1
0 3 2 3L3 (2m1)L2 L3
0 0 3(1m)2(2m1)
Vậy r A( ) 3 3(1 m) 2(2m 1) 0 1 m 0 m 1.
Bài 11. Tìm các giá trị riêng và cơ sở không gian riêng của các ma trận:
2 1 0
a) A 83 01 b) B 104 29 c) C 51 03 32
0 1 0 4 5 2
d) D 4 4 0 e) E 5 7 3
2 1 2 6 9 4
Lời giải
3 0 3
- det(AI) 8 1 ( 3)( 1) det(AI) 0 1
3 vA(3) là KG riêng của A , là KG nghiệm của (A 3 )I x 0
0x1 0x2 0
8x1 4x2 0 x2 2x1 vA(3) span({1;2}).
4x1 0x2 0
1,vA( 1) là KGN (A I x) 0 8x1 0x2 0 x x1; 2 (0;0) vA( 1) { }
- Cách làm tương tự câu a: 4,vB (4) span32;1
2 1 0
c)det(C I) 5 3 3 ( 1) 2 4 5 det(C I) 0 1
1 0 2
x1 x2 0
Với trị riêng 1,vC(1) là KG nghiệm của hệ 5x1 4x2 3x3 0
x1 3x3 0
x x x1 2 3; ; t( 3; 3;1) vC(1) span{( 3; 3;1)}
1 0
- det(D I) 4 4 0 (2)3 det(C I) 0 2
2 1 2
2x1 x2 0
Với 2,vD(2) là nghiệm hệ 42xx11 2x2x200 vD(2) span 12;1;0 ;(0;0;0) .
4 5 2
- det(E I) 5 7 3 2 ( 1) Giá trị riêng 0, 1.
6 9 4
4x1 5x2 2x3 0
0,vE(0) là KGN 5x1 7x2 3x3 0
6x1 9x2 4x3 0
x x x1; 2; 3 t.1 23 3; ;1 vE (0) span1 23 3; ;1
3x1 5x2 2x3 0
1,vE(1) là KGN 5x1 8x2 3x3 0 x x x1 2 3; ; t(1;1;1)vE(1) span((1;1;1)}
6x1 9x2 3x3 0
Bài 12. Cho biến đổi tuyến tính f:P[x]2 P[x]2 xác định như sau: f a 0 a x1 a x2 25a0 6a1 2a2 a1 8a2xa0 2a2x2.
- Tìm các trị riêng của f.
- Tìm các vector riêng tương ứng của các trị riêng tìm được.
Lời giải
5 6 2
Ma trận của f đối với cơ sở chính tắc là A 0 1 8
1 0 2
5 6 2
$| AI |0 1 8 ( 3)( 4)( 3) ( 3) (2 4) $
1 0 2
Các trị riêng 3, 4
2x1 6x2 2x3 0
3,vA(3) là KGN 4x2 9x3 0 x x x1 2; ; 3 t.(5; 2 ;1)
x1 5x3 0
vA(3)span{(5; 2;1)}.
9x1 6x2 2x3 0
4,vA( 4) là KGN 3xx1228xx33 00x x x1; 2; 3 t.2;83;1
vA( 4) span{( 2; 83 ;1)}.
Bài 13. Tìm ma trận P làm chéo hóa A và xác định P AP1 khi đó với
14 12 a) A 20 17 Vận dụng tính An |
| 1 b) B 6 | 0 1 | 1 0 c) C 0 1 0 1 | 0 1 1 | 2 d) D 0 0 | 1 3 0 | 2 1 3 |
Lời giải
14 12
- ( 1)( 2) trị riêng 1, 2
20 17
f 15x12 12x22 0 1 2 4 ;1 v f (1) span 54 ;1.
1 v (1) là KGN 20x 16x 0 x x; t 5
2 vf (2) span 34;1n D 51/ 4 31/ 4 thì D1 A D 10 20.
- D1 113 0 thì D1 B D 10 01 .
