

















Preview text:
CÁC KIẾN THỨC CẦN NẮM VỮNG CỦA HÓA LÝ HỆ PHÂN TÁN
I. Định nghĩa: Hệ phân tán (hệ keo) là một hệ trong đó có một chất được gọi là
pha phân tán ( ), được phân bố thành các hạt/giọt rất nhỏ trong một pha khác, PT
được gọi là môi trường phân tán (MTPT) hay pha liên tục.
Kích thước của pha phân tán ( ) trong khoảng 1nm PT
- 1m (10-9m – 10-6m) do đó
bề mặt phân chia pha rất lớn.
Ví dụ: 1 khối kim loại hình lập phương trong không khí, mỗi cạnh 1dm, có thể tích 1dm3
(0,001m3) và có diện tích phân chia pha (S1,2) bằng 6 dm2 (0,06m2).
Nếu khối kim loại này được phân tán thành các hạt hình lập phương mỗi cạnh là 10 nm
(10-8m) thì mỗi khối lập phương nhỏ có thể tích là 10-83 = 10-24 m3, có diện tích phân
chia pha (S1,2) bằng 610-82 = 610-16m2.
Tổng số hạt hạt hình lập phương mỗi cạnh là 10 nm sẽ là 0,001/10-24 = 1021 hạt. như vậy,
tổng bề mặt phân chia pha sẽ là: 1021610-16m2 = 6105 m2
Như vậy, bề mặt phân chia pha tăng lên 6105 m2/0,06m2 = 107 lần (100.000 lần) với
cùng một lượng vật chất sử dụng.
Hệ phân tán (hệ keo) là một hệ dị thể (2 pha riêng biệt) nhưng có bề mặt phân chia
pha rất lớn, do đó năng lượng bề mặt (Ebm) lớn hơn nhiều lần so với các hệ đồng thể
hay dị thể thông thường khác, do đó Hệ phân tán là một hệ không bền (hoặc giả bền)
𝐸𝑏𝑚 = 𝜎 × 𝑆1,2
Trong đó: E : năng lượng bề mặt, : sức căng bề mặt (mặt ngoài), S : Diện tích bm 1,2 bề mặt phân chia pha.
II. Phân loại: 3 cách phân loại
2.1. Phân loại theo kích thước của pha phân tán:
- Hệ phân tán phân tử: kích thước pha phân tán (hạt keo) < 1nm (~Å), đây
là các dung dịch thực, hệ đồng thể và không phải là đối tượng nghiên cứu của hệ phân tán.
- Hệ phân tán keo: 1nm < kích thước pha phân tán (hạt keo) < 500 nm (0,5m)
- Hệ phân tán thô: kích thước pha phân tán (hạt keo) > 500 nm
2.2. Phân loại theo bản chất vật lý của pha phân tán và môi trường phân tán: 8
hệ phân tán (Xem thêm trong bài giảng)
2.3. Phân loại theo tương tác giữa pha phân tán và môi trường phân tán:
- Hệ phân tán (keo) ưa lưu (Lyophilic) / Nếu môi trường phân tán là nước thì
gọi là keo ưa nước (Hydrophilic)
Tương tác mạnh giữa pha phân tán và môi trường phân tán do đó
pha phân tán được bảo vệ bởi một lớp các phân tử môi trường phân tán (dung môi).
Hệ keo bền và điều chế dễ dàng.
Phân lớn hệ keo hữu cơ trong môi trường nước là các hệ keo ưa lưu.
Thành phần cơ bản của hệ keo ưa lưu: Pha phân tán và Môi trường phân tán.
- Hệ phân tán (keo) ghét lưu (Lyophobic) / Nếu môi trường phân tán là nước
thì gọi là keo kỵ nước (Hydrophobic)
Tương tác yếu giữa pha phân tán và môi trường phân tán.
Hệ keo không bền và điều chế khó khăn.
Phân lớn hệ keo vô cơ trong môi trường nước là các hệ keo ghét lưu (kỵ nước).
Thành phần cơ bản của hệ keo ghét lưu: Pha phân tán, Môi
trường phân tán và Chất làm bền (hay chất ổn định hệ keo)
- Hệ keo liên hợp (Amphiphilic): Hệ các chất hoạt động bề mặt (Surfactant)
III. Các phương pháp điều chế hệ phân tán (hệ keo), tinh chế (làm sạch) hệ phân tán (hệ keo)
3.1. Keo ưa lưu: điều chế dễ dàng
3.2. Keo ghét lưu: phương pháp phân tán và phương pháp ngưng tụ
A. Phương pháp phân tán: Sử dụng vật liệu của pha phân tán là các hạt có kính
thước lớn sau đó dung các lực vật lý (cơ học, điện, bức xạ, pepti hóa) để phá vỡ các
hạt có kính thước lớn trở thành các hạt có kích thước keo sau đó phân tán vào môi
trường phân tán đã có sẵn chất ổn định.
B. Phương pháp ngưng tụ: Tập hợp các hạt có kích thước nhỏ hơn hạt keo bằng
các phản ứng hóa học hay bằng việc thay đổi bản chất của môi trường phân tán (dung môi)
Xem kỹ slides “Hóa keo bổ sung” về “Điều chế keo ghét lưu bằng phương pháp
ngưng tụ và cấu trúc mi-xen keo”
Các giai đoạn điều chế và hình thành hệ keo ghét lưu và cấu trúc của mi-xen keo:
C. Các phương pháp làm sạch hệ keo - Thẩm tích - Điện thẩm tích - Điện kết tủa - Siêu lọc
IV. Hiện tượng Hấp phụ
A. Định nghĩa
Bề mặt chất rắn thường có ái lực mạnh đối với các phân tử khí di chuyển và tiếp xúc
với bề mặt chất rắn.
