














Preview text:
Ngày dạy: 2/3/2026
Tiết 53: ÔN TẬP CHỦ ĐỀ 5 ( TIẾT 1)
I. MỤC TIÊU
1. Về kiến thức: Hệ thống cho học sinh các kiến thức đã học về Phân thức đại số, hai phân thức bằng nhau, điều kiện xác định và giá trị của phân thức; tính chất cơ bản của phân thức; các phép toán cộng, trừ, nhân, chia phân thức.
2. Về năng lực:
* Năng lực chung:
- Năng lực tự học: HS tự hoàn thành được các nhiệm vụ học tập chuẩn bị ở nhà và tại lớp.
- Năng lực giao tiếp và hợp tác: HS phân công được nhiệm vụ trong nhóm, biết hỗ trợ nhau, trao đổi, thảo luận, thống nhất được ý kiến trong nhóm để hoàn thành nhiệm vụ.
* Năng lực đặc thù:
- Năng lực tư duy và lập luận toán học: Tư duy và lập luận toán học trong việc sử dụng các kiến thức về hai phân thức bằng nhau; tính chất cơ bản của phân thức; các phép toán cộng, trừ, nhân, chia phân thức để thực hiện các câu hỏi trắc nghiệm và bài tập liên quan.
- Năng lực giải quyết vấn đề: Vận dụng một cách thành thạo các kiến thức đã học để giải quyết các bài toán liên quan.
- Năng lực sử dụng công cụ và phương tiện học toán: Sử dụng được MTBT để hỗ trợ trong việc tính toán.
- Năng lực giao tiếp toán học: Phát biểu được các kiến thức về định nghĩa phân thức đại số, hai phân thức bằng nhau; tính chất cơ bản của phân thức; quy tắc các phép toán cộng, trừ, nhân, chia phân thức.
* Năng lực số:
2.4TC2a: HS tham gia làm bài tập tại nhà (trước khi lên lớp) trên nền tảng trực tuyến do GV đưa lên
3. Về phẩm chất:
- Chăm chỉ: Có ý thức tìm tòi, khám phá và vận dụng sáng tạo kiến thức để giải quyết vấn đề thực tiễn. thực hiện đầy đủ các hoạt động học tập một cách tự giác, tích cực.
- Trách nhiệm: Có trách nhiệm khi thực hiện nhiệm vụ được giao. Hoàn thành đầy đủ, có chất lượng các nhiệm vụ học tập.
- Trung thực: thật thà, thẳng thắn trong báo cáo kết quả hoạt động cá nhân và theo nhóm, trong đánh giá và tự đánh giá.
II. THIẾT BỊ DẠY HỌC VÀ HỌC LIỆU
1. Chuẩn bị của giáo viên: SGK, bảng phụ, phấn màu, laptop. Chuẩn bị 8 câu hỏi trắc nghiệm và các bài tập. Sơ đồ tư duy tổng kết chương VI.
2. Chuẩn bị của học sinh:
- SGK, nháp, bút, bảng nhóm + bút viết bảng.
- Ôn tập các kiến thức từ bài Phân thức đại số đến bài Luyện tập chung. Máy tính bỏ túi.
III. TIỀN TRÌNH BÀI DẠY
1. Hoạt động 1: Mở đầu(12 phút)
a)Mục tiêu:Hệ thống lại các kiến thức cơ bản chương VI bằng bài tập trắc nghiệm khách quan thông qua “Trò chơi ô số”.