1 0 0 1 0 0
- C 0 1 1 |C I | 0 1 1 ( 1)( 2)
0 1 1 0 1 1
Các trị riêng 0, 1, 2
1,vC(1)span{(1;0;0)}
0,vC(0)span{(0; 1;1)}
2,vC(2)span{(0;1;1)}
0 1 0 0 0 0
D 1 0 1 thì D1 C D 0 1 0
1 0 1 0 0 2
2 1
- | DI |0 3 1 ( 3) (2 2)
0 0 3
3,vD (3) span{(1;1;0)}
2,vD (2) span{(1;0;0)}
Do D chỉ có tối đa 2 vector riêng ĐLTT nên D không chéo hóa được.
( D 1AD S có dạng chéo hóaA DSD . . 1An DS D S. n. 1, n dang chéo).
Bài 14. Ma trận A có đồng dạng với ma trận chéo không? Nếu có, tìm ma trận chéo đó:
1 4 2 5 0 0 0 0 0
a) A 3 4 0 b) B 1 5 0 c) C 0 0 0
3 1 3 0 1 5 3 0 1
Lời giải
- | A I | (1)( 2)( 3)
1 vA(1) span{(1;1;1)}
2 vA(2) span 23;1;1
3 vA(3) span1 34 4; ;1
1 0 0
A chéo hóa được, ma trận chéo D 0 2 0 . 0 0 3
- |BI| ( 5)3 5,vB(5)span{(0;0;1)}
B không chéo hóa được, tức không tồn tại ma trận chéo đồng dạng với B . c) |CI|2( 1)
0,vC (0) span (0;1;0);31;0;1
1,vC (1) span{(0;0;1)}
0 0 0
C chéo hóa được, ma trận chéo hóa D 0 0 0
0 0 1
Bài 15. Tìm cở sở của 3 để ma trận của f : 3 3 có dạng chéo trong đó
- f x x x 1 2 3, , 2x1 x2 x x3 1, 2x2 x x3 1, x2 2x3.
- f x x x 1 2 3, , 2x1 x2 x x3 1, x2,x1 x2 2x3
Lời giải
2 1 1
- Ma trận của f đối với cơ sở chính tắc của 3 là A 1 2 1
1 1 2
1 0 0 1 1 1
Chéo hóa A D: 1 A D 0 1 0 với D 1 0 1
0 0 4 0 1 1
Cơ sở cần tìm {( 1;1 ;0);( 1;0;1);(1; 1;1)} .
2 1 1
- Ma trận của f đối với cơ sở chỉnh tắc của 3 là B 1 1 0
1 1 2
1 0 0 2 1 1
Chéo hóa B D: 1 B D 0 1 3 0 , D 1 2 3 2 3
0 0 1 3 1 1 1
Cơ sở cần tìm {(2;1;1):( 2; 2 3;1);( 1; 2 3;1)}.
Bài 16 (CK 20172). Cho toán tử tuyến tính trên 3 xác định bởi: f (1;2;1) (4;2;6), f (1;1;2) (5;5;0), f (1;0;0) (1;2;1)
- Tìm m để u (6;3;m) Im(f ) .
- Tìm các giá trị riêng và véc tơ riêng của f .
Lời giải
- u Im f u span{(4;2;6);(5;5;0);(1;2;1)}
4x1 5x2 x3 6
Hệ 2x1 5x2 2x3 3 có nghiệm
6x1 x3 m
Hệ có nghiệm 4m36 0 m 9 hay u Im f m 9 .
1 1 1 4 5 1
- Ta có f e 1 E f e 2 E f e 3 E 2 1 0 2 5 2 trong đó E là cơ sở
1 2 0 6 0 1
chính tắc của 3,E e e e1 2 3; ; .
4 5 1 1 1 11 1 2 1
Ma trận của f đối với E là A 2 5 2 2 1 0 2 1 2
6 0 1 1 2 0 1 3 1
1 2 1
Ta có | AI |2 1 2 2( 1) Trị riêng 0, 1
1 3 1
0,vA(0) span{( 1;0;1)}
1,vA(1) span23;21;1
Bài 17. Cho f :V V là toán tử tuyến tính. Giả sử f 2 f f : V V có giá trị riêng 2 .
Chứng minh rằng một trong 2 giá trị hoặc là giá trị riêng của f.
