





Preview text:
THƢƠNG MẠI QUỐC TẾ
HÀNH NỘI BỘ
1. Việc gia tăng nhập khẩu quần áo vào nước Mỹ sẽ đem lại lợi Ⓑ $2.812,5
ích cho (i)__________và gây hại cho (ii)_________: Ⓒ + $6.300
Ⓐ (i) Các nhà sản xuất quần áo trong nước; (ii) các nhà Ⓓ + $3.375
sản xuất quần áo ở nước ngoài
9. Nếu Mỹ trao đổi tự do ván trượt với phần còn lại của thế giới
Ⓑ (i) Người tiêu dùng quần áo ở nước ngoài; (ii) các nhà
tại mức giá là $75, thặng dư sản xuất thay đổi:
sản xuất quần áo ở nước ngoài Ⓐ + $2.812,5
Ⓒ (i) Người tiêu dùng quần áo trong nước; (ii) các nhà Ⓑ - $2.812,5
sản xuất quần áo ở nước ngoài Ⓒ + $3.375
Ⓓ (i) Người tiêu dùng quần áo trong nước; (ii) Các nhà Ⓓ
sản xuất quần áo trong nước - $3.375
Cung và cầu thị trƣờng đĩa MP3 ở Mỹ đƣợc cho bởi
2. Trong mô hình trao đổi thương mại giữa hai quốc gia điển hình, phƣơng trình:
đối với nước xuất khẩu, người tiêu dùng trong nước sẽ (i)___và QS = 25 + 10P
nhà sản xuất trong nước sẽ (ii)___khi có thương mại diễn ra: QD = 925 – 5P
Ⓐ (i) hưởng lợi; (ii) hưởng lợi
Trả lời câu hỏi từ 10 đến câu 16
Ⓑ (i) chịu thiệt; (ii) hưởng lợi
10. Khi không có trao đổi quốc tế đĩa MP3, giá trong nước của 1
Ⓒ (i) chịu thiệt; (ii) chịu thiệt chiếc đĩa MP3 là: Ⓓ Ⓐ
(i) hưởng lợi; (ii) chịu thiệt $60
Phƣơng trình cung, cầu về ván trƣợt ở Mỹ nhƣ sau: Ⓑ Q $63,33 S = -60 + 3P Q Ⓒ D = 390 – 2P $90 Ⓓ
Sử dụng dữ kiện trên trả lời câu hỏi 3 đến câu 9 $180
11. Khi không có trao đổi quốc tế đĩa MP3, lượng đĩa MP3 được
3. Khi không có trao đổi quốc tế ván trượt, giá trong nước của 1
trao đổi trong nước là: chiếc ván trượt là: Ⓐ Ⓐ 1825 $66 Ⓑ Ⓑ 625 $90 Ⓒ Ⓒ 608 $45 Ⓓ Ⓓ 925 $150
12. Nếu Mỹ trao đổi tự do đĩa MP3 với phần còn lại của thế giới
4. Khi không có trao đổi quốc tế ván trượt, lượng ván trượt được
tại mức giá là $90, bao nhiêu đĩa MP3 được sản xuất ở Mỹ:
trao đổi trong nước là: Ⓐ Ⓐ 625 138 Ⓑ Ⓑ 475 258 Ⓒ Ⓒ 925 210 Ⓓ
ầu đĩa MP3 ở nước ngoài Ⓓ Phụ thuộc vào c 930
13. Nếu Mỹ trao đổi tự do đĩa MP3 với phần còn lại của thế giới
5. Nếu Mỹ trao đổi tự do ván trượt với phần còn lại của thế giới
tại mức giá là $90, bao nhiêu đĩa MP3 được mua ở Mỹ:
tại mức giá là $75, bao nhiêu ván trượt được sản xuất ở Mỹ: Ⓐ Ⓐ 625 165 Ⓑ Ⓑ 475 240 Ⓒ Ⓒ 925 285 Ⓓ Ⓓ
Phụ thuộc vào cung đĩa MP3 ở nước ngoài