Hấp phụ (adsorption) là quá trình một chất rắn giữ lại trên bề mặt của nó các phân
tử khí (hoặc các phân tử trong dung dịch). Đồng thời với quá trình hấp phụ luôn luôn
xuất hiện quá trình giải hấp phụ (desorption) trong đó các phân tử bị hấp phụ đi ra
khỏi bề mặt chất rắn.
Hấp phụ là một quá trình thuận nghịch và có thể biểu diễm bằng phương trình 𝐴 + 𝑆 ⇌ 𝑆𝐴 Trong đó:
A là chất khí bị hấp phụ
S là phần bề mặt của chất rắn còn trống (chưa bị hấp phụ)
SA là phần bề mặt chất rắn bị hấp phụ
Hằng số cân bằng K được xác định bằng phương trình : [𝑆𝐴] 𝐾 = [𝐴] × [𝑆]
Trong phương trình này giá trị [SA] và giá trị [S] không đo được, do đó giá trị K
không thể xác định bằng thực nghiệm, do đó cần áp dụng các lý thuyết (thuyết) hấp
phụ đẳng nhiệt (Langmuir, BET,...) để nghiên cứu quá trình hấp phụ.
B. Phân loại: có 2 loại
- Hấp phụ vật lý: lực hấp phụ là lực Van der Waals, năng lượng liên kết (hấp phụ) < 50kJ/mol
- Hấp phụ hóa học: lực hấp phụ là lực hóa học với sự hình thành các liên kết hóa học
trực tiếp, năng lượng liên kết (hấp phụ) > 50kJ/mol
C. Các tính chất của hấp phụ vật lý:
1. Hấp phụ vật lý không có tính chọn lọc, quá trình này xảy ra tương tự như quá trình ngưng tụ
2. Số lương hân tử bị hấp phụ phụ thuộc vào diện tích bề mặt chất rắn mà các phân
tử khí có thể tiếp cận mà không phụ thuộc vào bản chất hóa học của chúng
3. Hấp phụ vật lý xảy ra tuần tự thao từng lớp. Ở một nhiệt độ không đổi, áp suất
càng cao, số lớp hấp phụ càng nhiều và khí áp suất bằng áp suất bão hòa thì xuất
hiện quá trình ngưng tụ trên bề mặt.
4. Khi nghiên cứu hấp phụ cần lưu ý đến hiện tượng ngưng tụ mao quản, đó là sự
ngưng tụ trong các lỗ mao quản ở áp suất nhỏ hơn áp suất bão hòa.
D. Thuyết Langmuir
Thuyết Langmuir: Thuyết hấp phụ đơn lớp (áp dụng cho cùng áp suất thấp)
1. Các giả thuyết gần đúng của thuyết Langmuir (xem tài liệu)
Điểm quan trọng theo lý thuyết Langmuir:
Áp dụng khái niệm hấp phụ tối đa đơn lớp, người ta đưa ra khái niệm “Thể
tích khí hấp phụ đơn lớp – V ”, và thể tích bị hấp phụ V ở áp suất P và xác m
định được phần bề mặt bị hấp phụ , với 𝑉 𝜃 = 𝑉𝑚
Ta có: tỷ lệ với [SA], (1-) tỷ lệ với [S] và [A] tỷ lệ với P.
Áp dụng phương trình từ định nghĩa của hấp phụ và các giả thuyết gần đúng
của Langmuir cho phép thu được phương trình đẳng nhiệt hấp phụ Langmuir:
2. Phương trình đăng nhiệt hấp phụ Langmuir: 𝑏𝑃 𝑉 𝜃 = 𝑣ớ𝑖 𝜃 = 1 + 𝑏𝑃 𝑉𝑚 𝑡𝑟𝑜𝑛𝑔 đó:
𝑏: ℎằ𝑛𝑔 𝑠ố 𝑐â𝑛 𝑏ằ𝑛𝑔 ℎấ𝑝 𝑝ℎụ,
𝑉: 𝑡ℎể 𝑡í𝑐ℎ 𝑘ℎí 𝑏ị ℎấ𝑝 𝑝ℎụ ở á𝑝 𝑠𝑢ấ𝑡 𝑃,
𝑉𝑚: 𝑇ℎể 𝑡í𝑐ℎ 𝑘ℎí 𝑏ị ℎấ𝑝 𝑝ℎụ đơ𝑛 𝑙ớ𝑝
Tuyến tính hóa phương trình đẳng nhiệt hấp phụ Langmuir : 𝑃 1 𝑃 + ; = 𝑉 𝑏𝑉𝑚 𝑉𝑚 𝑃 1 1 𝑌 = ; 𝑋 = 𝑃; 𝐴 = ; 𝐵 = → 𝑌 = 𝐴𝑋 + 𝐵 𝑉 𝑉𝑚 𝑏𝑉𝑚
Kết quả thực nghiệm đầu tiên của nghiên cứu hấp phụ là thể tích khí bị hấp phụ
(V) theo áp suất (P) P P1 P2 P3 P4 P5 ... V V1 V2 V3 V4 V5 ...
Ứng dụng phương trình đẳng nhiệt Langmuir ở dạng tuyến tính để xử lý kết quả
thực nghiệm của quá trình hấp phụ ta có thể thu được giá trị b và Vm.