Lời giải Đưa bải toán về: Ma trận A biết A2 có trị riêng là 2 .
Cần chứng minh A có trị riêng hoắc .
Ta có: detA2 2I 0 | AI |.| A I | 0
| AI | 0
| AI | 0 A có trị riêng hoắc .(đpcm)
3 1 2
Bài 18 (CK 20161). Cho ánh xạ tuyến tính f P x: 2[ ]P x2[ ] có ma trận A 6 0 3 đối với
10 2 6 cơ sở chính tắc 1, ,x x2 của P x2[ ].
- Tính f 1 x x2 . Tìm m để v 1 x mx2 thuộc Ker f .
- Tìm một cơ sở của P x2[ ] để ma trận của f đối với cơ sở đó có dạng chéo.
Lời giải
1 3 1 2 1 0
a) f 1 x x2E A 1 6 0 3 1 3 f 1 x x2 3x 2x2
1 10 2 6 1 2
1 2m4 0
v 1 x mx2 Ker f f 1 x mx2 A 1 3m6 0 m 2.
m 6m12 0
0 0 0 1/ 2 1/ 2 1/ 4
b) Chéo hóa A: D1 A D 0 1 0 với D 1/ 2 0 3/ 4
0 0 2 1 1 1
Cơ sở cần tìm là 12; 21;1 ; 12;0;1 ; 14 ; 43;1.
Bài 19. Cho A là ma trận kích thước m n, B là ma trận kích thước np . Chứng minh rằng rank(AB) min{rank(A),rank(B)}, vor ranki (A) hạng của ma trận A .
Lời giải
A, B là ma trận của f, $ đối với cặp cơ sở tương ứng
Im( f g) Im f r AB( ) dim Im( f • g) dim Im f r A( )
Ker g Ker( f g) dim Im( f g) dim Im g
(do dimU dimImg dimKer g dimIm( f g)dimKer( f g))
r AB( ) r B( )
CHƯƠNG V. DẠNG SONG TUYẾN TÍNH, DẠNG TOÀN PHƯƠNG, KHÔNG GIAN EUCLIDE, ĐƯỜNG MẶT BẬC HAI
Bài 1. Cho f là dạng song tuyến tính trên không gian véc tơ 3 chiều V có ma trận đối với cơ sở
1 1 0
Bu u1 2, , u3là A 2 0 2 . Cho h:VV là ánh xạ tuyến tính có ma trận đối với cơ sở
3 4 5
1 1 1
B là B 3 4 2 . 1 2 3
- Xác định f u u 1 3; ; f u 1 u2 u3,2u1 3u2 u3
- Chứng minh ánh xạ g u v( , ) f u h v( , ( )) là dạng song tuyến tính trên V . Tìm ma trận của nó đối với cơ sở B ,
Lời giải
a) f u u 1 3, 0
f u 1 u2 u3,2u1 3u2 u3 2 f u u 1 1, 3f u u 1 2, f u u 1 3, 2 f u u 2 1, 3f u u 2 3,
f u u 2 3, 2 f u u 3 1, 3f u u 3 2, f u u 3 3, 14
b)Kiểm chứng g u1 u av2, 1 bv2 ag u v 1 1, g u v 1 2, ag u v 2 1, bg u v 2 2, g u v( , ) f u h v( , ( )) h u[ ]T A h v[ ( )][ ]u T A B v | | g AB Ma trận của g đối với cơ sở là AB.
Bài 2. Cho dạng song tuyến tính trên P x2[ ] xác định bởi f ( p x( ),q x( )) p(1) (2)q . Tìm ma trận và biểu thức của f đối với cơ sở chính tắc.
Lời giải
f (1,1) 1; f (1, x) 2; f 1, x2 4 f x( ,1) 1; f x x( , ) 2; f x x, 2 4 f x 2,1 1; f x 2, x 2; f x 2, x2 4
1 2 4
Ma trận của f đối với cơ sở chính tắc là 1 2 4
1 2 4
f a x 1 2 b x1 c a x1, 2 2 b x2 c2 4a a1 2 2a b1 2 a c1 2 4ba1 2 2bb1 2 bc1 2 4c a1 2 2c b1 2 c c1 2.