Phụ thuộc vào cầu ván trượt ở nước ngoài
14. Nếu Mỹ trao đổi tự do ván trượt với phần còn lại của thế giới
6. Nếu Mỹ trao đổi tự do ván trượt với phần còn lại của thế giới
tại mức giá là $75, Mỹ sẽ nhập khẩu (i) ____đĩa MP3 và xuất
tại mức giá là $75, Mỹ sẽ nhập khẩu (i) ____ván trượt và xuất khẩu (ii)___đĩa MP3: khẩu (ii)___ván trượt: Ⓐ Ⓐ (i) 0; (ii) 450 (i) 240; (ii) 165 Ⓑ Ⓑ 450; (ii) 0 0; (ii) 165 Ⓒ Ⓒ (i) 475; (ii) 925 (i) 75; (ii) 0 Ⓓ Ⓓ (i) 0; (ii) 925 (i) 240; (ii) 0
15. Khi không có trao đổi quốc tế đĩa MP3, thặng dư tiêu dùng
7. Khi không có trao đổi quốc tế ván trượt, thặng dư tiêu dùng và trong nước là:
thặng dư sản xuất trong nước là: Ⓐ $22.562,5 Ⓐ $7.350; $11.025 Ⓑ $30.062,5 Ⓑ $31.500; $9.450 Ⓒ $270.312,5 Ⓒ $20.474; $7.350 Ⓓ Ⓓ $19.500 $31.500; $7.350
16. Nếu Mỹ trao đổi tự do đĩa MP3 với phần còn lại của thế giới
8. Nếu Mỹ trao đổi tự do ván trượt với phần còn lại của thế giới
tại mức giá là $90 thì Mỹ sẽ____một lượng là____:
tại mức giá là $75, thặng dư tiêu dùng thay đổi: Ⓐ Ⓐ
hưởng lợi; 2.625 đĩa MP3 + $2.812,5 Ⓑ hưởng lợi; $6.750
Ⓒ chịu thiệt; 150 đĩa MP3 Ⓒ Lợi thế so sánh Ⓓ chịu thiệt; $13.500 Ⓓ Không điều nào
17. Nếu năng suất lao động của Anh trong sản xuất ô lớn hơn năng
Sử dụng dữ kiện sau đây để trả lời các câu hỏi từ câu 24
suất lao động phần còn lại của thế giới, có thể nói rằng Anh đến câu 29 có_____trong sản xuất ô
Số giờ lao động để sản xuất Anh Phần còn lại Ⓐ Lợi thế so sánh của thế giới Ⓑ 1 chiếc ô 3.00 2.00 Lợi thế tuyệt đối 1 đơn vị Ⓒ ngô 1.00 0.25 Chi phí cơ hội
24. Anh có lợi thế tuyệt đối trong sản xuất____và phần còn lại của
Ⓓ Chưa thể đánh giá được
thế giới có lợi thế tuyệt đối trong sản xuất____
18. Trong mô hình trao đổi hàng hóa giữa hai nước, điều nào sau Ⓐ đây đúng không hàng hóa nào; ngô : (I) Ⓑ
Kết quả của thương mại, có ít nhất quốc gia sẽ được
không hàng hóa nào; cả hai hàng hóa
hưởng lợi và lợi ích mà quốc gia đó có được không làm
Ⓒ cả hai hàng hóa; không hàng hóa nào
giảm phúc lợi kinh tế của quốc gia khác. Ⓓ ngô; ô
(II) Cả hai quốc gia có thể thu được lợi ích từ thương mại bằng 25. Anh có lợi thế so sánh trong sản xuất____và phần còn lại của
cách phân chia lợi ích của việc sản xuất toàn cầu được mở
thế giới có lợi thế so sánh trong sản xuất____ rộng.
