



















Preview text:
ALCOHOL GVGD: Dương Thị Kim Yến Mail: yendtk@pnt.edu.vn ALCOHOL
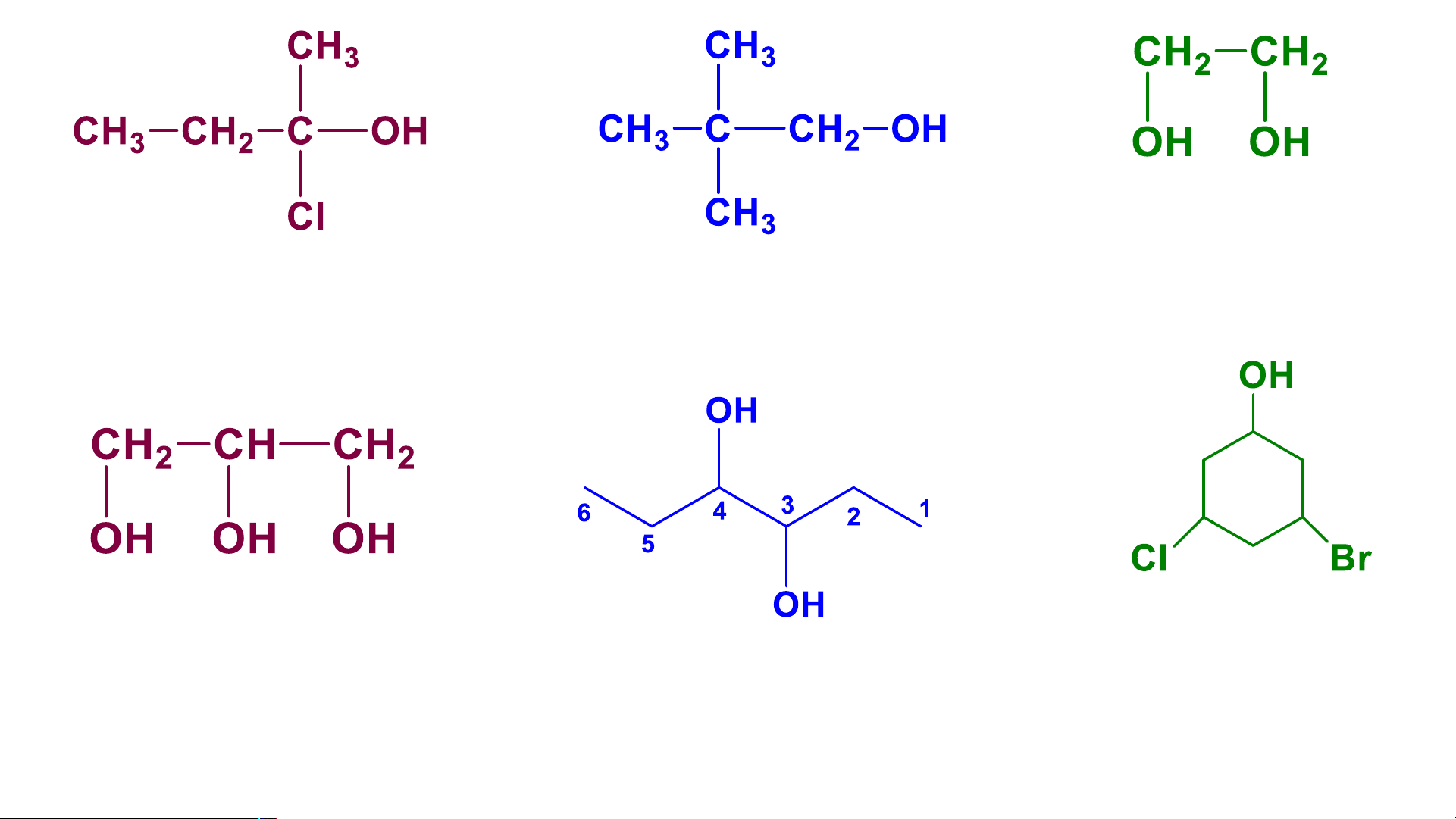
q Chức alcohol là nhóm –OH.
q Nhóm –OH gắn trực tiếp vào C sp3 của gốc hydrocarbon.
• Có alcohol không vòng và alcohol có vòng.
• Khi –OH gắn trực tiếp vào vòng thơm, phân tử đó gọi là Phenol. Phenol khác alcohol. • 1 nhóm –OH: monoalcohol
• ≥ 2 nhóm –OH: polyalcohol
Cấu tạo trong không gian của alcohol
Methanol: CH3-OH là chất lỏng, không màu, sôi ở 65oC và tan hoàn toàn trong nước.
Methanol gây độc ở người với lượng 15ml có thể gây mù mắt và làm chết người với lượng lớn hơn 30ml.
Methanol được sử dụng trong công nghiệp làm dung môi và làm nguyên liệu để sản xuất HCHO và CH3COOH.
Methanol được sản xuất bằng phản ứng hoàn nguyên carbon monoxide bởi khí hydrogen.
