















Preview text:
CHƯƠNG 3:
MANAGING THE EXTERNAL ENVIRONMENT AND
THE ORGANIZATION‘S CULTURE
I. CASE STUDY : NOT SOLD OUT
1. Tóm tắt case study:
2. Bối cảnh của ngành công nghiệp rạp chiếu phim:
3. Thống kê về số lượng màn hình chiếu và chỗ ngồi của 4 chuỗi rạp phim
lớn nhất ở Hoa Kỳ:
4. Xác định vấn đề ảnh hưởng đến doanh thu phòng vé: II.
TRẢ LỜI DISCUSSION QUESTION VÀ CÁC CÂU HỎI
TRÊN SLIDE BÀI GIẢNG:
1. Trả lời Discussion question:
3-21. Những thành phần môi trường bên ngoài (Vĩ mô) mà các nhà quản trị phải đối mặt:
3-22. Các xu hướng bên ngoài mà các nhà quản trị cần phải giải quyết:
3-23. Những xu hướng này có thể hạn chế các quyết định của các nhà quản
lý tại chuỗi rạp chiếu phim như thế nào?
3-24. Những Stakeholder (bên liên quan) nào quan trọng nhất đối với các
chuỗi rạp phim? Những lợi ích nào các bên liên quan này có thể có?
III. KẾT LUẬN VÀ GIẢI PHÁP 1. KẾT LUẬN 1.1. Tóm lược:
1.2. Đánh giá biên độ biến động của môi trường: 2. GIẢI PHÁP CHƯƠNG 3:
MANAGING THE EXTERNAL ENVIRONMENT
AND THE ORGANIZATION‘S CULTURE
I. CASE STUDY : NOT SOLD OUT
1. Tóm tắt case study:
Ở Hoa Kỳ trong giai đoạn 2011-2013, đã có hơn 39.000 rạp chiếu
phim. Trong đó, 4 ông lớn trong ngành là Regal Entertainment Group có
hơn 7.300 phòng chiếu, AMC Entertainment với gần 5.000 rạp chiếu,
Cinemark với khoảng 4.400 rạp và Carmike Cinemas với gần 2.500 rạp.
Tuy nhiên trong giai đoạn này các nhà quản trị trong lĩnh vực rạp chiếu
phim đã phải đối mặt với nhiều thách thức, trong đó phải kể đến các yếu
tố như rạp chiếu phim tại nhà, Youtube, Ipad, Công nghệ phim Imax, và
một thách thức rất lớn là “THỜI KỲ SUY THOÁI KINH TẾ”.
Hình 1: Regal Entertainment Group
Hình 2: AMC Entertainment
Hình 3: Carmike Cinemas Hình 4: Cinemark
Qua nghiên cứu và khảo sát đã có hơn 36% người xem phàn nàn về
việc quảng cáo, ồn ào và riêng tư cá nhân ảnh hưởng đến họ. Hơn nữa
việc khủng bộ chính trị tại các nơi công cộng ở Mỹ đã phần nào làm tác
động đến doanh thu của ngành. Những nguyên nhân ấy đã dẫn đến việc
người xem phim chưa được thỏa mãn cao với chất lượng phim hiện tại
và các vấn đề tải xuống bất hợp pháp các bài hát cũng là những vấn đề
nan giải mà ngành công nghiệp rạp chiếu phim và các hãng phim lớn phải đối mặt.
Điều này đã gây ra một số ảnh hưởng nhất định. Tổng doanh thu
không ổn định qua các kì. Doanh thu năm 2011 giảm, tăng lên lại vào
2012 và chững ở 2013. Bình quân doanh thu của ngành giảm 6% qua các năm.
2. Bối cảnh của ngành công nghiệp rạp chiếu phim:
Trong các năm 2011-2013, ngành công nghiệp rạp chiếu phim phải
đối đầu với một vấn đề vô cùng nghiêm trọng mang tên “Suy thoái kinh
tế”. Sự mất cân bằng này được tích lũy qua nhiều năm, nguyên nhân
chính đến từ những hoạch định sai lầm của Mỹ và Châu Âu, khởi đầu
cho một cuộc đại khủng hoảng mới.
