






Preview text:
w22/3/2021 Bài kiểm tra số 3
Trang của tôi / Khoá học / Học kỳ II năm học 2020-2021 (Semester 2 - Academic year 2020-2021)
/ Đại Học Chính Qui (Bacherlor program (Ful -time study)) / Khoa Quản lý Công nghiệp (Faculty of Industrial Management) / Tài Chính / Kinh tế học
đại cương (IM1013)_Đoàn Phương Nhi (DH_HK202) / Chương 2. Cung, cầu, cân bằng thị trường / Bài kiểm tra số 3 Câu hỏi 1 Chưa được trả lời Chấm điểm của 1,00
Nếu giá đĩa DVD tăng từ $15 lên $20 làm cho doanh số bán đầu đĩa DVD giảm từ 100 xuống 50 chiếc, thì độ co giãn chéo của cầu giữa những hàng hóa này là: a. -7/3 b. -10 c. -1/10 d. -3/7 Clear my choice
e-learning.hcmut.edu.vn/mod/quiz/attempt.php?attempt=3024352&cmid=550881 1/6
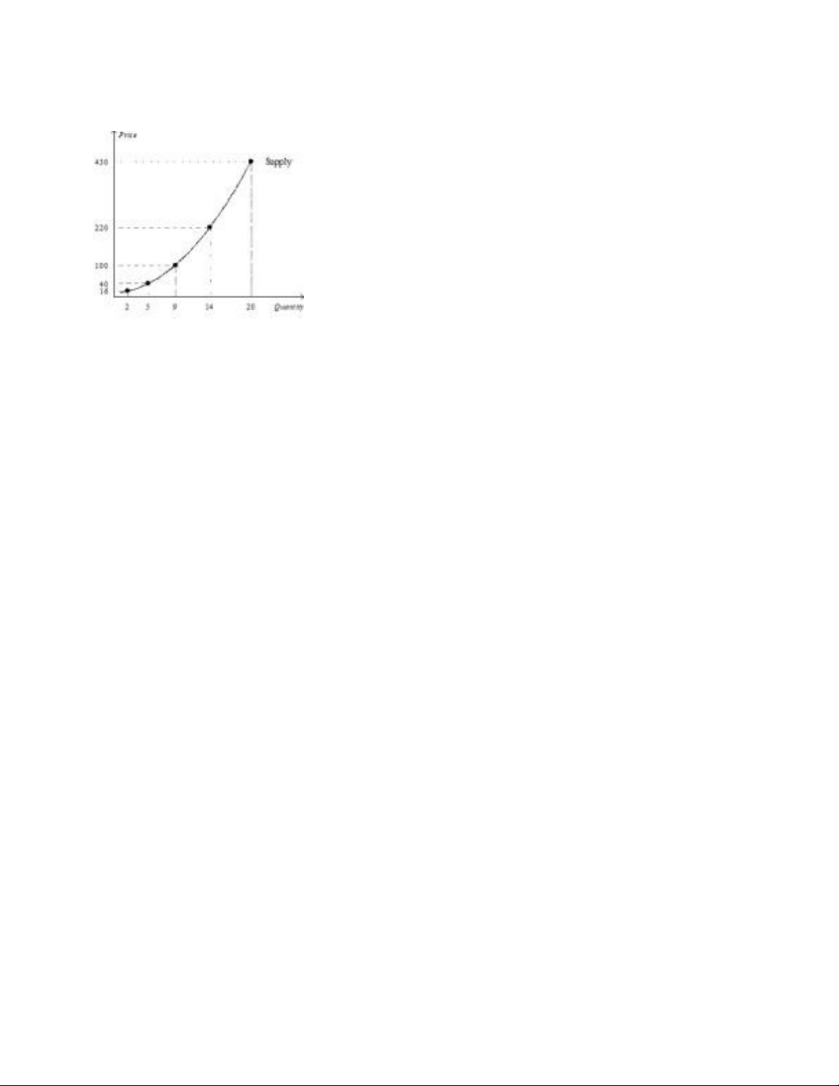
22/3/2021 Bài kiểm tra số 3 Câu hỏi 2 Chưa được trả lời Chấm điểm của 1,00 a. Từ $220 đến $430 b. Từ $16 đến $40 c. Từ $40 đến $100 d. Từ $100 đến $220 Clear my choice
Việc xem xét kỹ lưỡng các đường cầu DD và D D cho thấy rằng: 0 0
a. DD tương đối co giãn hơn ở mức giá P2
b. D D có thể phản ánh một nhu cầu sinh học thiết yếu 0 0
c. D D tương đối co giãn hơn ở mức giá P1 0 0
d. DD có thể đại diện cho nhu cầu đối với một hàng hóa có nhiều sản phẩm thay
thế gần gũi Clear my choice Câu hỏi 3 Chưa được trả lời Chấm điểm của 1,00
Đường cung trong hình đã cho co giãn nhất trong khoảng nào? Thời gian còn lại 0:01:55
e-learning.hcmut.edu.vn/mod/quiz/attempt.php?attempt=3024352&cmid=550881 2/6
22/3/2021 Bài kiểm tra số 3 Câu hỏi 4 Chưa được trả lời Chấm điểm của 1,00
Độ co giãn của cầu theo thu nhập là thước đo của:
a. khả năng đáp ứng tương đối của lượng cầu đối với những thay đổi của thu nhập
b. độ dốc của đường thu nhập-tiêu dùng
c. sự thay đổi tuyệt đối của cầu gây ra bởi sự thay đổi tuyệt đối của thu nhập
d. độ dốc âm của đường cầu thị trường Clear my choice Câu hỏi 5 Chưa được trả lời Chấm điểm của 1,00
Đối với một hàng hóa thiết yếu,
a. lượng cầu phản ứng đáng kể với sự thay đổi của giá cả
b. cầu có xu hướng không co giãn
c. luật cầu không áp dụng cho hàng hóa này
d. Tất cả những câu trên đều đúng Clear my choice Câu hỏi 6 Chưa được trả lời Chấm điểm của 1,00
Hầu hết sinh viên đại học phản đối mạnh mẽ việc tăng học phí. Nếu chỉ có một sinh viên trong năm mươi chuyển đến trường khác sau khi học phí
tăng 10% tại trường của bạn, giáo sư kinh tế học của bạn có thể sẽ kết luận rằng hầu hết các nhu cầu của sinh viên đối với giáo dục tại trường đại học của bạn là:
a. hoàn toàn co giãn theo giá
b. tương đối không co giãn theo giá
c. tương đối co giãn theo giá
d. co giãn đơn vị theo giá Clear my choice