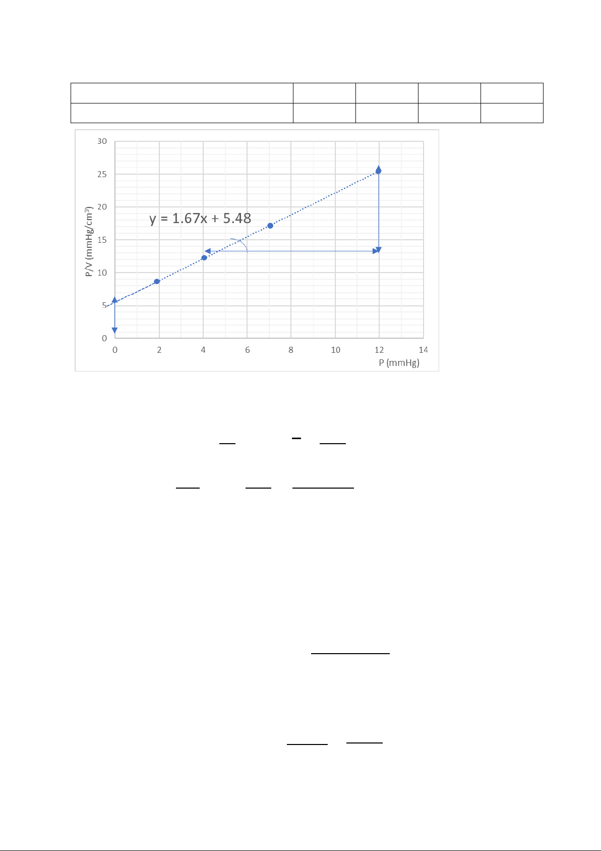
Ví dụ: Nghiên cứu sự hấp thụ của H2 trên 1g bột đồng kim loại được tiến hành ở
25oC, người ta thu được các kết quả được cho ở bảng sau. Áp suất - P (mmHg) 1,90 4,05 7,05 11,95
Thể tích H2 bị hấp thụ - V (cm3) 0,22 0,33 0,41 0,47
Thể tích H2 hấp thụ được quy về điều kiện tiêu chuẩn ở 0oC và 1atm Bổ sung hàng P/V theo P: Áp suất - P (mmHg) 1,90 4,05 7,05 11,95 P/V 8,6 12,3 17,2 25,4
với tg() = A = 1,67 (cm-3) B = 5,48 (mmHg/cm3)
Kết quả này cho thấy mối quan hệ tuyến tính của P/V theo P, do đó sự hấp phụ H2
trên bột đồng tuân theo lý thuyết Langmuir, ta có: 1 1 1 𝐴 = → 𝑉 = = = 0,6 (𝑐𝑚3) 𝑉 𝑚 𝑚 𝐴 1,67 1 1 1 𝐵 = → 𝑏 = = = 0,16 (𝑚𝑚𝐻𝑔−1) 𝑏𝑉 5,48 × 0,6 𝑚 𝐵𝑉𝑚
Thể tích hấp phụ đơn lớp Vm = 0,6 cm3;
Hằng số cân bằng hấp phụ b = 0,16 mmHg-1.
Ý nghĩa của các giá trị Vm và b
- Thể tích hấp phụ đơn lớp Vm được sử dụng để xác định bề mặt riêng của
chất rắn (chất hấp phụ) theo công thức:
𝑉𝑚 × 𝑁𝐴𝑣 × 𝜎 𝑆𝐿 = 𝑉 × 𝑚 0 -
Hằng số cân bằng hấp phụ b được xác đinh ở 2 nhiệt độ khác nhau và áp
dụng phương trình Van’t Hoff để xác định nhiệt hấp phụ (Hads) 𝑑(𝑙𝑛𝑏) Δ𝐻 = 𝑎𝑑𝑠 𝑑𝑇 𝑅𝑇2
E. Thuyết hấp phụ đẳng nhiệt đa lớp BET (Brunauer, Emmet, Teller)
1. Các giả thuyết gần đúng của thuyết BET (xem tài liệu)
Điểm quan trọng theo lý thuyết BET:
Số lớp hấp phụ tăng theo áp suất, mô hình đáp ứng được các hiện tượng hấp
phụ xảy ra trong thực tế và cho phép áp dụng ở những vùng có áp suất lớn
hơn so với thuyết Langmuir.
Phân biệt lớp hấp phụ thứ nhất (Nhiệt hấp phụ) và từ lớp thứ hai trở đi
(Nhiệt ngưng tụ), xuất hiện hằng số c không thứ nguyên (𝐸1 − 𝐸𝐿) 𝑐 = 𝑒𝑥𝑝 [ ] 𝑅𝑇
Từ nhận xét này, thuyết BET vẫn sử dụng khái niệm Vm như đã đề nghị của
thuyết Langmuir, đây là thể tích hấp phụ của lớp thứ nhất theo BET .
