Report tài liệu
Chia sẻ tài liệu
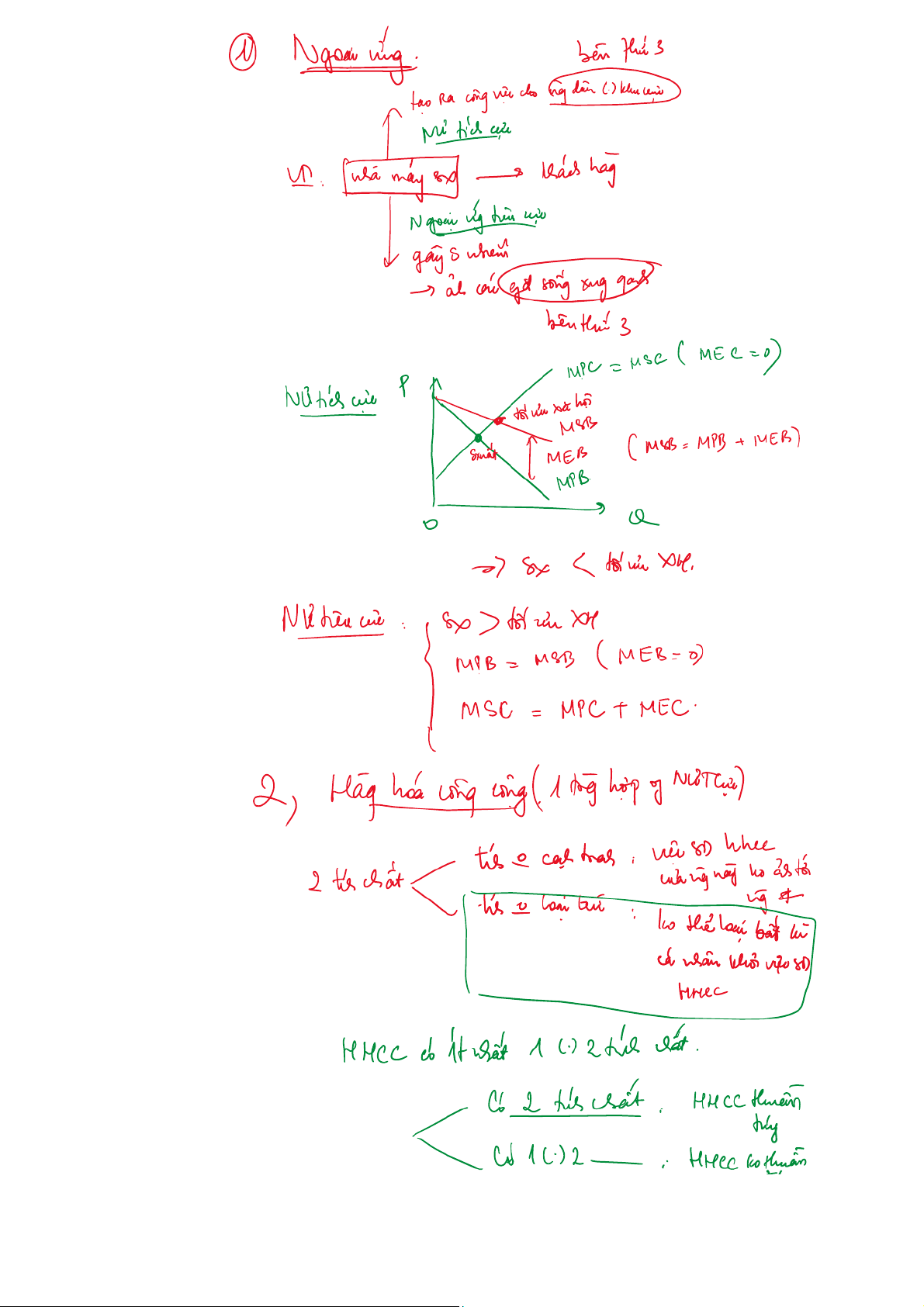
Chương 7 Thương mại quốc tế môn Kinh tế vi mô | Trường Đại học Kinh Tế Quốc Dân
Chương 7 Thương mại quốc tế môn Kinh tế vi mô | Trường Đại họcKinh Tế Quốc Dân. Tài liệu giúp bạn tham khảo, ôn tập và đạt kết quả cao. Mời đọc đón xem!
Môn: Kinh tế vi mô ( NEU ) 767 tài liệu
Trường: Trường Đại học Kinh Tế Quốc Dân 7.8 K tài liệu
Tác giả:
Tài liệu liên quan:
-
Chương 6: Tác Động Chính Sách Đến Thị Trường - Đúng/Sai và Lựa Chọn môn Kinh tế vi mô | Trường Đại học Kinh tế Quốc dân
3 2 -
Chương 7: Thặng Dư Tiêu Dùng, Thặng Dư Sản Xuất và Hiệu Quả Thị Trường môn Kinh tế vi mô | Trường Đại học Kinh tế Quốc dân
3 2 -
Chương 21: Lý Thuyết Về Sự Lựa Chọn Người Tiêu Dùng - Đúng/Sai môn Kinh tế vi mô | Trường Đại học Kinh tế Quốc dân
3 2 -
Chương 1 - Tài liệu ôn tập kinh tế học vĩ mô (Kinh tế học cơ bản)
3 2 -
Hướng Dẫn Giải Bài Tập Kinh Tế Vi Mô - CKT203
3 2