e-learning.hcmut.edu.vn/mod/quiz/attempt.php?attempt=3024352&cmid=550881 3/6
22/3/2021 Bài kiểm tra số 3 Câu hỏi 7 Chưa được trả lời Chấm điểm của 1,00
Dựa vào hình trên, sử dụng phương pháp điểm giữa, độ co giãn theo giá của cung trong khoảng $16 đến $40 là bao nhiêu? a. 1.0 b. 0.125 c. 0.86 d. 2.5 Clear my choice Câu hỏi 8 Chưa được trả lời Chấm điểm của 1,00
Nếu thu nhập trung bình tăng từ $18.000 mỗi năm lên $22.000 mỗi năm và mức tiêu thụ xăng hàng năm cho mỗi hộ gia đình tăng từ 1000 lên 1500
gal on thì độ co giãn theo thu nhập của cầu đối với xăng là: a. 0.5 b. 2.0 c. 1.0 d. trong khoảng thấp hơn Clear my choice
e-learning.hcmut.edu.vn/mod/quiz/attempt.php?attempt=3024352&cmid=550881 4/6
22/3/2021 Bài kiểm tra số 3 Câu hỏi 9 Chưa được trả lời Chấm điểm của 1,00
Khi chúng ta di chuyển xuống và sang phải dọc theo một đường cầu tuyến tính và dốc xuống thì
a. cả độ dốc và độ co giãn đều thay đổi
b. độ dốc thay đổi nhưng độ co giãn không đổi
c. độ dốc không đổi nhưng độ co giãn thay đổi
d. độ dốc và độ co giãn đều không đổi Clear my choice Câu hỏi 10 Chưa được trả lời Chấm điểm của 1,00
Phát biểu nào sau đây là đúng khi đường cung thị trường thẳng đứng?
a. Cầu thị trường tăng lên sẽ làm tăng lượng cân bằng b. Cung hoàn toàn co giãn
c. Lượng cung của thị trường không thay đổi khi giá thay đổi
d. Cầu thị trường tăng sẽ không làm tăng giá cân bằng Clear my choice Câu hỏi 11 Chưa được trả lời Chấm điểm của 1,00
Các nghiên cứu chỉ ra rằng độ co giãn theo giá của cầu đối với thuốc lá là khoảng 0,4. Một chính sách của chính phủ nhằm giảm hút thuốc đã thay
đổi giá một gói thuốc lá từ $2 lên $6. Theo phương pháp điểm giữa, chính sách của chính phủ sẽ làm giảm lượng thuốc hút a. 30% b. 40% c. 80% d. 250% Clear my choice
e-learning.hcmut.edu.vn/mod/quiz/attempt.php?attempt=3024352&cmid=550881 5/6
22/3/2021 Bài kiểm tra số 3 Câu hỏi 12 Chưa được trả lời Chấm điểm của 1,00
Với mức giá $2 một lon, số lượng nước sốt táo cung cấp hàng ngày là 1000 thùng, ở mức $4 số lượng cung cấp là 3000 thùng. Độ co giãn của cung theo giá là: a. 3/2 b. 2/3 c. 1/4 d. 1/3 Clear my choice ◄ Bài kiểm tra số 2 Chuyển tới... Bài giảng Chương 3 ►
Copyright 2007-2020 BKĐT-Đại Học Bách Khoa Tp.HCM. Al Rights Reserved.
Địa chỉ: Nhà A1- 268 Lý Thường Kiệt, Phường 14, Quận 10, Tp.HCM. Email: elearning@hcmut.edu.vn
Phát triển dựa trên hệ thống Moodle
e-learning.hcmut.edu.vn/mod/quiz/attempt.php?attempt=3024352&cmid=550881 6/6
Document Outline
- Clear my choice
- Clear my choice
- Clear my choice
- Clear my choice
- Clear my choice
- Clear my choice
- Clear my choice
- Clear my choice
- Clear my choice
- Clear my choice