Bài 3. Trên 3 cho các dạng toàn phương có biểu thức tọa độ:
1x x x1 2 3, , x12 5x22 4x32 2x x1 2 4x x1 3. 2x x x1 2 3, , x x1 2 4x x1 3 x x2 3. a) Bằng phương pháp Lagrange, đưa dạng toàn phương về dạng chính tắc.
b) Xét xem các dạng toàn phương xác định dương, xác định âm không? Lời giải
+ w1 x12 5x22 4x3202x x1 2 4x x1 3
x12 2x x1 2 2x3 x2 2x32 5x22 4x32 x2 2x32
x1 x2 2x32 4x22 8 432 x x2 3 x1 x2 2x3 2 2x2 x3 2 9x32 y12 y22 y32 y1 x1 x2 2x y3 2, 2x2x y3 3, 3x3
w1không xác định dương, không xác định âm
+ w2 xx1 24xx1 3x x2 3
Đặt x1 y1 y x2 2, y1 y x2 3, y3 w2 y12 y22 4y1 y2 y3 y1 y2 y3
y12 y14y3 y3 y22 4y y2 3 y y2 3 y12 5y y1 3 y22 3y y2 3
y1 52 y3 2 y2 23 y3 2 4y32
u12 u22 u32 u1 y1 53 y u3; 2 y2 32 y u3; 3 4y3
w2 không có dấu xác định.
Bài 4. Xác định a đề các dạng toàn phương xác định dương:
- 5x12 x22 ax324x x1 22x x1 32x x2 3.
- 2x12 x22 3x32 2ax x1 2 2x x1 3.
- c) x12 x22 5x32 2ax x1 2 2xx1 34x x2 3.
Lời giải
5 2 1
- Ma trận của f đối với cơ sở chính tắc là A 2 1 1
1 1 a
5 2
1 5, 21, 3 | A| a 2
2 1
w xác định dương a 2
2 a 1
- Ma trận của f đối với cơ sở chỉnh tắc là B a 1 0
1 0 3
1 2; 2 2 a2; 3 32a2 1 53a2
w xác định dương 2a2200 a2 53 315 a 315 .
5 3a
1 a 1
- Ma trận của f đối với cơ sở chính tắc là C a 1 2
1 2 5
1 1; 2 1 a2; 3 5a2 4a
2
w xác định dương 15aa2 40a0 143 aa 10 54 a 0.
Bài 5. Cho dạng song tuyến tính trên 3 xác định bởi:
x x x1 2 3, , , y y y1 2, , 3 2x y1 1 x y1 2 x y2 1 ax y2 2 2x y2 3 2x y3 2 3x y3 3
(a là tham số). Tìm ma trận của dạng song tuyến tính trên đối với cơ sở chính tắc của 3 và tìm điều kiện của a để dạng song tuyến tính là một tích vô hướng trên 3 .
Lời giải
2 1 0
Ma trận của dạng song tuyến tính đã cho đối với cơ sở chính tắc 3 là A 1 a 2
0 2 3
Dạng song tuyến tính trên là tích vô hướng nếu nó xác định dương
1 2; 2 2a 1; 3 6a11
2a 1 0 11
6a 11 0 a 6
Bài 6. Trong 3 trang bị một dạng song tuyến tính như sau:
4 2 1
f x y( , ) x x1, 2 , x3 A y y1, 2, y3 t với: A 2 3 4 và x x x x1 2 3, , , y y y y1, 2, 3. Xác
1 a2 2a
định a để f (x, y) là một tích vô hướng trên 3 .
Lời giải
f x y( ; ) là 1 tích vô hướng trên 3f xác định dương (1)
Mà 1 4; 2 8; 3 18a2 16a 11
Nên (1) a2 42 a
18a 16a 11 0
Vậy không tồn tại a thỏa mãn.
Bài 7. Giả sử V là KGVT n chiều với cơ sở Be ,e ,1 2 ,en. Với u,v là các véc tơ của V ta có u ae 1 1ae2 2 ae v ben n; 1 1be2 2 ben n.Đặt t u v , ab1 1ab2 2 abn n
- Chứng minh u v, là một tích vô hướng trên V .
