Đề HSG Toán 9
Danh sách Tài liệu
-
Đề học sinh giỏi Toán 9 năm 2021 – 2022 phòng GD&ĐT Quế Sơn – Quảng Nam
107 54 lượt tải 2 trangGiới thiệu đến quý thầy, cô giáo và các em học sinh lớp 9 đề thi chọn học sinh giỏi môn Toán năm 2021 – 2022 phòng GD&ĐT Quế Sơn – Quảng Nam giúp bạn ôn tập kiến thức, chuẩn bị tốt kì thi sắp tới. Mời bạn đọc đón xem.
Môn: Toán 9Chủ đề: Đề HSG Toán 9Dạng: Đề thiTác giả: VietJack1 năm trước -
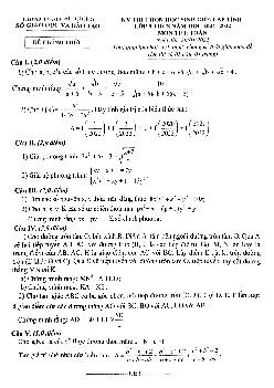
Đề thi học sinh giỏi Toán 9 năm 2021 – 2022 phòng GD&ĐT Đông Anh – Hà Nội
99 50 lượt tải 1 trangGiới thiệu đến quý thầy, cô giáo và các em học sinh lớp 9 đề thi chọn học sinh giỏi môn Toán năm 2021 – 2022 phòng GD&ĐT Đông Anh – Hà Nội giúp bạn ôn tập kiến thức, chuẩn bị tốt kì thi sắp tới. Mời bạn đọc đón xem.
Môn: Toán 9Chủ đề: Đề HSG Toán 9Dạng: Đề thiTác giả: VietJack1 năm trước -
Đề thi học sinh giỏi Toán 9 cấp tỉnh năm 2021 – 2022 sở GD&ĐT Hải Dương
197 99 lượt tải 1 trangGiới thiệu đến quý thầy, cô giáo và các em học sinh lớp 9 đề thi chọn học sinh giỏi môn Toán năm 2021 – 2022 sở GD&ĐT Hải Dương giúp bạn ôn tập kiến thức, chuẩn bị tốt kì thi sắp tới. Mời bạn đọc đón xem.
Môn: Toán 9Chủ đề: Đề HSG Toán 9Dạng: Đề thiTác giả: VietJack1 năm trước -
Đề thi học sinh giỏi cấp tỉnh Toán 9 năm 2021 – 2022 sở GD&ĐT Thái Nguyên
86 43 lượt tải 1 trangGiới thiệu đến quý thầy, cô giáo và các em học sinh lớp 9 đề thi chọn học sinh giỏi môn Toán năm 2021 – 2022 sở GD&ĐT Thái Nguyên giúp bạn ôn tập kiến thức, chuẩn bị tốt kì thi sắp tới. Mời bạn đọc đón xem.
Môn: Toán 9Chủ đề: Đề HSG Toán 9Dạng: Đề thiTác giả: VietJack1 năm trước -
Đề học sinh giỏi Toán THCS năm 2021 – 2022 phòng GD&ĐT thành phố Hưng Yên
125 63 lượt tải 1 trangGiới thiệu đến quý thầy, cô giáo và các em học sinh lớp 9 đề thi chọn học sinh giỏi môn Toán năm 2021 – 2022 phòng GD&ĐT thành phố Hưng Yên giúp bạn ôn tập kiến thức, chuẩn bị tốt kì thi sắp tới. Mời bạn đọc đón xem.
Môn: Toán 9Chủ đề: Đề HSG Toán 9Dạng: Đề thiTác giả: VietJack1 năm trước -
Đề thi học sinh giỏi Toán 9 năm 2021 – 2022 trường THCS Cầu Giấy – Hà Nội
147 74 lượt tải 1 trangGiới thiệu đến quý thầy, cô giáo và các em học sinh lớp 9 đề thi chọn học sinh giỏi môn Toán năm 2021 – 2022 trường THCS Cầu Giấy – Hà Nội giúp bạn ôn tập kiến thức, chuẩn bị tốt kì thi sắp tới. Mời bạn đọc đón xem.
Môn: Toán 9Chủ đề: Đề HSG Toán 9Dạng: Đề thiTác giả: VietJack1 năm trước -
Đề học sinh giỏi Toán 9 năm 2021 – 2022 phòng GD&ĐT Thanh Trì – Hà Nội
253 127 lượt tải 1 trangGiới thiệu đến quý thầy, cô giáo và các em học sinh lớp 9 đề thi chọn học sinh giỏi môn Toán năm 2021 – 2022 phòng GD&ĐT Thanh Trì – Hà Nội giúp bạn ôn tập kiến thức, chuẩn bị tốt kì thi sắp tới. Mời bạn đọc đón xem.
Môn: Toán 9Chủ đề: Đề HSG Toán 9Dạng: Đề thiTác giả: VietJack1 năm trước -
Đề thi học sinh giỏi Toán 9 cấp tỉnh năm 2021 – 2022 sở GD&ĐT Bắc Ninh
111 56 lượt tải 5 trangGiới thiệu đến quý thầy, cô giáo và các em học sinh lớp 9 đề thi chọn học sinh giỏi môn Toán năm 2021 – 2022 sở GD&ĐT Bắc Ninh giúp bạn ôn tập kiến thức, chuẩn bị tốt kì thi sắp tới. Mời bạn đọc đón xem.
Môn: Toán 9Chủ đề: Đề HSG Toán 9Dạng: Đề thiTác giả: VietJack1 năm trước -
Đề thi học sinh giỏi Toán 9 năm 2021 – 2022 phòng GD&ĐT quận Hai Bà Trưng – Hà Nội
88 44 lượt tải 5 trangGiới thiệu đến quý thầy, cô giáo và các em học sinh lớp 9 đề thi chọn học sinh giỏi môn Toán năm 2021 – 2022 phòng GD&ĐT quận Hai Bà Trưng – Hà Nội giúp bạn ôn tập kiến thức, chuẩn bị tốt kì thi sắp tới. Mời bạn đọc đón xem.
Môn: Toán 9Chủ đề: Đề HSG Toán 9Dạng: Đề thiTác giả: VietJack1 năm trước -
Đề thi học sinh giỏi Toán 9 năm 2021 – 2022 phòng GD&ĐT quận Hoàn Kiếm – Hà Nội
107 54 lượt tải 1 trangGiới thiệu đến quý thầy, cô giáo và các em học sinh lớp 9 đề thi chọn học sinh giỏi môn Toán năm 2021 – 2022 phòng GD&ĐT quận Hoàn Kiếm – Hà Nội giúp bạn ôn tập kiến thức, chuẩn bị tốt kì thi sắp tới. Mời bạn đọc đón xem.
Môn: Toán 9Chủ đề: Đề HSG Toán 9Dạng: Đề thiTác giả: VietJack1 năm trước