b)Tổ chức thực hiện:
HĐ giáo viên | HĐ học sinh | Sản phẩm |
-GV chiếu màn hình chính của trò chơi Ô số may mắn có các câu hỏi TN lên màn hình để đại diện ở các tổ chọn ô số, trả lời rồi nêu kiến thức mà em đã vận dụng. -GV hướng dẫn học sinh luật chơi. -GVđánh giá học sinh thông qua trò chơi. - Hướng dẫn khai thác để tổng hợp sơ đồ tư duy của chương Giáo viên tổng kết, nhận xét, đánh giá trò chơi Ô số may mắn. Giáo viên thiết kế Sơ đồ tư duy tổng hợp kiến thức cả chương. | Học sinh theo dõi và hiểu luật chơi Trò chơi Ô số: chia lớp thành 4 đội chơi, mỗi tổ là một đội. Có 8 ô số. Mỗi đội có 2 lượt chọn ô số. Nếu trả lời đúng được 10 điểm. Nếu trả lời sai, thì đội đó được quyền bổ sung, bổ sung đúng được 8 điểm, bổ sung sai không có điểm. Khi đó, đội ở bên phải được quyền bổ sung, bổ sung đúng được 5 điểm, bổ sung sai không có điểm. Học sinh thực hiện trả lời câu hỏi trong trò chơi Câu 1: D Câu 2: B Câu 3: B Câu 4: D Câu 5: C Câu 6: D Câu 7: B Câu 8: A Học sinh đánh giá và tổng hợp kiến thức được ôn tập thông qua trò chơi. Học sinh nhận nhiệm vụ Học sinh thực hiện hoạt động theo nhóm Đại diện nhóm báo cáo. | * Khoanh tròn chữ cái đứng trước câu trả lời đúng nhất. Câu 1: Biểu thức nào sau đây không phải là phân thức đại số?GIÁO VIÊN 183 A. Câu 2:Hai phân thức: A. C. Câu 3:Rút gọn phân thức A. Câu 4: Điều kiện xác định của phân thức A. x ≠ - 1 hoặc x ≠ 1 B. x ≠ - 1 và x ≠ 1 C. x ≠ - 1 D. x ≠ 1 Câu 5:Khẳng định nào sau đây là sai?GIÁO VIÊN 183 A. B. C. D. Câu 6: Trong đẳng thức A. C. Câu 7: Nếu A. Câu 8:Một ngân hàng huy động vốn với mức lãu suất một năm là x%. Để sau một năm, người gửi lãi a đồng thì người đó phải gửi vào ngân hàng số tiền là A. C. |
Giáo viên tổng kết kiến thức chương VI bằng sơ đồ tư duy.
| ||
2. Hoạt động 2: Hình thành kiến thức mới
3. Hoạt động 3: Luyện tập (25 phút)
a) Mục tiêu:Rèn kỹ năng vận dụng một cách thành thạo các kiến thức trên vào các dạng bài tập tìm số chưa biết; thực hiện phép tính; tìm điều kiện xác định của phân thức và tính giá trị của biểu thức.
b) Tổ chức thực hiện:
HĐ giáo viên | HĐ học sinh | Sản phẩm |
Giáo viên yêu cầu học sinh hoạt động nhóm đôi thực hiện bài 6.41(a, c) SGK. -Giáo viên hướng dẫn HS thực hiện bài 6.41(a, c) Giáo viên tổ chức điều khiển HS báo cáo - Giáo viên tổng hợp kiến thức | Học sinh nghiên cứu nhiệm vụ được giao - Học sinh thực hiện nhiệm vụ: 1 bạn là câu a, 1 bạn làm câu c sau đó đổi bài và hướng dẫn lẫn nhau - Học sinh đưa ra phân tích, cách làm khác Học sinh nhận xét, đánh giá | Dạng 1: Tìm đa thức chưa biết Bài 6.41(a, c) SGK: a) c) |
GV yêu cầu HS hoạt động cá nhân thực hiện bài 6.42(a, c) SGK. -GV hướng dẫn HS thực hiện bài 6.41(a, c) - GV tổ chức điều khiển HS báo cáo - GV tổng hợp kiến thức | Học sinh nghiên cứu nhiệm vụ được giao -2 học sinh lên bảng thực hiện câu a, c - Học sinh trình bày cách làm cách làm. Học sinh khác nhận xét, sửa chữa, đánh giá | Dạng 2: Thực hiện phép tính Bài 6.42(a, c) SGK: a) c) |
GV yêu cầu HS hoạt động theo nhóm theo phương pháp khăn trải bàn thực hiện bài 6.42(a, c) SGK. -GV hướng dẫn HS thực hiện bài 6.41(a, c) - GV tổ chức điều khiển HS báo cáo - GV tổng hợp kiến | Học sinh nghiên cứu nhiệm vụ được giao -HS thực hiện nhiệm vụ - HS đưa ra phân tích, cách làm khác -HS nhận xét, đánh giá. | Dạng 3: Điều kiện xác định và giá trị của phân thức Bài 6.43 SGK: Cho phân thức a) ĐKXĐ: b) Vậy a = 2, b = 1. c) Để thì Vậy |
4. Hoạt động 4: Vận dụng(8 phút)
a) Mục tiêu:Vận dụng các kiến thức đã học để giải quyết các tình huống thực tế.