2. Phương trình đẳng nhiệt hấp phụ BET P V c m P V 0 P (1 P
)1 (c 1) P P (𝐸1−𝐸𝐿) 0 0 với 𝑐 = 𝑒𝑥𝑝 [ ] 𝑅𝑇
Trong đó: V là thể tích khí bị hấp phụ ở áp suất P
Vm là thể tích hấp phụ của lớp thứ nhất
c: hệ số không có thứ nguyên diễm ta sự sai khác giữa nhiệt hấp
phụ (E ) và nhiệt ngưng tụ (E 1 L)
P0 là áp suất bão hòa của khí ở nhiệt độ nghiên cứu (hấp phụ) T
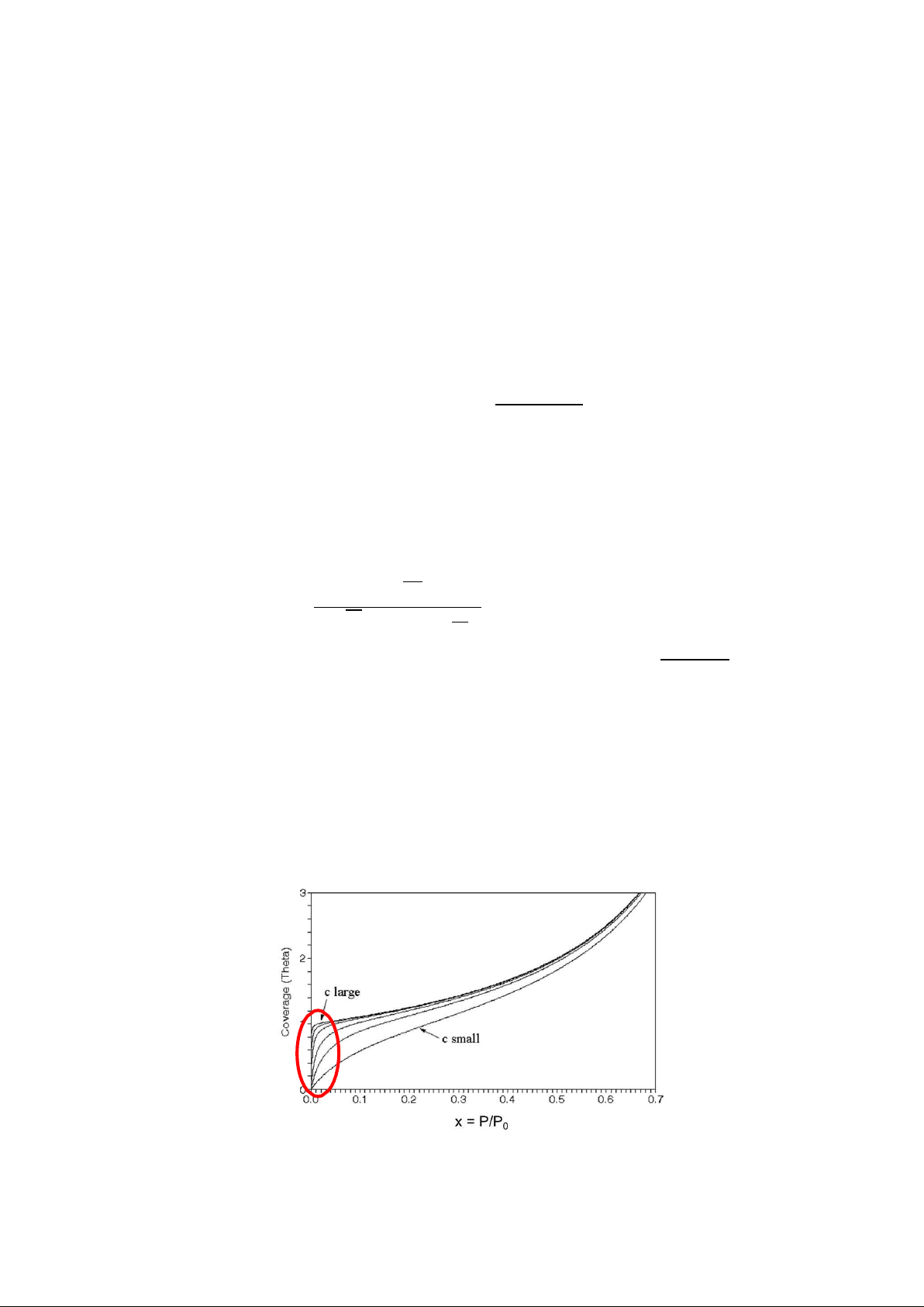
Giá trị c = exp[(E1-EL)/RT] càng lớn thì nhiệt hấp phụ (Hads) càng lớn do đó có sự
gia tăng mạnh thể tích hấp phụ ở áp suất thấp (vùng khoanh đỏ trên giản đồ).
3. Tuyến tính hóa phương trình đẳng nhiệt hấp phụ BET P V c P V 0 P P (1 ) (c 1) P 1 P 0 0 Đặt 𝑃 𝑃 𝑌 = ; 𝑋 =
𝑡𝑎 𝑐ó 𝑝ℎươ𝑛𝑔 𝑡𝑟ì𝑛ℎ 𝑌 = 𝐴𝑋 + 𝐵, 𝑉( 0 𝑃 − 𝑃) 𝑃 0 (𝑐 − 1) 1 𝑣ớ𝑖 𝐴 = 𝑣à 𝐵 = 𝑉𝑚𝑐 𝑉𝑚𝑐
Ví dụ áp dụng: Khi nghiên cứu sự hấp phụ của N2 trên 1g TiO2 ở 77 K
(P =1atm=760mmHg), người ta thu được kết quả như bảng sau: 0 P (mmHg) 100 200 300 400 V(cm3) 10,2 18,6 25,5 31,5
Thể tích của N2 đã được điều chỉnh ở điều kiện tiêu chuẩn (0oC, 1atm).
Nhiệt ngưng tụ của N2 = 5,6kJ.mol-1 ở 77K
Từ kết quả thực nghiệm của quá trình hấp phụ (thể tích hấp phụ theo áp suất), xây
dựng bảng biểu diễn mối quan hệ giữa P/(V*(P0-P)) theo P/P0, ta thu được bảng sau: P/P0 0,132 0.263 0.396 0,526 P/(V(P0-P)) cm-3 0,015 0,022 0,029 0,035
Biểu diễn kết quả này lên đồ thị, thu được:
Kết quả này cho thấy mối quan hệ
tuyến tính của P/(V*(P0-P)) theo P/P0,
do đó sự hấp phụ N2 trên TiO2 nói trên
tuân theo lý thuyết BET. Kết quả trên
đồ thị cho phép xác định: 𝑐 − 1 𝐴 = = 0,0522 (𝑐𝑚−3) [1]; 𝑐𝑉𝑚 1 𝐵 = = 0,008 (𝑐𝑚−3) [2] 𝑐𝑉𝑚
Giải hệ phương trình [1] và [2] ta thu
được: c = 7,525 và Vm = 16,6 cm3
Ý nghĩa của Vm và c:
Từ giá trị Vm, ta xác định diện tích bề mặt riêng của TiO2 theo công thức:
16,6 × 6,023 × 1023 × 0,162 × 10−18 𝑆𝐵𝐸𝑇 = = 72,4 𝑚2. 𝑔−1 22400 × 1
Từ giá trị c, xác định nhiệt hấp phụ 𝐸 1 − 𝐸𝐿 𝑐 = 𝑒𝑥𝑝 (
) ⟹ 𝐸 = 𝐸 + 𝑅𝑇𝑙𝑛𝑐 = 5600 + 8,314 × 77 ln(7.525) 𝑅𝑇 1 𝐿 = 6892 𝐽. 𝑚𝑜𝑙−1
V. CÁC TÍNH CHẤT VẬT LÝ ĐẶC BIỆT CỦA HỆ PHÂN TÁN
Tính chất đặc biệt của hệ phân tán (hệ keo) liên quan đến:
Kích thước keo của pha phân tán (d = 1 – 500nm), lớn hơn kích thước
của các phân tử, ion trong dung dịch (hệ đồng thể) và nhỏ hơn kích
thước của các hệ dị thể thông thường.