Ⓐ không hàng hóa nào; ngô Ⓐ (I)
Ⓑ không hàng hóa nào; cả hai hàng hóa Ⓑ (II) Ⓒ ô; ngô Ⓒ Cả (I) và (II) Ⓓ ngô; ô
Ⓓ Không phải (I) và (II)
26. Chi phí cơ hội để sản xuất 1 đơn vị ngô ở Anh là_____và chi
Cho thông tin bảng sau, hãy trả lời từ câu 19 đến câu 22
phí cơ hội để sản xuất 1 đơn vị ngô của phần còn lại thế giới Năng suất lao động Anh Phần còn lại là____: của thế giới Ⓐ 1/8 ô; 1/3 ô Số ô/1 giờ lao động 1.00 0.50 Ⓑ 1/3 ô; 1/8 ô
Đơn vị ngô/1 giờ lao động 0.20 0.70 Ⓒ 3 ô; 8 ô
19. Số giờ lao động để sản xuất ra 1 chiếc ô ở Anh: Ⓓ Ⓐ 8 ô; 3 ô 0.5
27. Chi phí cơ hội để sản xuất 1 ô ở Anh là_____và chi phí cơ hội Ⓑ 1
để sản xuất 1 ô của phần còn lại thế giới là____: Ⓒ 1.43
Ⓐ 1/8 đơn vị ngô; 1/3 đơn vị ngô Ⓓ 2
Ⓐ 1/3 đơn vị ngô; 1/8 đơn vị ngô
20. Số giờ lao động để sản xuất ra 1 đơn vị ngô của phần còn lại thế giới:
Ⓒ 3 đơn vị ngô; 8 đơn vị ngô Ⓐ 0.5
Ⓓ 8 đơn vị ngô; 3 đơn vị ngô Ⓑ 1
28. Khi có trao đổi giữa Anh và phần còn lại của thế giới, thì giá ô Ⓒ 1.43
thế giới sẽ nằm trong khoảng____và____: Ⓓ 2
Ⓐ 1/3 đơn vị ngô; 3 đơn vị ngô
21. Phần còn lại của thế giới có lợi thế tuyệt đối trong sản
Ⓑ 8 đơn vị ngô; 3 đơn vị ngô
xuất____và Anh có lợi thế tuyệt đối trong sản xuất____:
Ⓒ 1/8 đơn vị ngô; 1/3 đơn vị ngô Ⓐ ô; ngô
Ⓓ 8 đơn vị ngô; 1/8 đơn vị ngô Ⓑ ngô; ô
29. Khi có trao đổi giữa Anh và phần còn lại của thế giới, thì giá Ⓒ ế ớ ẽ ằ
ngô; không sản phẩm nào
ngô th gi i s n m trong khoảng____và____:: Ⓐ Ⓓ 1/3 ô; 3 ô không sản phẩm nào; ô Ⓑ 8 ô; 3 ô
22. Nếu Anh chuyển 1 giờ lao động từ sản xuất ngô sang sản xuất Ⓒ
ô và phần còn lại của thế giới chuyển 1 giờ lao động từ sản 1/8 ô; 1/3 ô
xuất ô sang sản xuất ngô, thì tổng sản lượng ngô của thế giới sẽ Ⓓ 8 ô; 1/8 ô
(i)___ là (ii)___đơn vị và tổng sản lượng ô của thế giới sẽ
Sử dụng dữ liệu sau đây để trả lời các câu hỏi từ 30 đến 34:
(iii)___ là (iv)___đơn vị Năng suất lao động Anh Phần còn lại của
Ⓐ (i) tăng; (ii) 1; (iii) giảm; (iv) 1 thế giới ờ lao độ Ⓑ Số ô/1 gi ng 6 1
(i) tăng; (ii) 1,43; (iii) tăng; (iv) 1 Số ngô/1 giờ lao động 4 3
Ⓒ (i) tăng; (ii) 0,5; (iii) tăng; (iv) 0,5
Ⓓ (i) giảm; (ii) 0,5; (iii) giảm; (iv) 0,7
30. Anh có lợi thế tuyệt đối trong sản xuất____và phần còn lại của
23. Nếu một quốc gia xuất khẩu hàng hóa mà quốc gia đó sản xuất
thế giới có lợi thế tuyệt đối trong sản xuất____:
với chi phí cơ hội thấp và nhập khẩu những hàng hóa sản xuất
Ⓐ cả hai hàng hóa; không hàng hóa nào