b) Tổ chức thực hiện:
HĐ giáo viên | HĐ học sinh | Sản phẩm |
GV yêu cầu HS làm bài tập 6.44 SGK -GV hướng dẫn HS thực hiện - Gv hướng dẫn HS liên hệ các vấn đề trong thực tiễn/ Toán học, đề xuất bài toán tương tự - Gv tổng kết và nêu thêm bài tập gắn với thực tế, bài tập tổng hợp (nếu được) | -HS tìm hiểu nhiệm vụ được giao - HS thực hiện nhiệm vụ HS liên hệ các vấn đề trong thực tiễn/ Toán học, đề xuất bài toán tương tự | Dạng 4: Toán thực tế Bài 6.44 SGK: a) Độ dài quãng đường Hà Nội - Vinh: b) Độ dài quãng đường còn lại sau khi dừng nghỉ là 300−(60.83)=140 (km) c) d) Ta có
Vậy khi tăng vận tốc thêm 5km/h thì xe đến Vinh muộn hơn dự kiến Khi tăng vận tốc thêm 10km/h thì xe đến Vinh đến đúng thời gian dự kiến. |
⏩ Hướng dẫn tự học ở nhà
- Ôn tập kĩ các lý thuyết và xem lại các bài tập đã giải.
Ngày dạy: 3/3/2026
TIẾT 54: ÔN TẬP CHỦ ĐỀ 5 ( TIẾT 2)
I. MỤC TIÊU
1. Về kiến thức:
- Liên kết các kiến thức của Bài 23 và Bài 24
- Thực hiện được phép nhân, chia phân thức đại số
- Rèn kĩ năng sử dụng phân thức đại số biểu thị một số đại lượng trong các bài toán thực tế
- Nhận thức ý nghĩa của bài toán tính giá trị biểu thức.
2. Về năng lực:
* Năng lực chung:
- Năng lực tự học: HS tự hoàn thành được các nhiệm vụ học tập chuẩn bị ở nhà và tại lớp.
- Năng lực giao tiếp và hợp tác: HS phân công được nhiệm vụ trong nhóm, biết hỗ trợ nhau, trao đổi, thảo luận, thống nhất được ý kiến trong nhóm để hoàn thành nhiệm vụ.
* Năng lực đặc thù:
- Năng lực giao tiếp toán học: HS phát biểu, nhận biết được …
- Năng lực tư duy và lập luận toán học, năng lực giải quyết vấn đề toán học, năng lực mô hình hóa toán học: thực hiện được các thao tác tư duy so sánh, phân tích, tổng hợp, khái quát hóa, …
3. Về phẩm chất:
- Chăm chỉ: thực hiện đầy đủ các hoạt động học tập một cách tự giác, tích cực.
- Trung thực: thật thà, thẳng thắn trong báo cáo kết quả hoạt động cá nhân và theo nhóm, trong đánh giá và tự đánh giá.
- Trách nhiệm: hoàn thành đầy đủ, có chất lượng các nhiệm vụ học tập.
