












Preview text:
Đại học Kinh tế Quốc dân
Bộ môn Kinh tế Vĩ mô
Chương 4: Ki Sảnh tế Vĩ n xuấ m
t ôv 1à tăng trưởng
(Buổi 4 & 5) Bạch Ngọc Thắng thangbn@neu.edu.vn Hà Nội, 2021 1
Các chủ điểm bài giảng
•Tăng trưởng và thu nhập bình quân đầu người
•Năng suất và các yếu tố quyết định năng suất
–Các nguồn lực sản xuất và tiến bộ công nghệ
•Tăng trưởng kinh tế và chính sách công
–Tiết kiệm, đầu tư, giáo dục, thể chế, thương mại và R&D 10/14/2021 2 2 1 10/14/2021
Tăng trưởng kinh tế (GDP, %) 14.0 12.0 10.0 6.8 6.9 7.1 7.3 7.8 7.5 8.0 7.0 7.1 6.8 7.1 7.0 6.4 6.2 6.7 6.2 6.0 5.7 5.4 6.0 5.2 5.4 4.0
2000 2001 2002 2003 2004 2005 2006 2007 2008 2009 2010 2011 2012 2013 2014 2015 2016 2017 2018 2019
Tăng trưởng GDP, Việt Nam
Tăng trưởng GDP, Trung Quốc 14/10/2021 3 3
GDP bình quân đầu người (US$ hiện hành) 12,000 10,000 8,000 6,000 4,000 2,000 -
China Malaysia Philippines Thailand Vietnam 14/10/2021 4 4 2 10/14/2021
GDP bình quân đầu người (PPP/lao động) 60,000 50,000 40,000 30,000 20,000 10,000 -
2001 2002 2003 2004 2005 2006 2007 2008 2009 2010 2011 2012 2013 2014 2015 2016 2017 2018 2019
China Malaysia Philippines Thailand Vietnam 10/14/2021 5 5 Ba câu hỏi lớn?
1. Tại sao có quốc gia và người dân rất giàu có,
trong khi lại có quốc gia rất nghèo?
2. Các quốc gia nghèo có thể “đuổi kịp” các
quốc gia giàu có hay không?
3. Điều gì khiến một quốc gia có thể duy trì tăng
trưởng GDP bền vững trong dài hạn? 10/14/2021 6 6 3 10/14/2021 Qui tắc 70
•Khoảng thời gian để có thu nhập tăng gấp đôi:
–Tốc độ tăng trưởng thu nhập 2%/năm?
–Tốc độ tăng trưởng thu nhập 7%/năm?
–Tốc độ tăng trưởng thu nhập 10%/năm? 10/14/2021 7 7
Năng suất và tăng trưởng kinh tế
•Năng suất được định nghĩa là tỷ lệ sản
phẩm/yếu tố đầu vào trong quá trình sản xuất:
–Năng suất lao động là sản lượng hàng hóa và dịch
vụ sản xuất ra trong một giờ công lao động.
–Năng suất của yếu tố đầu vào đất đai, vốn, ….
•Các yếu tố đầu vào chủ chốt:
–Vốn vật chất, vốn nhân lực, tài nguyên thiên nhiên, tri thức công nghệ.
–Các yếu tố khác: ý tưởng, tinh thần doanh nhân, … 10/14/2021 8 8 4 10/14/2021 Vốn vật chất
•Vốn vật chất (hay còn gọi là tư bản) là lượng
trang thiết bị và cơsở vật chất được dùng để sản
xuất ra hàng hóa và dịch vụ.
–Là yếu tố/nhân tố đầu vào quan trọng của sản xuất,
đồng thời được tạo ra, gia tăng giá trị bởi sản xuất.
–Tích lũy vốn vật chất/tư bản?
•Các ví dụ về vốn vật chất:
–Tư liệu, công cụ sản xuất
–Máy móc, thiết bị, nhà xưởng
–Cơsở hạ tầng: Kho bãi, bến cảng, giao thông, logistics 10/14/2021 9 9 Vốn nhân lực
•Vốn nhân lực là những kiến thức và kỹ năng
mà người lao động tiếp thu được thông qua
giáo dục, đào tạo và tích lũy kinh nghiệm.