- Áp dụng cho trường hợp V 3, với e1(1;0;1),e2 (1;1; 1),e 3 (0;1;1),u(2; 1; 2),v (2;0;5). Tính u,v .
- Áp dụng cho trường hợp VP[x]2 , với B 1;x;x2,u 2 3x ,v2 6 3x 3x2 . Tính u v, .
- Áp dụng cho trường hợp VP[x]2 , với B 1 x;2x;x x2,u 23x ,v2 63x 3x2 . Tính
u v, .
Lời giải
a) Kiểm chứng: u v, v u,
- u1 u v2, u v1, u v2,
- u u, 0u và u u, 0 u .
- B0 {(1;0;1);(1;1; 1);(0; 1;1)} là 1 cơ sở của 3
[ ]u R0 B01 [ ]u E B01 là ma trận chuyển cơ sở từ E sang B0
1 1 0 2 1
0 1 1 1 3 a a a1; 2; 3 (1; 3; 1)
1 1 1 2 1
Tương tự b b b1 2 3; ; (2;5;7) u v, 6
2 6
- [ ]u B 0 ;[ ]v B 3 u v, 2 6 0.( 3) 3 ( 3) 3
3 3
1 0 0 2 2 6
- [ ]u n 1 2 1 0 5 ,[ ]v n 3 u v, 2.6 5 ( 3) ( 3)2 6 . 0 0 1 3 3 3
Bài 8. Xét không gian P[x]3 . Kiểm tra các dạng p,q sau có phải là tích vô hướng hay không?
- p,q p(0)q(0) p(1)q(1) p(2)q(2)
- p,q p(0) (0)q p(1)q(1) p(2)q(2) p(3)q(3)
- p q, 1 p x q x dx( ) ( )
1
Trong trường hợp là tích vô hướng tính p,q với p 2 3x 5x 2x .q3 4 x 3x22x3
Lời giải
- p p, p2(0)p2(1)p2(2)0
p p, 0 p(0) p(1) p(2) 0
Chọn p x x ( 1)(x 2) P x3[ ] thì p 0 và p p, 0
p q, không là tích vô hướng
- Có là tích vô hướng p q, q p,
p1 p2,q p q1, p2,q
p p, 0; khi p=0)
1 2( ) 0 p x( )0)
- Có là tích vô hướng (p xdx
1
Với p 2 3x5x2x q3; 4 x 3x22x3
p q, 8 12 80 374 474
p q, 112 3x 5x2 x34 x 3x2 2x3dx 1466105 .
Bài 9. Cho V là không gian Euclide. Chứng minh:
- ‖ u v ‖ ‖2 u v ‖2 2‖ ‖ ‖ ‖u 2 v 2 .
- u v‖uv‖ ‖ ‖ ‖ ‖2 u 2 v 2, u,v V.
Lời giải
- ‖uv‖2 u v u, v u u, v v, 2 u v,
‖ ‖ ‖ ‖u 2 v 2 2 u v, ‖u v ‖2 u v u v, u u, v v, 2 u v, ‖ ‖ ‖ ‖u 2 v 2 2 u v,
‖u v‖ ‖2 u v ‖2 2( ‖ ‖ ‖ ‖u 2 v 2
- ‖u v ‖‖ ‖ ‖ ‖ u 2 v 2 2 u v,
u v u v, 0 ‖u v ‖‖ ‖ ‖ ‖ u 2 v 2: đpcm
Bài 10. Cho cơ sở B {(1;1;2),(2;0;1),(1;2;3)} trong không gian 3 với tích vô hướng chính tắc.
Trực chuẩn hóa Gram-Schmidt cơ sở B để thu được cơ sở trực chuẩn B và tìm tọa độ của véc tơ u (5;8;6) đối với cơ sở B .
Lời giải
1/
1 2 3 T 1 16 71T
[ ]u z u u, u u, u u, 16/ 5
6
62
6 5 62
71/
Bài 11. Cho 4 với tích vô hướng chính tắc. Cho u1(6;3; 3;6),u 2 (5;1; 3; 1). Tìm cơ sở trực chuẩn của không gian sinh bởi u u1, 2 .