với chi phí cơ hội cao, như vậy thương mại thực hiện dựa trên: Ⓑ ả Ⓐ
không hàng hóa nào; c hai hàng hóa Lợi thế tuyệt đối Ⓒ Ⓑ ô; ngô
Sự khác biệt về năng suất lao động Ⓓ ngô; ô
31. Chi phí cơ hội để sản xuất 1 đơn vị ngô ở Anh là_____và chi
Ⓐ 8 chai rượu; 2 chai rượu
phí cơ hội để sản xuất 1 đơn vị ngô của phần còn lại thế giới
Ⓑ 1/8 chai rượu; 1/2 chai rượu là____: Ⓒ Ⓐ
1/2 chai rượu; 1/8 chai rượu 2/3 ô; 3 ô
2 chai rượu; 8 chai rượu Ⓑ 3 ô; 2/3 ô
39. Nếu một quốc gia có lợi thế so sánh trong sản xuất một sản Ⓒ 3/2 ô; 1/3 ô phẩm nào đó thì: Ⓓ 1/3 ô; 3/2 ô
Ⓐ Quốc gia đó cũng có lợi thế tuyệt đối trong sản xuất
32. Chi phí cơ hội để sản xuất 1 chiếc ô ở Anh là_____và chi phí sản phẩm này
cơ hội để sản xuất 1 chiếc ô của phần còn lại thế giới là____:
Ⓑ Quốc gia đó sẽ nhập khẩu sản phẩm này
Ⓐ 2/3 đơn vị ngô; 3 đơn vị ngô
Ⓒ Quốc gia đó có thể sản xuất sản phẩm này với chi phí
Ⓑ 3 đơn vị ngô; 2/3 đơn vị ngô cơ hội thấp hơn
Ⓒ 3/2 đơn vị ngô; 1/3 đơn vị ngô
Ⓓ Quốc gia đó có thể sản xuất sản phẩm này với chi phí
Ⓓ 1/3 đơn vị ngô; 3/2 đơn vị ngô
cơ hội là như nhau với các quốc gia khác
33. Khi có trao đổi giữa Anh và phần còn lại của thế giới, thì giá ô 40. Nếu một quốc gia có lợi thế tuyệt đối trong sản xuất một sản
thế giới sẽ nằm trong khoảng____và____: phẩm nào đó thì:
Ⓐ 2/3 đơn vị ngô; 3 đơn vị ngô
Ⓐ Không có nghĩa là quốc gia này sẽ nhập khẩu sản Ⓑ
phẩm này từ quốc gia khác
3/2 đơn vị ngô; 2/3 đơn vị ngô Ⓑ Ⓒ ả ất sản
3/2 đơn vị ngô; 1/3 đơn vị ngô
Quốc gia đó cũng có lợi thế so sánh trong s n xu phẩm này
Ⓓ 3 đơn vị ngô; 1/3 đơn vị ngô Ⓒ ợ ế ể ả
34. Khi có trao đổi giữa Anh và phần còn lại của thế giới, thì giá
Thương mại dựa trên l i th so sánh không th x y ra
ngô thế giới sẽ nằm trong khoảng____và____:
Ⓓ Quốc gia sản xuất sản phẩm với năng suất lao động Ⓐ cao hơn 2/3 ô; 3 ô
41. Nếu một nước nhỏ đánh thuế đối với xe máy nhập khẩu, giá xe Ⓑ 3/2 ô; 2/3 ô
máy thế giới sẽ___và giá xe máy trong nước sẽ___: Ⓒ 3/2 ô; 1/3 ô Ⓐ tăng; tăng Ⓓ 3 ô; 3/2 ô Ⓑ giảm; tăng
35. Điều nào sau đây không đúng với đường giới hạn khả năng sản Ⓒ
xuất của một quốc gia (đường cong) không thay đổi; tăng Ⓓ
Ⓐ Đường giới hạn khả năng sản xuất có dạng cong lõm không thay đổi; giảm
42. Nếu một quốc gia nhỏ áp dụng thuế đối với xe máy nhập khẩu,
so với gốc tọa độ biểu thị tất cả số lượng hàng hóa
thì thặng dư của các nhà sản xuất xe máy trong nước sẽ_____