•Các khía cạnh khác của vốn nhân lực:
–Chất lượng vốn nhân lực.
–Tinh thần, thái độ, trách nhiệm trong công việc của người lao động.
–Sức khỏe của người lao động.
–Tuổi thọ, già hóa dân số 10/14/2021 10 10 5 10/14/2021 Tài nguyên thiên nhiên
•Tài nguyên thiên nhiên là môi trường tự nhiên
đồng thời là nguồn cung cấp nguyên-nhiên vật
liệu cho quá trình sản xuất.
•Tài nguyên tái tạo và tài nguyên không tái tạo:
–Dầu mỏ, quặng, than, khoáng chất?
–Không khí, sông ngòi, biển?
–Thủy triều, điện gió, nhiệt năng mặt trời? 10/14/2021 11 11 Tri thức công nghệ
•Tri thức công nghệ là những hiểu biết về cách
thức tốt nhất để sản xuất ra hàng hóa và dịch vụ.
•Tri thức công nghệ “ẩn” và “hiện”:
–Sáng tạo, chuyển giao, và học hỏi tri thức công nghệ mới.
–Hình thức học hỏi của người thợ thủ công? 10/14/2021 12 12 6 10/14/2021 Hàm sản xuất •Hàm sản suất: Y(GDP) = A.F(L, K, H, N) •Trong đó
–A: tri thức công nghệ; L: lực lượng lao động; H:
vốn con người; K: vốn vật chất; N: tài nguyên
thiên nhiên; F: dạng hàm sản xuất – cách thức
chuyển hóa các yếu tố đầu vào thành đầu ra.
–Tính hiệu quả theo qui mô?
–Nơi“nương tựa” cho tri thức công nghệ? 10/14/2021 13 13
Thảo luận: Tầm quan trọng tương đối
của các yếu tố đầu vào chủ chốt?
•Đánh giá theo mức độ khan hiếm.
–Tài nguyên thiên nhiên và vốn nhân lực?
•Theo tính bền vững và khả năng tái tạo/tích lũy.
–Vốn vật chất và tri thức công nghệ?
•Theo mức độ lan tỏa, sở hữu.
–Tài nguyên thiên nhiên và tri thức công nghệ? 10/14/2021 14 14 7 10/14/2021
Chính sách thúc đẩy tăng trưởng kinh tế
•Tiết kiệm và đầu tư.
–Lợi xuất giảm dần và hiệu ứng bắt kịp.
–Đầu tư trực tiếp nước ngoài (FDI).
•Giáo dục và đào tạo. •Thương mại quốc tế. •Chính sách dân số
•Nghiên cứu và triển khai (R&D). •Thể chế kinh tế:
–Quyền sở hữu tài sản
–Quan hệ giữa Nhà nước và thị trường. 10/14/2021 15 15 Tiết kiệm và đầu tư
•Sự đánh đổi giữa tiêu dùng hiện tại và đầu tư(tiêu dùng tương lai).
•Qui luật lợi suất giảm dần đối với yếu tố vốn vật chất.
–Đầu tưvà tăng trưởng trong dài hạn?
–Cơ hội cho các quốc gia đi sau, có GDP bình quân đầu người thấp?
•Vốn đầu trưc trực tiếp nước ngoài (FDI):
–Phân biệt với đầu tưgián tiếp (FII).
–Lợi ích và hiệu ứng lan tỏa. 10/14/2021 16 16 8 10/14/2021 Giáo dục và đào tạo
•Chính sách giáo dục và đào tạo có mối quan hệ trực
tiếp với chất lượng vốn nhân lực.
•Mục tiêu của giáo dục và đào tạo: –Tri thức
–Thái độ, kiến thức, kỹ năng (ASK)
•Giáo dục phổ thông, đào tạo nghề, giáo dục đại học và sau đại học.
–Tại sao lại miễn học phí cho học sinh ở bậc tiểu học, THCS?
–Giáo dục đại học và thịnh vượng kinh tế?