Lời giải
u1 (6;3; 3;6); u2 (5;1; 3; 1)
v1 u1 2 ; 1 ; 1 ; 2 u1 10 10 10 10
v2 v2 u v v2 1, 1 (5,1, 3, 1) 16 , 2 , 1 , 1 , 2
10 10 10 10 10
95 , 53, 57 , 511 v2 vv22 2 65 2 65 2 65 2 659 , 3 , 7 , 11
B 2 , 1 , 1 , 2 ; 9 , 3 , 7 , 11
10 10 10 10 2 65 2 65 2 65 2 65
span B spanu u1, 2.
Bài 12. Trong P[x]2 định nghĩa tích vô hướng p,q11p(x)q(x)dx với p,qP[x]2 .
- Trực chuẩn hoá Gram-Schmidt cơ sở B 1;x;x2 để nhận được cơ sở trực chuẩn A .
- Tìm [r]A biết r 2 3x 3x2
Lời giải
- Đặt v1 1,v2 x v, 3 x2
x 0. 1 x u2
- [ ]r A r u, 1 r u, 2 r u, 3 T A u u u1,
Bài 13. Tìm hình chiếu trực giao của véc tơ u lên không gian sinh bởi véc tơ v:
- u (1;3;2;4), v (2;2;4;5)
- u (4;1;2;3; 3),v ( 1; 2;5;1; 4)
Lời giải
- w1 u v, v 8 (2, 2,4, 5) 1649, 4916 32 40, 49 49,
v v, 49
- w2 u vv v, ,v 475 ( 1 , 2,5,1, 4) 47 475 ,10 , 4725, 475, 4720 .
Bài 14. Cho không gian 3 với tích vô hướng chính tắc và các véc tơ u(3; 2;1), v1 (2;2;1),v2 (2;5;4) . Đặt W spanv v1 2, . Xác định hình chiếu trực giao của véc tơ u lên không gian W .
Lời giải
+ Trực chuẩn hóa v v1 2,
u
1 vv11 2 2 13 3 3, ,
u2 v2 v u u2, 1 1 (2,5,4)6 2 2 13 3 3, , ( 2,1,2) u2 32 1 2, 3 3,
+ Gọi w là hình chiếu của u lên W spanv v1 2,
w u u u, 1 1 u u, 2 u2 2 2 13 3 3, , ( 2) 32 1 2, 3 3, (2,0,1)
Bài 15 (CK20161). Trong không gian 3 với tích vô hướng chính tắc, cho các véc tơ u (1;2;1) , v (3;6;3) và đặt H w 3∣w u
- Tìm một cơ sở trực chuẩn của không gian H .
- Tìm hình chiếu trực giao của v lên không gian H
Lời giải
- wH w1 2w2 w3 0(w u, 0)
w a(1,0,1) b( 2,1,0) H span{(1,0,1);( 2,1,0)}
v1 (1,0,21) 12 ,0, 12 $
v2 ( 2,1,0) 2( 1) 12 ,0, 12 ( 2,1,0)(1,0,1) ( 1,1,1)
2 1 1 1 v v1, 2 là 1 cơ sở trực chuẩn của H
v , , B
3
3
3
- u là hình chiếu trực giao của v lên H v( (3,6,3)) u v v v, 1 1 v v, 2 v2 3 2 12 ,0, 12 2 3 31 , 13 , 13 (1,2,5).
Bài 16. Trong 5 với tích vô hướng chính tắc cho các véc tơ v1(1;1;0;0;0),v2 (0;1; 1;2;1),v 3 (2;3; 1;2; 1). Gọi V x5∣x v ,ii 1;2;3
- Chứng minh V là không gian véc tơ con của 5 .
- Tìm dimV.
Lời giải
x1 x2 0
Ta có: xV x v, i 0,i 1,3 x2 x3 2x4 x5 0
2x1 3x2 x3 2x4 x5 0
x x x x x2, 2, 3, 4,x2 x3 2x4
x2( 1 ,1,0,0,1) x3(0,0,1,0,1) x4(0,0,0,1,2)
dimV 3 .