Ethanol: C2H5OH sôi ở 78OC, hàm lượng ethanol tối đa sau quá trình lên men là 15%.
Whiskey là loại rượu lên men từ ngũ cốc được chưng cất và ủ
nhiều năm, có hàm lượng ethanol khoảng 50%.
Brandy và cognac là rượu chưng cất được lên men từ nho và một
số loại quả khác. Đặc điểm mùi vị, hương thơm và màu sắc của các
loại rượu phụ thuộc vào nguồn gốc và cách ủ.
Ethanol công nghiệp được điều chế bởi phản ứng hydrat hóa etylen với xúc tác acid, để
làm dung môi hoặc hóa chất trung gian cho các ngành công nghiệp khác.
Iso propyl alcohol sôi ở 82oC, chất này dễ bay hơi khi thoa lên da và
tạo cảm giác mát lạnh, đây là thành phần chính của cồn rửa tay, do
iso propyl alcol có tính kháng khuẩn.
Phenol: là chất tẩy uế được tìm thấy trong nhựa than đá.
Metyl salicylate: là chất tạo mùi, có trong dầu lộc đề.
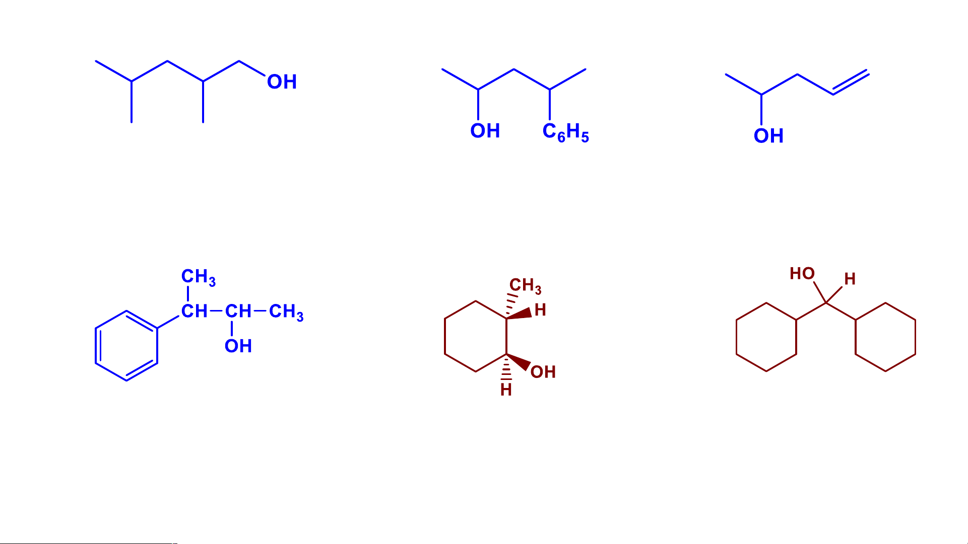
Urushiol: là các thành phần gây dị ứng của cây sồi và dây thường xuân. R= alkyl C15 và dây alkenyl. Bậc alcohol Alcohol bậc 1 Alcohol bậc 2 Alcohol bậc 3 A •Etilmetilphenilcarbinol •Methanol CH3 -OH •Alcohol metil CH •2-Propanol 3-CH2-OH •Ethanol •Isopropanol •2-Phenyl-2-butanol •Alcohol etil •Alcohol isopropil •Ethylmethylphenylcarbinol •Metilcarbinol •Dimetilcarbinol Danh pháp.
vTên theo IUPAC: Thay chữ e – ol ankan-ol
Ø Chọn dây C dài nhất có chứa nhóm –OH
Ø Đánh số dây chính sao cho nhóm C-OH mang số ở vị trí nhỏ nhất. Al, Zn, Mg + HCl => acid lewis
5-Bromo-3-ethyl-4-methoxy-3,5-dimethylhept-6-ene-1-ol CH H CH 3 CH CH2 OH C 2 OH C CH OH 2C HC CH CH Br 3 3 2-methylpropanol 2-methylprop-2-en-1-ol 1-bromoprop-2-yn-1-ol HO OH H OH 3C OH C2H5 Cl CH2OH phenylmethanol
(4-hydroxymethyl)cyclohexanol 1-methylcyclopetanol
2-chloro-1-ethylcyclohexanol vTên thông thường
Alcohol + [ khoảng trắng] + tên nhóm alkyl + ic vTên Carbinol
Tên nhóm alkyl + carbinol (-CH2-OH) Phân loại Công thức Tên theo IUPAC Tên thông thường CH3OH Methanol Wood alcohol C2H5OH Ethanol Alcohol Monohydric C3H7OH Propan-2-ol
Isopropyl alcohol, Rubbing alcohol alcohols C4H9OH Butan-1-ol Butanol, Butyl alcohol C5H11OH Pentan-1-ol Pentanol, Amyl alcohol C16H33OH Hexadecan-1-ol Cetyl alcohol C2H4(OH)2 Ethane-1,2-diol Ethylene glycol C3H6(OH)2 Propane-1,2-diol Propylene glycol C3H5(OH)3 Propane-1,2,3-triol Glycerol Polyhydric C4H6(OH)4 Butane-1,2,3,4-tetraol Erythritol,/ Threitol alcohols C5H7(OH)5 Pentane-1,2,3,4,5-pentol Xylitol C6H8(OH)6 hexane-1,2,3,4,5,6-hexol Mannitol,/ Sorbitol C7H9(OH)7 Heptane-1,2,3,4,5,6,7-heptol Volemitol C3H5OH Prop-2-ene-1-ol Allyl alcohol Unsaturated C
aliphatic alcohols 10H17OH 3,7-Dimethylocta-2,6-dien-1-ol Geraniol C3H3OH Prop-2-yn-1-ol Propargyl alcohol C6H6(OH)6 Cyclohexane-1,2,3,4,5,6-hexol Inositol
Alicyclic alcohols C10H19OH
5-Methyl-2-(propan-2-yl)cyclohexan-1-ol Menthol 1-cloro-1-metylpropanol neopetanol
1,2- etandiol / etylenglycol 1,2,3-propantriol 3,4-hexandiol
3-bromo-5-clorocyclohexanol Glycerin / Glycerol 2,4-dimethyl-1-pentanol 4-phenyl-2-pentanol 4-penten-2-ol Pent-4-en-2-ol 3-phenyl-2-butanol
(1-S,2-S)-2-metylcyclohexanol Dicyclohexylmetanol ( alcol bậc 2) Tính chất vật lý.