khác nhau mà một nền kinh tế có thể sản xuất khi
và thặng dư của người tiêu dùng xe máy trong nước sẽ_____:
nguồn lực đầu vào được sử dụng đầy đủ Ⓐ
Ⓑ Điểm nằm phía trong đường giới hạn khả năng sản tăng; tăng
xuất là điểm không hiệu quả, nó cho thấy nguồn lực Ⓑ giảm; giảm
đầu vào đã chưa được sử dụng tối đa Ⓒ giảm; tăng
Ⓒ Điểm nằm phía ngoài đường giới hạn khả năng sản Ⓓ tăng; giảm
xuất là điểm không thể đạt được với nguồn lực là cho Cho các thông tin về thị trƣờng máy tính của Mỹ, hãy trả lời trước
câu hỏi từ câu 43 đến câu 47
Ⓓ Đường giới hạn khả năng sản xuất biểu diễn lợi ích Một quốc gia nhỏ áp dụng mức thuế $5 đối với mỗi chai rượu vang
thu được từ thương mại của quốc gia đó
nhập khẩu. Khi đó:
Một chai rƣợu vang có thể đƣợc sản xuất tại Pháp với 2 giờ - Giá thế giới của rượu vang (có thương mại): $20
lao động và ở Mỹ với 4 giờ lao động. Một pound thịt bò có - Lượng sản xuất rượu vang trong nước (chưa có thuế): 500.000
thể đƣợc sản xuất tại Pháp với 1 giờ lao động và ở Mỹ với - Lượng sản xuất rượu vang trong nước (khi có thuế): 600.000
½ giờ lao động. Trả lời từ câu 36 đến câu 38
- Lượng tiêu thụ rượu vang trong nước (chưa có thuế): 750.000
36. Nhận định nào sau đây đúng
- Lượng tiêu thụ rượu vang trong nước (khi có thuế): 650.000 Ⓐ 43. ậ ẩu___chai rượu vang,
Pháp có lợi thế so sánh trong sản xuất thịt bò
Khi chưa có thuế, quốc gia này nh p kh
sau khi có thuế quốc gia này nhập khẩu___chai rượu vang:
Ⓑ Pháp có lợi thế tuyệt đối trong sản xuất thịt bò Ⓐ 100.000; 100.000
Ⓒ Mỹ có lợi thế tuyệt đối những không có lợi thế so Ⓑ
sánh trong sản xuất thịt bò 250.000; 50.000 Ⓒ Ⓓ 150.000; 50.000
Mỹ có cả lợi thế so sánh và lợi thế tuyệt đối trong sản xuất thịt bò Ⓓ 750.000; 650.000
37. Chi phí cơ hội để sản xuất 1 chai rượu vang ở Pháp là_____và 44. Việc áp đặt thuế nhập khẩu lên rượu vang sẽ làm cho thặng dư
chi phí cơ hội để sản xuất 1 chai rượu vang ở Mỹ là____:
sản xuất____một lượng là___: Ⓐ Ⓐ
8 pound thịt bò; 2 pound thịt bò tăng; 100.000 chai
Ⓑ 1/2 pound thịt bò ; 1/8 pound thịt bò Ⓑ tăng; $500.000 Ⓒ Ⓒ
2 pound thịt bò; 8 pound thịt bò giảm; $2.5 triệu Ⓓ Ⓓ
1/8 pound thịt bò; 1/2 pound thịt bò tăng; $2.75 triệu
38. Chi phí cơ hội để sản xuất 1 pound thịt bò ở Pháp là_____và 45. Việc áp đặt thuế nhập khẩu lên rượu vang sẽ làm cho thặng dư
chi phí cơ hội để sản xuất 1 pound thịt bò ở Mỹ là____:
tiêu dùng____một lượng là___: Ⓐ giảm; 100.000 chai Ⓑ giảm; $250.000