Gọi V là KGVT con của5 : v vkv1 2 ,1 V kV, v v.1 , i v v2 , i 0 v1 v v2 , i 0 v1 v2 V
Bài 17. Cho V là không gian Euclide n chiều, V1 là không gian con m chiều của V . Gọi V2 xV x∣ v, v V .1
- Chứng minh V2 là không gian véc tơ con của V .
- Chứng minh V1 và V2 bù nhau.
- Tìm dimV2 .
Lời giải
- Chứng minh: a b, V2 a V, b V, 0 v V1 a b v, 0 a bV2 aV k2, ka V, k a V , 0 v V1 kaV2
V2 là KGVT con của V
- Xét B1 x x1, 2,,xm là cơ sở trực chuẩn của V1
Bổ sung n m vector để được co sở trực chuẩn của V là x x1, 2,, x xm , m1,, xn
Đặt W spanxm1,,xn
n
- w W w i xi w x, i 0 i 1,m w V 2 W V2
i m n n
vV2 v i xi. Mà v x, i 0 i 1,m i 0 i 1,m
i1
n
v i xi vW V2 W
i m 1
Do vậy W V2 , nên V V1, 2 bủ nhau
Khi đó dễ thấy dimV2 nm.
Bài 18. Chéo hoá trực giao các ma trận sau
1 0 0 1 1 0 7 2 0
a) A 00 11 11 b) B 247 247 c) C 01 01 10 d) D 02 62 52
Lời giải
1 0 0
a) A 0 1 1 | AI | ( 1)(2) 0 1 1
- 0 vA(0) span{(0; 1;1)} vector riêng: 0, 21 , 1
2
- 1 vA(1) span{(1;0;0)} vector riêng: (1;0;0)
- 2 vA(2) span{(0,1,1)} vector riêng: 0, 12 , 12
1 1 1 1
Ta có 3 vector riêng trực chuẩn 0, 2 , 2 ;(1;0;0); 0, 2 , 2 úng với các trị riêng 0,1,2
0 0 0 0 1 0
P APT 0 1 0 vói P 1/0 1/ 2
2
2
0 0 2 1/0 1/ 2
7 24
b) B 24 7 [B I] ( 25)( 25)
- 25 ta có vector riêng trực chuẩn: 5 53 4, .
- 25 ta có vector riêng trực chuẩn 54 3,5
T 25 0 3/ 5 1/5
P BP 0 25 với P 4/ 5 3/5
0 0 0 1/ 2 0 1/
2
- P CPT 00 10 02 vởi P 1/0 2 10 1/0 2
3 0 0 1/3 2/3 2/3
- P DPT 0 6 0 với P 2 / 3 1/ 3 2 / 3
0 0 9 2 /3 2/3 1/ 3
Bài 19. Đưa dạng toàn phương về dạng chính tắc bằng phương pháp trực giao
- x12 x22 x32 2xx1 2
- 7x12 6x225x32 4x x1 2 4x x2 3
Lời giải
a) Đặt f x( ) x12 x22 x32 2x x1 2
1 1 0
Ma trận của f đối với cơ sở chính tắc 3 là A 1 1 0
0 0 1
Ta có | A I | ( 1)( 2)
0 vA(0) span{( 1,1,0)} , trực chuẩn hóa được 1 , 1 ,0
2
2
1 vA(1) span{0,0,1}, trực chuẩn hóa được (0,0,1)
2 vA(2) span{1,1,0}, trụuc chuẩn hóa được 1 , 1 ,0
2
2
2
2
2
2
0 0 0 1/0 1/
Do vậy P APr 00 10 02 vói P 1/0 10 1/0
Hay f x( ) y22 2y x32[ ]B y1 y2 y3T ,B 1 , 1 ,0 ;(0,0,1); 1 , 1 ,0
b) Tương tự câu a f x( ) 3y12 6y22 9y x32[ ]B y y1, 2, y3T ,B 31, 32 2, 3 ; 2 1 23 3 3, , ; 32 2 1, 3 3, .
2
2
2
2
Bài 20. Nhận dạng đường cong phẳng sau:
a) 2x24xy y 2 8 0. b) x22xy y 28x y 0.
c) 11x224xy4y215 0 . d) 2x24xy5y2 24.