•Giáo dục và tính sáng tạo, thích ứng của người học? 10/14/2021 17 17 Thương mại quốc tế
•Tự do hóa thương mại hay “bế quan tỏa cảng”?
–Chiến tranh thương mại Mỹ - Trung.
•Chính sách thương mại:
–Thuế quan và phi thế quan (các rào cản kỹ thuật).
–Tác động của thương mại: qui mô thị trường, nhu
cầu, cạnh tranh, lan tỏa tri thức công nghệ. 10/14/2021 18 18 9 10/14/2021 Chính sách dân số
•1, 2, hay 3 con trong một gia đình? •Già hóa dân số. •Tuổi nghỉ hưu. •Quĩ hưu trí. 10/14/2021 19 19
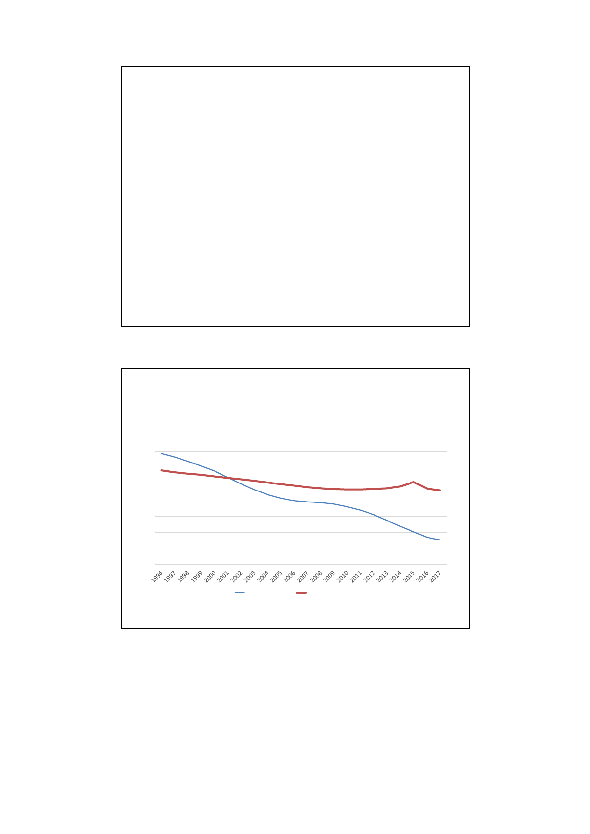
Tham gia lực lượng lao động của lao
động trẻ (15-24 tuổi, %) 80 75
69 69 68 68 67 67 66 66 66 65 65 64 64 63 63 63 63 64 64 66 70 64 63 65 60 55 50 45 40 LFPR (%), China LFPR (%), Vietnam 14/10/2021 20 20 10 10/14/2021
Nghiên cứu và triển khai (R&D)
•Đầu tưcho khoa học và công nghệ, nguồn nhân lực.
–Vai trò của các viện nghiên cứu và trường đại học.
–Sáng tạo của người nông dân?
•Thương mại hóa kết quả nghiên cứu và phát triển:
–Bản quyền, quyền sở hữu trí tuệ. –Quyền tác giả. 10/14/2021 21 21 Thể chế kinh tế
•Thể chế và thể chế quản lý và điều hành:
–Niềm tin, giá trị chung, văn hóa và tập quán
–Quyền sở hữu tài sản. –Thể chế hợp đồng
•Quan hệ giữa nhà nước và thị trường (tự do):
–Môi trường đầu tưvà kinh doanh.
–Can thiệp của Nhà nước và “thất bại” của thị trường. 10/14/2021 22 22 11 10/14/2021 Bài tập vận dụng •Câu hỏi thảo luận:
–Câu 2, 4, 6 (trang 58-59, Chương 4B) 10/14/2021 23 23 Bài giảng tiếp theo (Chương 5, Buổi 5 & 6)
•Chủ điểm: Tiết kiệm, đầu tưvà hệ thống tài chính •Tài liệu tham khảo: ✓Chương 16A, Chương 5B. 10/14/2021 24 24 12