Ⓐ Mỹ sản xuất máy bay với chi phí cơ hội thấp hơn các Ⓒ giảm; $3.5 triệu quốc gia khác Ⓓ tăng; $3.5 triệu
Ⓑ Mỹ có nguồn lao động kỹ thuật cao nhiều hơn các
46. Doanh thu thuế từ việc áp đặt thuế nhập khẩu lên rượu vang nước khác của chính phủ sẽ:
Ⓒ Mỹ có thể sản xuất với chi phí tính bằng USD thấp Ⓐ $250.000
hơn các nước khác Ⓑ $1.25 triệu
Ⓓ Mỹ sản xuất với sản lượng máy bay nhiều hơn nước Ⓒ khác $3.5 triệu 55. ợ ế ả
ất cotton nếu giá cotton ở Ⓓ
Mỹ có l i th so sánh trong s n xu $500.000
Mỹ khi chưa có thương mại là___giá thế giới:
47. Việc áp đặt thuế nhập khẩu lên rượu vang sẽ làm tổng lợi ích Ⓐ
xã hội____một lượng là___: thấp hơn Ⓑ Ⓐ giảm; $0.5 triệu bằng Ⓒ Ⓑ ể tăng; $0.75 triệu không th so sánh Ⓓ
Ⓒ giảm; 100.000 chai rượu cao hơn
56. Giả sử một quốc gia xuất khẩu đường, trên thị trường đường Ⓓ giảm; $0.75 triệu
của quốc gia đó, đối tượng nào sẽ không được hưởng lợi từ
48. Một trong những lý do để chính phủ ưu thích hạn ngạch nhập xuất khẩu:
khẩu hơn so với thuế nhập khẩu là: Ⓐ Ⓐ
người tiêu dùng đường trong nước
Hạn ngạch tạo ra nhiều doanh thu cho chính phủ hơn Ⓑ ả ất đường trong nước là thuế quan các nhà s n xu Ⓒ
Ⓑ Hạn ngạch đảm bảo rằng số lượng nhập khẩu được
người tiêu dùng nước ngoài giới hạn nghiêm ngặt
Ⓓ không có đối tượng nào Ⓒ 57. ế ở
Hạn ngạch tạo ra ít biến dạng thị trường hơn so với
Khi một quốc gia tham gia thương mại quốc t và tr thành
nước xuất khẩu hàng hóa: thuế quan Ⓐ Ⓓ
ợi ngườ ản xuất được hưởng nhiều hơn phần
Hạn ngạch cung cấp ít quyền lực hơn cho các chính trị phần l i s
thiệt mà người tiêu dùng phải chịu, tổng thặng dư tăng gia so với thuế quan 49. Ⓑ
Điều nào sau đây KHÔNG ĐÚNG trong trường hợp sử dụng
phần lợi người tiêu dùng được hưởng nhiều hơn phần hạn ngạch nhập khẩu:
thiệt mà người sản xuất phải chịu
Ⓐ Nhà sản xuất hàng nhập khẩu trong nước chịu thiệt
Ⓒ phần thiệt người sản xuất phải chịu nhiều hơn phần lợi hại
mà người tiêu dùng được hưởng Ⓑ Ⓓ
Người tiêu dùng hàng nhập khẩu trong nước chịu thiệt
phần thiệt người tiêu dùng phải chịu nhiều hơn phần hại
lợi mà người sản xuất được hưởng
Ⓒ Giá trong nước nhập khẩu tăng
Ⓔ phần lợi người sản xuất được hưởng nhiều hơn phần Ⓓ
thiệt mà người tiêu dùng phải chịu, tổng thặng dư
Giá ở nước xuất khẩu giảm
50. Giống với thuế nhập khẩu, hạn ngạch nhập khẩu sẽ làm: giảm
Cho thông tin sau về thị trƣờng đĩa CD, hãy trả lời các câu
Ⓐ giá tăng và giảm nhập khẩu hỏi:
Ⓑ doanh thu chính phủ tăng
Ⓒ thặng dư tiêu dùng tăng
Ⓓ thặng dư sản xuất giảm
51. Nếu một quốc gia nhỏ đánh thuế nhập khẩu thì:
Ⓐ người sản xuất phải chịu thiệt hại
Ⓑ người tiêu dùng phải chịu thiệt hại
Ⓒ chính phủ bị mất doanh thu từ thuế
Ⓓ không điều nào ở trên
52. Đối với nước xuất khẩu, việc trợ cấp xuất khẩu sẽ: Ⓐ
có lợi cho người tiêu dùng và tăng phúc lợi xã hội
Ⓑ gây hại cho người tiêu dùng và tăng phúc lợi xã hội
58. Trước khi có thương mại, giá đĩa CD trên thị trường là: ...........
Ⓒ gây hại cho người tiêu dùng và làm giảm phúc lợi xã
59. Trước khi có thương mại, lượng cân bằng đĩa CD trên ........... hội thị trường là: Ⓓ
60. Sau khi có thương mại, giá đĩa CD trên thị trường là: ...........
có lợi cho người tiêu dùng và làm giảm phúc lợi xã hội
61. Sau khi có thương mại, lượng đĩa CD được xuất khẩu là: ...........
53. Việc đánh thuế nhập khẩu sẽ:
62. Trước khi có thương mại, thặng dư tiêu dùng là: ...........
Ⓐ tăng cả thặng dư sản xuất và thặng dư tiêu dùng
63. Sau khi có thương mại, thặng dư tiêu dùng là: ........... Ⓑ ấ ...........
giảm cả thặng dư sản xuất và thặng dư tiêu dùng
64. Trước khi có thương mại, thặng dư sản xu t là: ấ Ⓒ