Pha phân tán tích điện tồn tại trong môi trường phân tán do đó xuất hiện
lớp điện tích kép trên bề mặt phân chia pha phân tán và môi trường phân tán.
Các tính chất vật lý đặc biệt cần nghiên cứu: tính chất động học, tính chất quang học
và tính chất điện học.
A. Tính chất động học của hệ phân tán
Chuyển động nhiệt (Brown) của pha phân tán do kích thước pha phân tán đủ nhỏ.
Chuyển động có hướng của pha phân tán dước tác dụng của trọng lực
hay lực ly tâm do kích thước pha phân tán đủ lớn.
Độ nhớt đặc biệt của hệ phân tán
1. Chuyển động nhiệt của pha phân tác (hạt keo):
a. Chuyển động nhiệt (Brown): chuyển động hỗn loạn, tốc độ chuyển động tăng
khi kích thước hạt keo giảm và độ nhớt giảm
Để đánh giá chuyển động nhiệt sử dụng khái niệm, sử dụng khái niệm “Độ dịch
chuyển trung bình bình phương của các hạt 𝚫̅ ” với phương trình Einstein & Smoluchowski (1906): 𝑅. 𝑇 √ 2𝑡 𝑘 2 2 … 2 . = √ 𝐵. 𝑇. 𝑡 𝛥𝑥 = 𝑁 6. 𝜋. 𝜂. 𝑟 3. 𝜋. 𝜇. 𝑟 n
Trong đó: k : Hằng số Boltzmann (1.38×10-23 B
m2.kg.s-2.K-1); T : Nhiệt độ tuyệt đối
(K); t : Thời gian (s); : Độ nhớt tuyệt đối (động lực) của hệ (kg.s-1.m-1)
Lưu ý: 1 kg.s-1.m-1 = 1 Pa.s = 1000 cP
Độ dịch chuyển trung bình bình phương của các hạt 𝚫̅ là một tính chất keo
(Colligative Property) bởi vì nó chỉ phụ thuộc và kích thước mà không phụ thuộc
vào bản chất hóa học của chúng.
Chuyển động nhiệt là nguyên nhân của hiện tượng khuếch tán và thẩm thấu
b. Hiện tượng khuếch tán (Diffusion) được mô tả bằng hai định luật FICK:
Định luật FICK 1 áp dụng cho quá trình khuếch tán ổn định với phương trình: dC dm D .S.dt dx
Trong đó dm là lượng vật chất (mol) khuếch tác qua một tiết diện S (m2), trong thời
gian dt (s) do sự chênh lệch nồng độ là dC/dx (mol.m-3.m-1 = mol.m-4); D: hệ số khuếch tán (m2.s-1)
Định luật FICK 1 áp dụng chủ yếu cho các quá trình nghiên cứu trong phòng thí
nghiệm để xác định giá trị hệ số khuêch tán D
Ứng dụng của hệ số khuêch tán D, ta sử dụng phương trình: k T D B 6 ..r
Trong đó là độ nhớt tuyệt đối (động lực) (trong phương trình Einstein & Smoluchowski)
Như vậy nếu biết được D ta có thể xác định đượng bán kính pha phân tán (hạt keo)
r và khối lượng phân tử của pha phân tán: 4
𝑀 = 𝜋𝜌. 𝑟 3. 𝑁𝐴𝑣 3
Với là khối lượng riêng của pha phân tán (kg/m3)
Định luật FICK 2 áp dụng cho quá trình khuếch tán không ổn định với phương trình: dC d 2C d 2C D d 2C dt dx2 dy2 dz2
Với 2: Toán tử Laplace dC 𝛻2 = ( 𝑑2 𝑑2 + 𝑑2 + ) D.2C 𝑑𝑥2 𝑑𝑦2 𝑑𝑧2 dt
c. Hiện tượng thẩm thẩu: Là sự dịch chuyển của các phân tử dung môi (môi trường
phân tán) qua màng bán thấm để san bằng nồng độ
Động lực của quá trình thẩm thấu là Áp suất thẩm thấu, được xác định bằng phươmg trình Van’t Hoff:
C.R.T với C NA 𝛾 𝜋 =
𝑅. 𝑇 ℎ𝑎𝑦 𝜋 = 𝛾. 𝑘 𝑁 𝐵. 𝑇 𝐴
2. Chuyển động có hướng của pha phân tán dước tác dụng của trọng lực hay lực ly tâm
a. Hiện tượng sa lắng (Sedimentation) : là sự lắng đọng các pha phân tán dưới tác
dụng của trọng lực. Tốc độ sa lắng được xác định bằng định luật Stoke Trong đó:
v: vận tốc sa lắng (m.s-1 ) = dx/dt; x : khoảng
cách sa lắng (m); r: bán kính của pha phân tác 9..v r
(m); và 0: khối lượng riêng của pha phân tán
2 o .g
và môi trường phân tán (kg.m-3); g: gia tốc
trọng trường (m.s-2); : Độ nhớt tuyệt đối của hệ (kg.s-1.m-1)
Áp dụng: Xác định được tốc độ sa lắng sẽ tính được bán kính của pha phân tán và
ngược lại khi biết được kính thước của pha phân tán thì xác định được tốc độ sa lắng (thiết kế thiết bị)
Hệ đơn phân tán, hệ đa phân tán
b. Sa lắng bằng lực ly tâm: Đối với các hệ phân tán có kích thước nhỏ < 500nm
cần sử dụng lực ly tâm để tách các pha phân tán ra khỏi môi trường phân tán, ta
ápdụng định luật Stoke và thay gia tốc trọng trường bằng gia tốc ly tâm: Trong đó:
w2x: gia tốc ly tâm với w: vận tốc góc (s-1) và x là
khoảng cách từ hạt đến tâm quay (bán kính quay) (m)
4. Độ nhớt của hệ phân tán
Xác định theo phương trình Einstein Trong đó:
, 0 : Độ nhớt tuyệt đối của hệ phân tán và môi trường phân tán (kg.s-1.m-1)
: Nồng độ phần thể tích của pha phân tán
Khi phương trình Einstein không đáp ứng thì lưu ý đến ảnh hưởng của hình dáng hạt
keo đến độ nhớt của hệ phân tán.