Về bản thân ngành công nghiệp, những hãng phim lớn đang vô cùng
chật vật trong việc giúp cho doanh nghiệp của mình thoát khỏi thời kì
đại khủng hoảng kinh tế này.
Ngoài ra các thảm họa thiên nhiên như động đất, sóng thần làm cho
những khủng hoảng tồi tệ nay lại càng tồi tệ hơn, tiềm ẩn nhiều mối
nguy cơ mới đến toàn cầu.
Hình 5 : Cảnh đổ nát sau một trận động đất ở
Hình 6: Sóng thần ở Nhật Bản. Thổ Nhĩ Kì
3. Thống kê về số lượng màn hình chiếu và chỗ ngồi của 4 chuỗi
rạp phim lớn nhất ở Hoa Kỳ:
Toàn bộ số lượng màn hình chiếu phim ở Hoa Kỳ rơi vào khoảng
hơn 39.000 .Trong tổng số rạp của bốn chuỗi rạp chiếu phim lớn nhất ở
Hoa Kỳ, có hơn 19.200 màn hình và rất nhiều chỗ ngồi trống. Chuỗi
rạp chiếu phim lớn nhất – Regal Entertainment Group (trụ sở ở
Knoxville, Tennessee) – có hơn 7.300 màn hình. AMC Entertainment
(trụ sở tại Kansas City, Missouri) có gần 5.000 màn hình. Hai đối thủ
cạnh tranh lớn khác là Cinemark (trụ sở tại Plano, Texas) với khoảng
4.400 màn hình và rạp Carmike (trụ sở tại Columbus, Georgia) với gần 2.500 màn hình.
Vì số lượng màn hình chiếu quá nhiều nên một trong những thách
thức đối với những công ty này là làm sao để bố trí cho khán giả có thể
xem phim bằng tất cả những màn hình này. Đây là một quyết định phụ
thuộc rất nhiều yếu tố khác.
4. Xác định vấn đề ảnh hưởng đến doanh thu phòng vé:
Các rạp chiếu phim đang phải đối mặt với nhiều vấn đề khác nhau.
Sau đây chỉ xét đến các yếu tố môi trường bên ngoài - là những yếu tố
lực lượng nằm bên ngoài tổ chức doanh nghiệp có thể có tác động đến
hoạt động của tổ chức đó (kết quả sản xuất, kinh doanh của doanh
Hình 7: Môi trường ngành và môi trường vĩ mô nghiệp).
Từ hình trên, ta thấy môi trường bên ngoài gồm 2 yếu tố nhỏ hơn:
Môi trường ngành và môi trường vĩ mô.
Môi trường ngành: là những lực lượng chắc chắn có ảnh hưởng đến tổ chức hay doanh nghiệp
Môi trường vĩ mô: gồm toàn bộ nền kinh tế, công nghệ, văn hóa xã
hội, chính trị luật pháp…Những yếu tố này ít nhiều có thể ảnh hưởng đến doanh nghiệp.
Một số lí do bên trong và bên ngoài ảnh hưởng đến doanh thu của các rạp phim:
Theo như các nhà phân tích, là việc người xem không chắc chắn việc
đánh đổi giữa sự tiện nghi và chất lượng của bộ phim, cái nào sẽ tốt hơn?
Ấn tượng của các khán giả về trải nghiệp xem phim. Đó có thể là
những ấn tượng không tích cực: tiếng ồn, chỗ ngồi không thoải mái,
sự bất tiện đám đông hoặc quảng cáo quá nhiều.
Làm thế nào để trở nên chủ động trong việc tránh các vấn đề về thu
âm và ghi hình bất hợp pháp đối với phim và nhạc phim. Hơn nữa số
lượng phương tiện giải trí đang có sự tăng trưởng mạnh.