Lời giải
2 2 2 2
- Dạng toàn phương w 2x 4xy y có ma trận A 2 1
T 2 0 1/ 5 2/ 5
Chéo hóa trực giao A được: P AP 0 3,P 2/ 5 1/ 5
x 1/ 5 2/ 5 x
Đặt y 2/ 5 1/ 5 y
Phương trình đường cong là: 2x2 3y2 8 hyperbol
2 2 1 1
- Dạng toàn phương w x 2xy y có ma trận A 1 1
T 2 0 1/ 2 1/ 2
Chéo hóa trực giao A được: P AP 0 0,P 1/ 2 1/ 2
x 1/ 2 1/ 2 x 2 9 x 7 y 0 parabol
Đặt y 1/ 2 1/ 2 y Phương trình đường cong là: x 2 2
11 12
- A 12 4 có 2 tụ riêng 20,5
có thể đưa đạng toàn phương 11x2 24xy 4y2 về 20x2 5y2 Phương trình đường cong là: 20x2 5y2 15 0 hyperbol
- (31 8)x2 (3 8)y2 24 elipse.
Bài 21. Nhận dạng các mặt bậc 2 sau:
- x12 x22 x32 2x x1 2 4.
- 5x2y2 z2 6xy2xz2xy1.
- 2x12 2x22 3x32 2xx1 2 2x x2 3 16.
Lời giải
1 1 0
- Ma trận của dạng toàn phương đối với cơ sở chính tắc là A 1 1 0
0 0 1
Chéo hóa trực giao A được: P AP
2
2
T 000 100 002,P 11//0 100 11//0 22
x12 x22 x32 2x x1 2 x22 2x32
Phương trình mặt cong: x22 2x32 4 ellipsoid.
5 3 1
- Ma trận của dạng toàn phương w 5x2 y2 z2 6xy 2xz 2yz 1 là A 3 1 1 .
1 1 1
Có 2 trị riêng 1, 2, 3 là nghiệm của 3 7 2 4 0
Chéo hóa trực giao A đưa dạng toàn phương về dạng w 1x2 2y2 3z2
Phương trình mặt cong 1x2 2y2 3z2 1 Hyperboloid 1 tầng 1, 2 0,3 0.
2 1 0
- A 1 2 1 có 3 trị riêng 1, 2, 3 0 là nghiệm 3 7 2 14 7 0
0 1 3
Phương trình mặt cong 1x2 2y2 3z2 16 ellipsoid.
Bài 22. Cho Q x ,x ,x 1 2 3 9x12 7x22 11x32 8x x1 2 8x x1 3. Tìm
12 Max22 32 16Q x ,x ,x 1 2 3,x Mx12Min22 x32 16x ,x ,x1 2 3 . Với giá trị nào thì Q x ,x ,x 1 2 3 đạt max, min. x x x
Lời giải
9 4 4
A 4 7 0 là ma trận của Q đối với cơ sở chính tắc
4 0 11
3 0 0 2 / 3 1/3 2 / 3
Chéo hóa trực giao A P AP: r 0 9 0 ,P 2/ 3 2 / 3 1/ 3
0 0 15 1/ 3 2/ 3 2 / 3
y1 x1
Q 3y12 9y22 15y32 vs y2 P1 x2
y3 x3
Mà P trực giao x x, Py Py, (Py Py y P Py y y) .T T . T . . T . y y, xi2 yi2 16 3.16 Q 15.16
4 0
minQ 3.16 x P. 0 ,maxQ 15.16 x P. 0
0 4
Bài 23. Cho A,B là các ma trận vuông đối xứng cấp n có tất cả các giá trị riêng đều dương. Chứng minh A B cũng có tất cả các giá trị riêng đều dương. Lời giải
Xét f; g là 2 dạng toàn phương ứng với ma trận A B, (đối với cơ sở chính tắc)
Do A, B vuông, đối xứng cấp n có tất cả trị riêng đều dương Dạng toàn phương f g, tương ứng xác định dương.
f g xác định đương. Mà A B là ma trận của f g đối với cơ sở chính tắc A B có tất cả trị riêng dương (đpcm).