B. Tính chất quang học của hệ phân tán
Kích thước các pha phân tácn (hạt keo) nằm trong khoảng của bước sóng ánh sáng
khả kiến nên bên cạnh các hiện tượng quang học thường gặp đối với hệ đồng thể hay
hệ dị thể thông thường là: Phản xạ, Truyền qua, Hấp thụ ánh sáng (Reflection,
Transmission, Absorption), hệ phân tán có thể hiện một hiện tượng riêng biệt nữa
đó là sự Tán xạ hay phân tán (Scattering) ánh sáng.
1. Hiệu ứng Faraday Tyndall: là hiệu ứng trong đó ánh sáng bị tán xạ ra tất cả các
phương trong đó mạnh nhất là phương vuông góc với đường đi của tia sáng và hình
thành chùm sáng hình côn khi đi qua hệ phân tán
2. Phương trình tán xạ Rayleigh: 2
Itx(hoặc pt): Cường độ ánh sáng tán xạ theo phương
3 n2 n2 .v2
vuông góc với đường đi của tia sáng I 24. 1 o n tx Io
1, n2: Chỉ số khúc xạ của pha phân tán và môi
n2 2n2 4 1 o trường phân tán
: Nồng độ hạt của pha phân tán v: Thể tích hạt
: Bước sóng ánh sáng được sử dụng
I0 cường độ ánh sáng tới
3. Ảnh hưởng của hiện tượng tán xạ ánh sáng: hệ phân tán gây sai số cho định
luật hấp phụ Lambert – Beer vì I1 là kết quả của quá trình hấp thụ và tán xạ ánh sáng
làm cho đường chuẩn độ hấp thụ quang không còn tuyến tính với nồng độ.
Hiện tượng tán xạ ánh sáng có thể làm hệ phân tán thay đổi màu sắc theo các hướng
nhìn khác nhau và theo kích thước của pha phân tán.
Ứng dụng của phương trình tán xạ Rayleigh trong việc đo độ đục (Opacity):
Từ phương trình tán xạ Rayleigh
n2 n2 2 .v2 I tx 24. 3 1 o n2 2n2 I 4 o 1 o ta có:
𝐼𝑡𝑥 = 𝑘. 𝛾. 𝑣2. 𝐼𝑜 = 𝑘. 𝛾. 𝑣. 𝑣. 𝐼𝑜 = 𝑘. 𝑣. 𝐶. 𝐼𝑜 với 𝐶 = 𝛾. 𝑣, 𝑡𝑎 𝑐ó : ℎ2
𝑘. 𝑣1. 𝐶1. 𝐼𝑜. ℎ1 = 𝑘. 𝑣2. 𝐶2. 𝐼𝑜. ℎ2 → 𝑣1 = 𝑣2
𝑘ℎ𝑖 𝑛ồ𝑛𝑔 độ 𝑘ℎô𝑛𝑔 đổ𝑖 ℎ𝑎𝑦 ℎ 1 ℎ2 𝐶1 = 𝐶2
𝑘ℎ𝑖 𝑘í𝑐ℎ 𝑡ℎướ𝑐 ℎạ𝑡 𝑘ℎô𝑛𝑔 đổ𝑖 ℎ1
4. Các phương pháp quang học khác được sử dụng để nghiên cứu hệ phân tán :
- Kính hiển vi (d: 200 nm - 150m)
- Siêu kính hiển vi (d: 10 nm - 1m
- Kính hiển vi điện tử (d : 1nm - 1m)
B. Tính chất điện học của hệ phân tán
Pha phân tán có kích thước nhỏ và được tích điện do đó hệ phân tán có các hiện
tượng điện học quan trọng và đặc trưng
1. Nguyên nhân pha phân tán tích điện: 3 nguyên nhân
- Nhân keo hấp phụ chọn lọc các ion đồng hình để tích điện và hình thành hạt keo
(pha phân tán), hiện tượng này chủ yếu xảy ra với hệ phân tán ghét lưu (lyophobic);
- Ion hóa các nhóm chức trên bề mặt, hiện tượng này chủ yếu xảy ra với hệ phân tán ưa lưu (lyophilic);
- Chênh lệch hằng số điện môi giữa pha phân tán và môi trường phân tán
2. Điểm đẳng điện (Iso-electric point), pH điểm không tích điện (Point of Zero
Charge – PZC) là pH mà tại đó hạt keo (pha phân tán) trung hòa điện, hoặc không
tích điện do đó không tồn tại lực đẫy tĩnh điện giữa các hạt (pha phân tán) và hệ phân tán kém bền nhất.