Một số dịch vụ xem phim trực tuyến: Netflix
Là dịch vụ cung cấp các bộ phim có bản quyền lớn
nhất thế giới. Chi phí cho một tháng subscribe của
dịch vụ này là 180.000 – 260.000 đồng/ tháng và có
tốc độ cập nhật phim mới rất nhanh. Iflix
Mức giá subscribe vô cùng dễ chịu là 59.000 đồng/tháng để truy cập
không giới hạn vào kho phim đầy đủ cả Mỹ và Châu Á. Danet
Danet còn cho thuê một số bộ phim điện ảnh hot
hoặc phim chưa từng ra mắt tại rạp ở Việt Nam với
mức giá cho mỗi bộ phim là 12.000 – 29.000 đồng. Film+ ( Film Plus)
Chi phí sử dụng gói 12 tháng của Film+ là 450.000
đồng, tức là chỉ 37.000 đồng/tháng cũng tương đối
dễ chịu để sử dụng thường xuyên. Clip TV
Chi phí cho mỗi tháng sử dụng của
dịch vụ theo gói tháng là 50.000
đồng/tháng cho 4 thiết bị khác nhau
truy cập. Ngoài ra, ClipTV còn cung cấp dịch vụ qua TV Box có giá 1,8 triệu đồng.
II. TRẢ LỜI DISCUSSION QUESTION VÀ CÁC CÂU
HỎI TRÊN SLIDE BÀI GIẢNG:
1. Trả lời Discussion question:
3-21. Những thành phần môi trường bên ngoài (Vĩ mô) mà các nhà
quản trị phải đối mặt:
Kinh tế: việc có mức thu nhập cao hơn có thể ảnh hưởng đến giải trí
(Đây là một mặt hàng xa xỉ).
Công nghệ: sự phổ biến rộng rãi của Youtube, Netflix có thể xem
trên Ipad và TV thông minh.
Văn hóa xã hội: trước hết là độ tuổi và tôn giáo của khán giả mục
tiêu ảnh hưởng đến việc bán phim. Truyền thống và giá trị của khách
hàng có tác động trực tiếp đến nội dung và chủ đề của các bộ phim
được sản xuất và trình chiếu tới công chúng.
Chính trị - Luật pháp: một số bộ phim bị loại không được công
chiếu bởi một số lý do chính trị.
Toàn cầu: mỗi quốc gia đều có giá trị, đặc điểm nhân khẩu học, chính
trị, tôn giáo, công nghệ khác nhau. Đó là lý do vì sao thu nhập từ việc
chiếu phim ở các quốc gia sẽ khác nhau.
Mặt khác môi trường làm việc còn ảnh hưởng trực tiếp đến quá trình sản xuất phim:
Đối thủ cạnh tranh: cho dù là đối thủ cạnh tranh trực tiếp trong
chuỗi rạp chiếu phim như công ty sản xuất hay đối thủ cạnh tranh
gián tiếp như hệ thống rạp tại nhà hát, Netflix, Youtube hay các trang
Web bất hợp pháp nơi bạn có thể tải xuống các bộ phim đang được chiếu tại rạp.
Khách hàng: với mỗi độ tuổi khác nhau sẽ có những sở thích khác
nhau như có người thích xem phim kinh dị, có người thích xem phim hành động.
Nhà cung cấp: các thư ký, giám đốc và các công ty sản xuất.
3-22. Các xu hướng bên ngoài mà các nhà quản trị cần phải giải quyết:
Sở thích của khách hàng: một số khách hàng thích xem phim trên
ghế sofa của mình hơn; một số khách hàng khác có những nhu cầu
cao hơn là xem phim có âm thanh vòm, màn hình phẳng và phim có
độ phân giải cao, hình ảnh sắc nét sinh động.
Giá vé: giá vé xem phim của 1 người bằng giá 1 tháng sử dụng Netflix.
Tải về: Việc cho phép tải về những bộ phim (đặc biệt là các trang Web bất hợp pháp).
Ảnh hưởng: Những người có ảnh hưởng trên các nền tảng Facebook
hoặc Instagram giới thiệu và kể về những gì bạn nên xem và không nên xem.
3-23. Những xu hướng này có thể hạn chế các quyết định của các
nhà quản lý tại chuỗi rạp chiếu phim như thế nào?
Nó tạo ra áp lực cho những nhà quản lí phải luôn cố gắng thuyết phục
mọi người đi đến rạp chiếu phim và xem thay vì xem phim một mình ở nhà.
Thời gian đặt vé nên được giảm hoặc sử dụng đặt vé trưc tuyến.
Giá vé cũng là một vấn đề lớn vì nếu quá cao sẽ khiến mọi người xem phim khó tiếp cận hơn.
