







Preview text:
ĐỀ THI THỬ CHUẨN CẤU TRÚC MINH HỌA ĐỀ 10 (Đề thi có 04 trang) | KỲ THI TỐT NGHIỆP THPT NĂM 2025 MÔN: HÓA HỌC Thời gian làm bài 50 phút; không kể thời gian phát đề |
Họ, tên thí sinh: .....................................................................
Số báo danh: ..........................................................................
Cho biết nguyên tử khối: H = 1, C = 12, N = 14, O = 16, Na = 23, Mg = 24, Al = 27, S = 32, K = 39, Ca = 40, Fe = 56, Cu = 64, Zn = 65, Ag = 108.
PHẦN I. Thí sinh trả lời từ câu 1 đến câu 18 . Mỗi câu hỏi thí sinh chỉ chọn một phương án.
Câu 1. Saccharide nào sau đây không có tính khử?
A. glucose. B. fructose. C. saccharose. D. maltose.
Câu 2. Nhúng thanh kẽm (Zn) và thanh đồng (Cu) vào dung dịch H2SO4 loãng, nối 2 thanh lại với nhau bằng dây dẫn như hình bên dưới.

Nhận xét nào sau đây là đúng?
A. Thanh Zn bị mòn dần, đồng thời xuất hiện dòng điện 1 chiều di chuyển từ anode sang cathode.
B. Cực âm gọi là cathode do xảy ra quá trình nhường electron.
C. Khí thoát ra ở 2 điện cực là khí hydrogen.
D. Nếu không có sợi dây dẫn nối 2 điện cực với nhau thì thanh Zn sẽ không bị ăn mòn.
Câu 3. Hàn the là sodium tetraborate decahydrate có công thức Na2B4O7.10H2O thường được người dân dùng như một thứ phụ gia thực phẩm cho vào giò, bánh phở,… làm tăng tính dai và giòn. Từ năm 1985, tổ chức y tế thế giới đã cấm dùng hàn the vì nó rất độc, có thể gây co giật, trụy tim, hôn mê. Hàm lượng nguyên tố sodium có trong hàn the là
A. 12,0%. B. 6,0%. C. 22,8%. D. 11,4%.
Câu 4. Cho các chất sau đây:

Số chất tạo môi trường acid khi hoà tan trong nước là
A. 1. B. 2. C. 3. D. 4.
Câu 5. Nhựa PP là loại nhựa giá rẻ nhất hiện nay. Hạt nhựa PP có màu trắng trong suốt, không màu, không mùi, không vị, không độc. Nhựa PP là
A. nhựa nhiệt dẻo, cứng, dai và có tên gọi là polypropylene.
B. nhựa được sản xuất từ monomer phenol và formaldehyde.
C. nhựa có công thức hoá học (C2H4)n.
D. nhựa được điều chế bằng phản ứng trùng ngưng.
Câu 6. Cho sơ đồ tạo thành và chuyển hóa tinh bột sau đây: (Mỗi mũi tên là 1 phương trình phản ứng hoá học).