3. Sự hình thành lớp điện tích kép trên bề mặt phân chia phan phân tán và môi trường phân tán:
Lớp điện tích kép gồm 2 lớp:
- Lớp hấp phụ (lớp Helmholtz): gồm các ion trái trái dấu với bề mặt của
nhân keo, với khoảng cách cở đường kính ion, trong chiều dày của lớp hấp
phụ điện thế thay đổi gần tuyến tính
- Lớp khuếch tán: gồm các ion trái trái dấu để trung hòa điện tích của hạt
keo phân bố từ bề mặt hạt keo vào sâu trong dung dịch (phân bố theo hàm mũ)
4. Thế điện động hay thế zeta:
Thế điện động hay thế zeta () là điện thế
xuất hiện giữa bề mặt hạt keo (pha phân
tán) và môi trường phân tán (bề mặt
trượt), khi hạt keo di chuyển dưới tác
dụng của điện trường.
Thế zeta là giá trị đo được và được sử
dụng để đánh giá mức độ tích điện của hạt
keo (không thể đo được điện tích trên bề
mặt hạt keo). Giá trị tuyệt đối của thế zeta
càng lớn, hạt keo tích điện càng mạnh và
độ bền của hệ keo càng cao.
Thế zeta được sử dụng để đánh giá độ ổn định của hệ keo (phân tán) đặc biệt là hệ phân tán ghét lưu.
Mối quan hệ của thế zeta và độ bền của hệ keo (hệ phân tán):
5. Các hiện tượng điện động của hệ keo (hệ phân tán)
- Hiện tượng điện di là sự chuyển động có hướng của các hạt keo (pha phân tán) tích
điện dưới tác dụng của điện trường.
- Hiện tượng điện thẩm (điện thẩm thấu) là sự dịch chuyển có hướng của một dòng
dung môi dưới tác dụng của điện trường qua một bề mặt mao quản được tích điện
- Điện thế sa lắng là hiệu điện thế xuất hiện tại các điểm khi hệ keo đang sa lắng
dưới tác dụng của trọng lực hay lực ly tâm.
- Điện thế chảy là hiệu điện thế được tạo ra khi nén một dòng chất lỏng chảy qua lớp
đệm của các hạt tích điện hay chảy qua các mao quản tích điện.
- Thế Zeta: là từ viết tắt của thế điện động của hệ phân tán, được xác định bằng thực
nghiệm và tính toán thông qua phương trình Henry 𝜀. 𝜀𝑜. 𝐸. 𝜁 𝑢. 𝜂. 𝑙 𝑢 = → 𝜁 =
u: vận tốc của hạt keo (m.s-1) 𝜂. 𝑙 𝑓. 𝜀. 𝜀𝑜. 𝐸
, o: Hằng số điện môi của môi trường phân
tán và chân không (o =8,85.10-12F/m)
E: Hiệu điện thế (Volt)
: Độ nhớt tuyệt đối của môi trường phân tán (kg.m-1.s-1)
l: khoảng cách giữa các điện cực (m)
f: Hệ số phụ thuộc kích thước hạt keo và
chiều dày của lớp điện tích kép
VI. TÍNH ỔN ĐỊNH VẬT LÝ CỦA HỆ PHÂN TÁN
Chuyển động nhiệt (Brown) hỗn loạn của pha phân tán tạo nên các va chạm giữa
các hạt keo. Khi các va chạm không dẫn đến sự kết tụ (Aggregation) thì hệ keo bền,
mặt khác khi va chạm tạo nên kết tụ, hình thành các nhóm hạt, thì có thể dẫn đến 2 trường hợp:
- Keo tụ (Coagulation) hoặc kết tủa khi các nhóm hạt hình thành cấu trúc
đặc, sít chặc khó phân tán trở lại và hệ keo bị phá vỡ hoàn toàn.
- Keo tụ bông (Flocculation): các nhóm hạt hình thành trong một cấu trúc
mở, đây là quá trình thuận nghịch và có thể tái tạo hệ keo khi các tác dụng lực từ bên ngoài.
1. Các kiểu tương tác chính trong hệ phân tán: 3 loại
- Lực đẫy tĩnh điện giữa các hạt keo (pha phân tán) bảo đảm độ bền hệ keo (Áp
dụng chủ yếu cho keo ghét lưu do không được bảo vệ bằng các lớp phân tử của môi trường phân tán)
- Lực hút Van der Waals giữa các hạt keo (pha phân tán) đây là nguyên nhân chính
của hiện tượng kết tụ và keo tụ, phá vỡ hệ keo
- Hiện tượng solvat (hydrat) hóa hình thành lớp dung môi xung quang hạt keo, bảo
vệ và ngăn cản hạt keo tiến lại gầng nhau và kết tụ (Áp dụng chủ yếu cho keo ưa lưu
do có tương tác mạnh giữa pha phân tán và môi trường phân tán)
2. Tính ổn định của keo ghét lưu
Lý thuyết DLVO (Derjaguin, Landan, Verwey, and Overbeek).
Keo ghét lưu không có tương tác hoặc tương tác yếu giữa pha phân tán và môi trường
phân tán nên bỏ qua hiện tương solvat (hydrat) hóa trong việc xem xét độ bền của
hệ keo, do đó chỉ còn 2 tương tác chính:
- Lực đẩy tĩnh điện (VR)
- Lực hút Van der Waals (VA) Thế năng tổng V , Xác định giá trị V T = VR + VA
T từ các giá trị VR và VA để đánh giá độ bền hệ keo.
Hệ keo ghét lưu không bền về phương diện nhiệt động học vì 𝐸𝑏𝑚 = 𝜎 × 𝑆 mà
không đổi (do không có tương tác giữa pha phân tán và môi trường phân tán) nên
Ebm giảm kéo theo S giảm, hạt keo (pha phân tán) tăng kích thước và hệ keo bị phá hủy.