Giờ đây việc có thể tải phim xuống và xem. Đòi hỏi cần phát triển
một số thỏa thuận cấp phép để bảo vệ ngành.
3-24. Những Stakeholder (bên liên quan) nào quan trọng nhất đối
với các chuỗi rạp phim? Những lợi ích nào các bên liên quan này có thể có?
Nhân viên: họ đang tìm kiếm một mức lương cao hơn.
Khách hàng: họ muốn thưởng thức phim ảnh, giải trí với giá vé phải chăng, hợp lí.
Đối thủ cạnh tranh: theo dõi chiến lược của đối thủ, đưa ra những
đối sách để không bị mất thị phần.
III. KẾT LUẬN VÀ GIẢI PHÁP 1. KẾT LUẬN 1.1. Tóm lược:
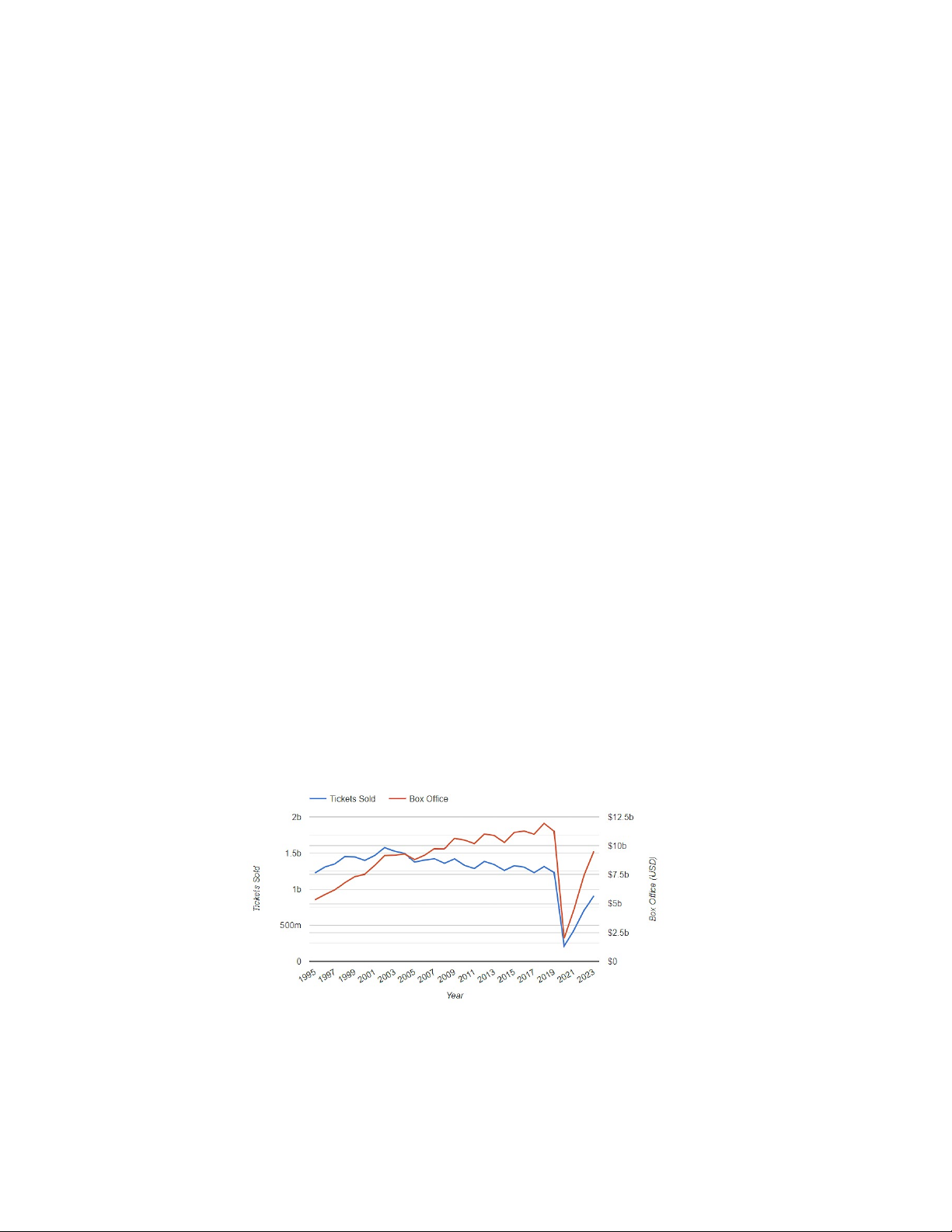
Từ vấn đề được nêu trên, việc doanh thu không có chuyển biến tích
cực hay nói cách khác là hiện tượng “NOT SOLD OUT” vé bán của các
rạp chiếu phim xảy ra trong thời kì suy thoái. Vấn đề này tương tự với
Đại dịch Covid từ năm 2019-2021. Đại dịch Covid quá mạnh mẽ dẫn tới
doanh thu của các rạp phim thời điểm này bị giảm sút, không có chuyển biến tích cực.