• Alcohol có độ sôi cao, khi mạch alkyl càng dài thì độ sôi của alcohol tăng.
• Alcohol là dung môi tốt cho các hợp chất phân cực.
• Các alcohol thấp dễ tan trong nước, nhưng độ tan giảm khi kích thước nhóm alkyl tăng. Tính chất hóa học.
q Alcohol vừa có tính acid, vừa có tính base là do đôi điện tử trên oxygen.
ØLà một base yếu, alcohol bị proton hóa thuận nghịch bởi acid mạnh để tạo thành ion oxonium ( ROH + 2 ). ion oxonium
ØLà một acid yếu, alcohol bị phân ly rất ít trong dung dịch loãng, trong nước bằng
cách nhường proton cho nước, tạo ra H3O+ và ion alkoxide (RO-)
Vì alcohol có tính acid yếu nên sẽ phản ứng được với base mạnh như sodium hydride
(NaH), sodium amide ( NaNH2) và tác chất Grignard ( RMgX) NaH CH CH 3 OH 3ONa sodium methanolate sodium methoxide NaNH2 CH3CH2 OH CH3CH2ONa odium ethanolate sodium ethoxide OH CH3MgBr OMgBr cyclohexanolate bromomagnesium
Bảng giá trị hằng số acid của một số alcohol và phenol Hợp chất Tên gọi Giá trị pKa (CH3)3COH 1,1,1-trimethylmethanol 18,00 Acid yếu CH3CH2OH Ethanol 16,00 H-OH nước 15,74 CH3OH Methanol 15,54 CF3CH2OH 2,2,2-trifluoroethan-1-ol 12.43 OH p-aminophenol 10,64 H2N CH3SH methanethiol 10,30 OH p-methylphenol 10,17 OH phenol 9,89 OH p-chlorophenol 9,38 Cl OH Acid mạnh p-nitrophenol 7,15 O2N
So sánh tính acid của các hợp chất sau:
a) HCOOH. CH3COOH. CH3CH2COOH. (CH3)2CHCOOH b) FCH2COOH BrCH2COOH ClCH2COOH c) CH3CH2CH2COOH CH2ClCH2CH2COOH CH3CH2CHClCOOH
a) HCOOH. > CH3COOH. > CH3CH2COOH. > (CH3)2CHCOOH
§ Giải thích: Hiệu ứng cảm dương (+I): các nhóm thế có khả năng đẩy electron, tăng mật độ electron ở các nguyên tử lân cận. CH3 CH < 3 CH < 2 CH3 CH CH3 < C CH3 § +I: CH3 CH3
b) FCH2COOH. > ClCH2COOH > BrCH2COOH.
§ Giải thích : Hiệu ứng cảm âm (-I): các nhóm thế có khả năng hút electron mạnh, làm giảm mật độ electron ở các
nguyên tử lân cận. Nhóm. -I: - F > -Cl > -Br >. -I 𝛽 𝛼 c) CH3CH2CH2COOH < CH2ClCH2CH2COOH < CH3CH2CHClCOOH
Hiệu ứng cảm có tính lan truyền, mạch C càng dài thì liên kết 𝛿 càng yếu nên tính acid giảm. Phản ứng.
• Nguyên tử Oxygen làm phân cực nối C-O và O-H của alcohol. O C H
• Sự phân cực nối C-O làm C trở nên dương điện nên dễ bị tấn
công bởi tác nhân thân hạch. .
Phản ứng cắt đứt nối C-O : chỉ xảy ra trong môi trường acid H + H+ R CH2 O H R CH2 O R + H2O H
Khả năng phản ứng: bậc 1 < bậc 2 < bậc 3
C-OH chứa nhiều nhóm thế đẩy điện tử → thuận lợi.