65. Sau khi có thương mại, thặng dư sản xu t là: ...........
giảm thặng dư tiêu dùng và tăng thặng dư sản xuất 66. ổ ặng dư là: ........... Ⓓ
Trước khi có thương mại, t ng th
tăng thặng dư tiêu dùng và giảm thặng dư sản xuất
67. Sau khi có thương mại, tổng thặng dư là: ...........
54. Mỹ có lợi thế so sánh trong sản xuất máy bay nếu:
68. Sự thay đổi của tổng thặng dư do thương mại là: ...........
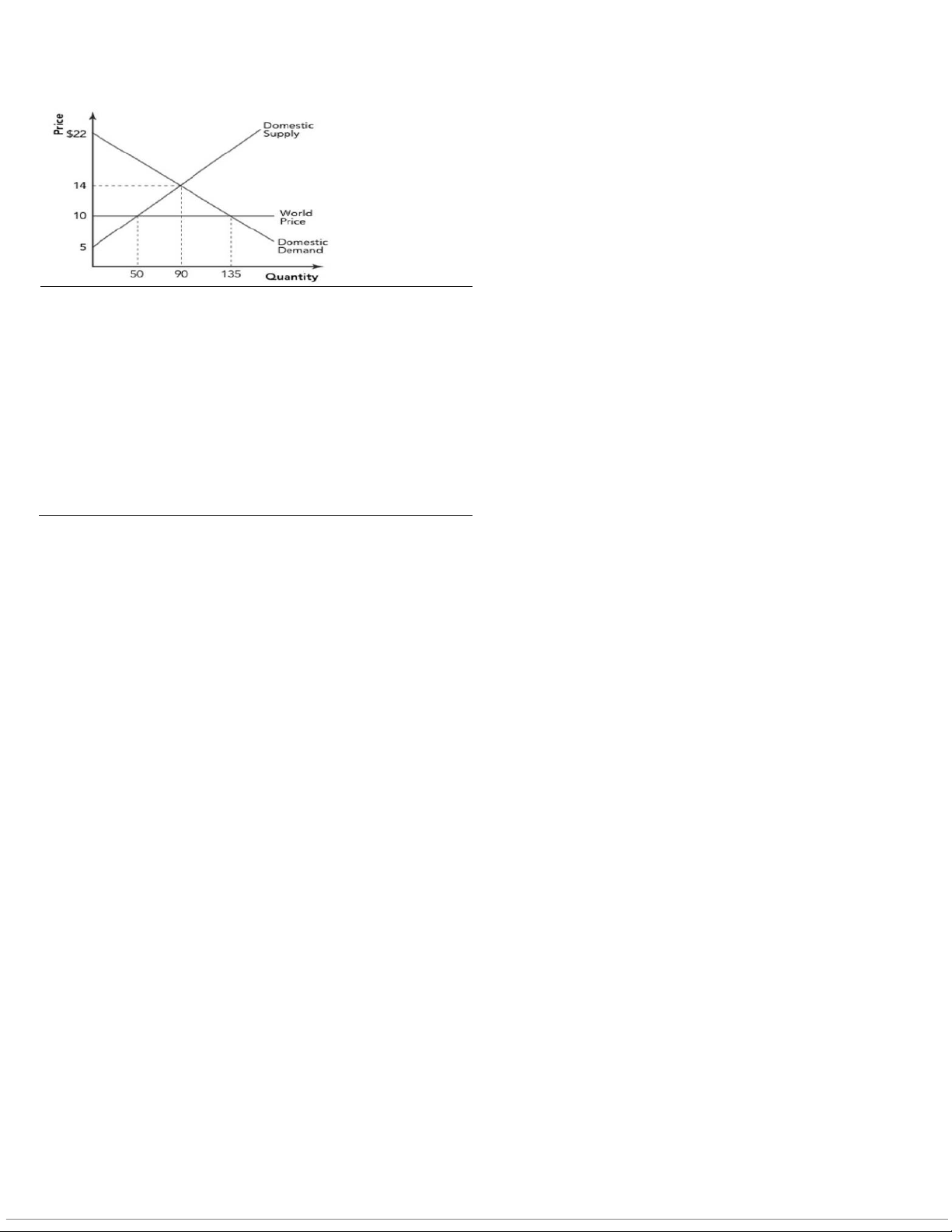
Cho thông tin sau về thị trƣờng hàng hóa A, hãy trả lời các câu hỏi:
69. Trước khi có thương mại, giá hàng hóa A trên thị trường là: .......
70. Trước khi có thương mại, lượng cân bằng hàng hóa A trên thị ....... trường là:
71. Sau khi có thương mại, giá hàng hóa A trên thị trường là: .......
72. Sau khi có thương mại, lượng hàng hóa A được nhập khẩu là: .......
73. Trước khi có thương mại, thặng dư tiêu dùng là: .......
74. Sau khi có thương mại, thặng dư tiêu dùng là: .......
75. Trước khi có thương mại, thặng dư sản xuất là: .......
76. Sau khi có thương mại, thặng dư sản xuất là: .......
77. Trước khi có thương mại, tổng thặng dư là: .......
78. Sau khi có thương mại, tổng thặng dư là: .......
79. Sự thay đổi của tổng thặng dư do thương mại là: .......