Có thể nói, các yếu tố môi trường bên ngoài có ảnh hưởng rất lớn
đến kết quả kinh doanh và mục tiêu chiến lược của các doanh nghiệp. Vì
thế, ngành công nghiệp này đã cố gắng tăng doanh thu với các bộ phim
cao cấp, giá vé đắt hơn và đi kèm là các tiện nghi cao cấp hơn.
Kết quả cho thấy ngành kinh doanh rạp chiếu phim sau năm 2013 đã
có những sự thay đổi tích cực.
Hình 8: Lượt vé bán ra từ năm 1995-2013.
1.2. Đánh giá biên độ biến động của môi trường:
Như đã nói, các nhà quản trị đã lựa chọn phương pháp giúp cải thiện
doanh thu bằng những bộ phim chất lượng cao hơn, giá vé cao và tiện nghi cao cấp.
Do đó môi trường ở đây không có sự thay đổi, quy mô toàn quốc,
với mức độ biến động không nhiều, vì thế môi trường vẫn trong trạng
thái ổn định. Tuy nhiên, phương hướng cải thiện chất lượng nhằm nâng
cao nhu cầu của người xem phải đòi hỏi rất nhiều yếu tố khác nữa. Các
yếu tố môi trường bên ngoài tuy ổn định nhưng lại không tương đồng
Hình 9: Bảng minh họa môi trường không chắc chắn nhau.
Từ đó chắc chắn rằng các doanh nghiệp lĩnh vực rạp chiếu phim đang nằm trong Cell 3 a) Yếu tố vĩ mô:
Kinh tế: ngành rạp chiếu phim đang phải đương đầu với tình trạng suy
thoái kinh tế. Điều này có tác động ít nhiều đến sự lựa chọn của khách
hàng, buộc doanh nghiệp phải có những thay đổi kịp thời nhanh chóng
để thích nghi được với những biến động khôn lường.
Công nghệ: cùng với sự phát triển của công nghệ, giờ đây mọi người có
thể trải nghiệm được những ứng dụng khoa học công nghệ mới từ đó
tăng doanh thu cho ngành chiếu phim này.
Văn hóa, xã hội: người xem phàn nàn về tiếng ồn, đông đúc, quảng cáo
quá nhiều khiến người xem chưa thực sự được thỏa mãn so với chất lượng phim hiện tại. b) Yếu tố vi mô:
Đối thủ cạnh tranh: sự xuất hiện của các rạp chiếu phim tại gia hay các
chương trình xem trực tuyến có tác động đe dọa trực tiếp đến sự lựa
chọn của khách hàng, khiến cho doanh thu của các rạp chiếu phim giảm.
Nguyên nhân là do tâm lí của khách hàng, sự chênh lệch giá cả giữa việc
mua vé xem phim và xem phim tại gia. 2. GIẢI PHÁP
Thông qua các nội dung phân tích về case study “Not Sold Out” , ta có
thể đề xuất các giải pháp giải quyết tình trạng doanh thu giảm trong thời
kỳ suy thoái kinh tế, cụ thể là dựa vào phương pháp 4P:
1/ Product – Sản phẩm:
Chú trọng đầu tư vào cơ sở hạ tầng, phát triển điện ảnh nhằm mở
rộng quy mô thị trường, mang điện ảnh chất lượng cao quảng bá đến mọi người.