II. THIẾT BỊ DẠY HỌC VÀ HỌC LIỆU
1. Giáo viên: SGK, kế hoạch bài dạy, thước thẳng, bảng phụ hoặc máy chiếu.
2. Học sinh: SGK, thước thẳng, bảng nhóm.
III. TIỀN TRÌNH BÀI DẠY
1. Hoạt động 1: MỞ ĐẦU (8 phút)
a) Mục tiêu:Ôn tập kiến thức cần nhớ của Bài 24.
Trò chơi học tập: Hái lộc đầu xuân/ Tổng kết kiến thức cần nhớ
b) Tổ chức thực hiện:
HĐ giáo viên | HĐ học sinh | Sản phẩm |
GVcho HS chơi trò chơi “Hái lộc đầu xuân” mục đích Ôn tập kiến thức cần nhớ, của bài 24. - Bài tập, bộ câu hỏi Câu 1: Chọn đáp án đúng
Câu 2: Chọn khẳng định đúng. Muốn chia phân thức
Câu 3: Chọn câu sai A. B. C. D. Câu 4: Kết quả của phép tính
A. C. Câu 5: Kết quả của phép chia
A. C. - Giáo viên hướng dẫn HS luật chơi. - Bảng phụ tổng hợp kiến thức cần nhớ GV tổng hợp, chốt vấn đề. | HS nhận nhiệm vụ - HS nắm bắt luật chơi - HS thực hiện nhiệm vụ được giao Câu 1: Đáp án C Câu 2: Đáp án C Câu 3: Đáp án D Câu 4: Đáp án B Câu 5: Đáp án C HS nhận nhiệm vụ - HS thực hiện nhiệm vụ được giao. HS ghi chép bài | I. Kiến thức cần nhớ 1. Nhân hai phân thức 2. Tính chất + Giao hoán + Kết hợp + Phân phối của phếp nhân đối với phếp cộng 3. Chia hai phân thức |
2. Hoạt động 2: Hình thành kiến thức mới.
3. Hoạt động 3: Luyện tập (27 phút)
a) Mục tiêu:HS vận dụng được lý thuyết nhân, chia phân thức đại số vào thực hiện phép tính
b) Tổ chức thực hiện:
HĐ giáo viên | HĐ học sinh | Sản phẩm |