Ảnh hưởng của chất điện ly đối với hệ keo ghét lưu:
a. Khi nồng độ chất điện nhỏ và phù hợp: nhân keo sẽ hấp phụ chọn lọc các ion,
tích điện cho hạt keo và ổn định hệ keo
b. Khi nồng độ chất điện ly lớn: ion trái dấu của hạt keo sẽ đi vào lớp điện tích
kép làm giảm thế zeta và gây nên hiện tượng keo tụ
(Hệ keo ghét lưu rất nhạy cảm với nồng độ chất diện ly)
Ngưỡng keo tụ: là nồng độ chất điện ly nhỏ nhất gây nên hiện tượng keo tụ đủ
nhanh để có thể phát hiện được thông qua các hiện tượng như vẩn đục, kết tủa hay
thay đổi màu sắc của hệ phân tán.
Quy tắc Schulze Hardy:
(sử dụng để đánh giá hiệu quả gây keo tụ của các chất điện ly khác nhau)
- Ngưỡng keo tụ của một chất điện ly phụ thuộc chủ yếu vào ion đối (ion
trái dấu) của hạt keo (pha phân tán)
- Ion có hóa trị càng lớn gây keo tụ càng mạnh
- Hai ion có hóa trị bằng nhau, ion nào có kính thước lớn hơn gây keo tụ mạnh hơn.
Hiện tượng đồng keo tụ (đồng kết tủa) xảy ra khi trộn lẫn 2 hệ keo có hạt keo hay
pha phân tác tích điện trái dấu
3. Tính ổn định của keo ưa lưu
Các yếu tố ảnh hưởng đến độ bền của keo ưa lưu: - Lực đẩy tĩnh điện
- Hiện tượng solvat (hydrat) hóa
Hệ keo ưa lưu bền về phương diện nhiệt động học vì 𝐸𝑏𝑚 = 𝜎 × 𝑆. Hệ keo ưa lưu
có tương tác mạnh giữa pha phân tán và môi trường phân tán nên có khuynh hướng
giảm làm cho Ebm giảm mà không ảnh hưởng đến kích thước của pha phân tán.
Ảnh hưởng của chất điện ly đối với hệ keo ưa lưu:
a. Khi nồng độ chất điện ly nhỏ: làm giảm ngay thế zeta nhưng không gây keo
tụ vì các hạt keo (pha phân tán) được bảo vẹ bằng lớp solvat hóa dày.
b. Khi nồng độ chất điện ly rất lớn:
- Trung hòa điện tích hạt keo về 0
- Đồng thời xuất hiện quá trình solvat hóa (hydrat hóa) cạnh tranh và khử
solvat (khử hydrat) hạt keo (pha phân tán) mới gây nên hiện tượng keo tụ
(Hệ keo ưa lưu không nhạy cảm với nồng độ chất điện ly và có ngưỡng keo tụ cao
đối với các chất điện ly)
Ngưỡng keo tụ: là nồng độ chất điện ly nhỏ nhất gây nên hiện tượng keo tụ đủ
nhanh để có thể phát hiện được thông qua các hiện tượng như vẩn đục, kết tủa hay
thay đổi màu sắc của hệ phân tán.
Chuỗi Hofmeister: (sử dụng để đánh giá hiệu quả gây keo tụ của các chất điện ly
đối với keo ưa lưu) khả năng gây keo tụ của các ion theo các dãy sau:
Ảnh hưởng của môi trường phân tán (dung môi): Việc thay đổi dung môi có thể
chuyển hệ keo từ trạng thái ưa lưu sang trạng thái ghét lưu và trở nên nhạy cảm với chất điện ly.
Hiện tượng đồng keo tụ xảy ra khi trộn lẫn 2 hệ keo ưa lưu có pH không tương
thích khi các hạt keo (pha phân tán tích điện trái dấu) do điện tích của hạt keo ưa lưu
phụ thuộc vào pH (ion hóa nhóm chức trên bề mặt hạt keo)
4. Khả năng bảo vệ của keo ưa lưu đối với keo ghét lưu
Khi bổ sung keo ưu lưu vào keo ghét lưu thì pha phân tán của keo ưa lưu sẽ hấp phụ
lên bề mặt của pha phân tán ghét lưu làm thay đổi tính chất bề mặt của chúng từ ghét
lưu sang ưa lưu. Hệ keo ghét lưu sẽ trở nên bền hơn và không còn nhạy cảm với chất điện ly.
Để đánh giá khả năng bảo vệ của keo ưa lưu đối với keo ghét lưu người ta sử dụng
khái niệm “Chỉ số Vàng”
Chỉ số Vàng là khối lượng tối thiểu tính theo miligram của một hệ keo bảo vệ (keo
ưa lưu) cần thiết để ngăn cản sự chuyển màu từ đỏ sang tím của 10ml sol Vàng (Au)
khi được bổ sung 1 ml dung dịch NaCl 10%.
Chỉ số Vàng càng nhỏ khả năng bảo vệ của keo ưa lưu càng cao. Giải thích:
- Sol Vàng (Au) là keo vô cơ, keo ghét lưu nhạy cảm với chất điện ly
- Bổ sung 1ml dung dịch NaCl 10% vào 10 ml sol Vàng sẽ gây hiện tượng
keo tụ và được phát hiện do sự thay đổi màu sắc từ đỏ sang tím
- Sử dụng một lượng keo ưu lưu vừa đủ sẽ bảo vệ được sol Vàng khỏi hiện
tượng keo tụ và không có sự chuyển màu từ đỏ sang tím.
5. Xà phòng và các chất hoạt động bề mặt
Trong nước Xà phòng và các chất hoạt động bề mặt tạo ra hệ keo liên hợp. Có 3 loại
chất hoạt động bề mặt:
- Chất hoạt động bề mặt anion
- Chất hoạt động bề mặt cation
- Chất hoạt động bề mặt không ion.