Áp dụng các công nghệ tiên tiến, phòng chiếu đặc biệt chuyển đổi
phòng chiếu phim truyền thống thành tổ hợp văn hóa “Cultureplex”-
nơi khán giả có thể trải nghiệm phim điện ảnh đa dạng thông qua các
công nghệ tiên tiến như ScreenX, Imax, Starium, 4DX, Dolby Atmos,… Hình 10: Screen X Hình 11: IMAX 2/ Price – Giá cả: Hình 12: STARIUM Hình 13: 4DX Hình 14: Dolby Atmos
Với sản phẩm chính là vé xem phim sử dụng chiến lược bám sát giá
thị trường, thêm vào đó là những ưu đãi đặc biệt dành cho các nhóm tuổi
khác nhau như giảm giá cho học sinh sinh viên và người lớn tuổi,…
Thông thường doanh thu của rạp phim đến từ ba nguồn chính gồm:
bán vé, bán bắp nước và chạy quảng cáo. Nhưng nếu chỉ trông chờ vào
việc bán vé thì không thể có lãi vì vậy phải có nguồn thu bổ sung. Việc
phát triển dịch vụ ăn úông trong rạp phim cũng là một nguồn thu quan
trọng. Nhưng muốn làm được điều đó phải khảo sát thu nhập trung bình
của khách hàng, điều chỉnh loại hàng và giá cả hợp lý. Bên cạnh đó phải
kèm theo những ưu đãi khách hàng như giảm giá vào những dịp lễ hoặc
tạo ra những combo phù hợp với khả năng của khách hàng.
3/ Place – Phân phối:
Mở rộng hệ thống rạp chiếu phim trên toàn quốc, đầu tư chiến lược
vào công nghệ chiếu phim là chiến lược cạnh tranh để thu hút khách hàng.
Giảm số phòng để tập trung đầu tư vào chất lượng.
Mở rộng, liên kết thêm với các loại hình từ hệ thống các tòa nhà, siêu
thị, trung tâm thương mại, khách sạn để khách hàng dễ dàng tiếp cận.
4/ Promotion – Xúc tiến thương mại:
Tích cực quảng bá rạp phim thông qua các phương tiện truyền
thông, các trang mạng xã hội như Facebook, Twitter, … liên tục update
các lịch chiếu, thông tin về những bộ phim hot sắp được ra mắt.
Tổ chức các mini game, event thu hút khán giả giúp tăng sự tương
tác với fan và gợi ý đến rạp xem những bộ phim hấp dẫn đang được chiếu.
Tích cực phối hợp các đơn vị tổ chức các buổi họp báo ra mắt phim
để lôi kéo cánh tạp chí. Treo các poster có hình ảnh sinh động ở những
nơi công cộng và điểm chiếu phim.
Document Outline
- CHƯƠNG 3:
- MANAGING THE EXTERNAL ENVIRONMENT AND THE ORGANIZATION‘S CULTURE
- I. CASE STUDY : NOT SOLD OUT
- 1. Tóm tắt case study:
- 2. Bối cảnh của ngành công nghiệp rạp chiếu phim:
- 3. Thống kê về số lượng màn hình chiếu và chỗ ngồi của 4 chuỗi rạp phim lớn nhất ở Hoa Kỳ:
- 4. Xác định vấn đề ảnh hưởng đến doanh thu phòng vé:
- II. TRẢ LỜI DISCUSSION QUESTION VÀ CÁC CÂU HỎI TRÊN SLIDE BÀI GIẢNG:
- 1. Trả lời Discussion question:
- 3-21. Những thành phần môi trường bên ngoài (Vĩ mô) mà các nhà quản trị phải đối mặt:
- 3-22. Các xu hướng bên ngoài mà các nhà quản trị cần phải giải quyết:
- 3-23. Những xu hướng này có thể hạn chế các quyết định của các nhà quản lý tại chuỗi rạp chiếu phim như thế nào?
- 3-24. Những Stakeholder (bên liên quan) nào quan trọng nhất đối với các chuỗi rạp phim? Những lợi ích nào các bên liên quan này có thể có?
- 1. Trả lời Discussion question:
- III. KẾT LUẬN VÀ GIẢI PHÁP
- 1. KẾT LUẬN
- 1.1. Tóm lược:
- 1.2. Đánh giá biên độ biến động của môi trường:
- 2. GIẢI PHÁP
- 1. KẾT LUẬN