- Làm các Bài tập 6.32; 6.33 SGK/24 Bài 6.32/SGK/25: Thực hiện các phép tính a) b) GV nhận xét, chốt lại Bài 6.33/SGK/24: Thực hiện các phép tính a) b) -GV Hướng dẫn HS thực hiện - GV đưa ra phân tích, khai thác cách làm khác | HS nhận nhiệm vụ - HS thực hiện nhiệm vụ HS: (Dự kiến) a) b) - HS nhận xét, đưa ra cách làm khác nếu có | II. Luyện tập Bài 1 (Bài 6.32/SGK/24): Thực hiện các phép tính a) b) Bài 2 (Bài 6.33/SGK/24): Thực hiện các phép tính a) b) |
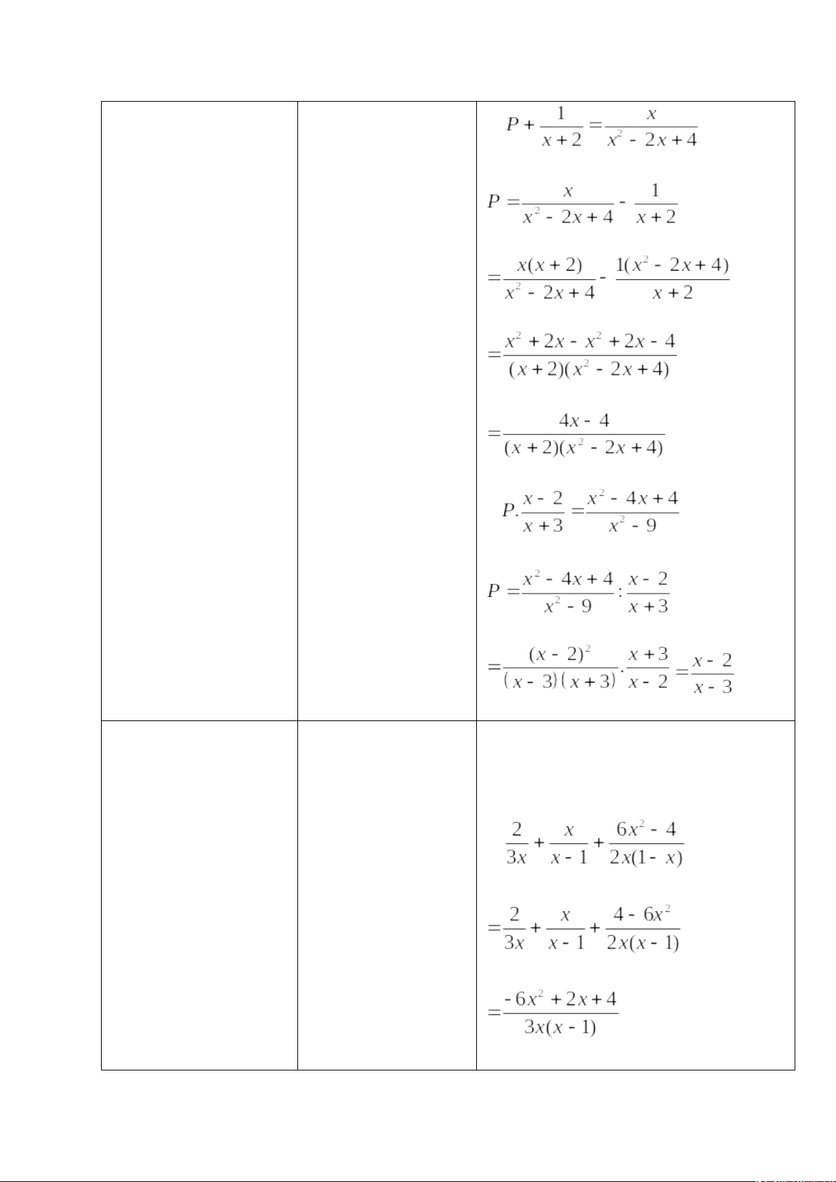
- Làm bài tập bổ sung Cho biểu thức
-GV Hướng dẫn HS thực hiện - GV đưa ra phân tích, khai thác cách làm khác - GV nhận xét và chốt cách làm của dạng toán này | HS nhận nhiệm vụ - HS thực hiện nhiệm vụ - HS (dự kiến trả lời) a) b) - HS đưa ra phân tích, cách làm khác | Bài 3( Bài tập bổ sung)
Thay Vậy với
Để Kết hợp với điều kiện x nguyên và |
4. Hoạt động 4: Vận dụng(10 phút)
a) Mục tiêu: Vận dụng các kiến thức về nhân, chia phân thức đại số để giải quyết bài toán thực tế
b) Tổ chức thực hiện:
HĐ giáo viên | HĐ học sinh | Sản phẩm |
- GV yêu cầu HS bài tập thực tế: - GV yêu cầu HS thực hiện theo nhóm đôi -GV Hướng dẫn HS thực hiện Tổ chức cho HS báo cáo cá nhân hoặc nhóm - GV tổng kết và nêu thêm bài tập gắn với thực tế (nếu được) | HS nhận nhiệm vụ - HS thực hiện nhiệm vụ theo nhóm đôi -HS a) b) c) - HS liên hệ các vấn đề trong thực tiễ | Bài 3 (Bài tập bổ sung) a) Do tốc độ ca nô đi xuôi dòng là b) Do tốc độ ca nô đi ngược dòng là c) Tỉ số của thời gian ca nô đi xuôi dòng từ A đến B và thời gian ca nô đi ngược dòng từ B về A là |
⏩ Hướng dẫn tự học ở nhà
- Xem lại các bài tập đã chữa
- Làm các bài tập: 6.43; 6.35/SGK/24 và các bài tập trong SBT
NGƯỜI PHÊ DUYỆT NGƯỜI SOẠN