Phương trình phản ứng hoá học nào thuộc loại phản ứng thuỷ phân?
A. (1) và (2). B. (2) và (3). C. (1) và (4). D. (3) và (4).
Câu 7. Các dẫn xuất halogen được tách ra từ nhiều loại sinh vật biển khác nhau như rong, tảo biển, san hô,... Chúng có các hoạt tính sinh học rất quý giá như khả năng điều trị bệnh ung thư và nhiều bệnh khác. Cho công thức dẫn xuất halogen sau:
Dẫn xuất halogen tách ra từ tảo biển đỏ chi Laurencia có tác dụng chống ung thư vòm họng
Phát biểu nào sau đây là đúng?
A. Dẫn xuất halogen trên chứa 2 nguyên tử halogen khác nhau.
B. Độ bất bão hoà trong phân dẫn xuất halogen trên bằng 1.
C. Phần trăm khối lượng của nguyên tố bromine trong dẫn xuất halogen trên bằng 43,8356%.
D. Dẫn xuất halogen trên có tên là 1,1-dichloro-4,6-dibromo-3,7-dimethylocta-1,6-diene.
Câu 8. Cho từ từ đến dư kim loại Na vào dung dịch muối FeCl3. Số phản ứng hóa học xảy ra trong dung dịch là
A. 0. B. 1. C. 2. D. 3.
Câu 9. Kevlar là một polymer có độ bền kéo rất cao. Loại vật liệu này được dùng để sản xuất áo chống đạn và mũ bảo hiểm cho quân đội. Kevlar được điều chế từ H2NC6H4NH2 và HOOCC6H4COOH. Nhận định nào đúng khi nói về Kevlar?
A. Kevlar thuộc loại polymer thiên nhiên.
B. Phản ứng tổng hợp Kevlar thuộc loại phản ứng trùng hợp.
C. Kevlar không có khả năng tham gia phản ứng thuỷ phân.
D. Kevlar là một loại sợi polyamide có cấu trúc mạch dài không phân nhánh.
Câu 10. Muối là một gia vị phổ biến trong bữa ăn của mọi gia đình, để kích thích thần kinh vị giác, chỉ cần thêm một chút muối cũng giúp tăng vị ngon của các loại thực phẩm, kể cả trong trái cây, bánh kẹo, chè đường hay nước ngọt, nước dừa… Tuy nhiên ăn quá nhiều muối sẽ có hại đối với tim mạch và huyết áp nhưng ăn nhạt quá dẫn đến thiếu muối thì cũng nguy hiểm không kém. Thành phần chính của muối ăn là sodium chloride. Trong phân tử sodium chloride gồm 1 nguyên tử sodium và 1 nguyên tử chlorine liên kết với nhau bằng liên kết gì ?
A. cộng hóa trị không phân cực. B. cộng hóa trị phân cực.
C. ion. D. hydrogen.
Câu 11. Adrenaline và Noradrenaline là 2 hormone quan trọng, đóng vai trò không thể phủ nhận trong cách cơ thể chúng ta phản ứng trước những tình huống căng thẳng và nguy hiểm. Adrenaline và Noradrenaline có công thức cấu tạo như sau:
Adrenaline Noradrenaline
Tìm phát biểu đúng trong các phát biểu sau đây?
A. Adrenaline và Noradrenaline là đồng phân của nhau.
B. Adrenaline và Noradrenaline đều có 14 nguyên tử hydrogen trong phân tử.
C. Adrenaline và Noradrenaline đều là hợp chất hữu cơ tạp chức.
D. Adrenaline và Noradrenaline đều có nhóm chức alcohol cùng bậc với nhóm chức amine.
Câu 12. Cho dãy các nguyên tố có cấu hình electron nguyên tử sau đây:
Na: [Ne]3s1; Cr:[Ar]3d54s1; Br: [Ar]3d104s24p5; F: 1s22s22p5; Cu: [Ar]3d104s1.
Số nguyên tố thuộc khối nguyên tố d là
A. 2 B. 3. C. 4. D. 1.
Câu 13. Để tăng hiệu quả tẩy trắng của bột giặt người ta thường cho thêm vào một ít bột sodium peroxide (Na2O2), vì sodium peroxide khi tác dụng với nước sẽ sinh ra H2O2 là một chất oxi hóa mạnh có thể tẩy trắng được quần áo. Cách nào sau đây là cách tốt nhất để bảo quản bột giặt?
A. Để nơi râm mát, khô thoáng, đậy kín nắp.
B. Để nơi khô thoáng, không có nắp đậy.
C. Để nơi khô thoáng, có ánh sáng mặt trời.
D. Để nơi mát mẻ, có hơi ẩm.
Câu 14. Tái chế kim loại là công việc cần thiết, vừa đảm bảo nguồn cung, vừa gia tăng giá trị kinh tế, bảo vệ môi trường và thực hiện mục tiêu phát triển bền vững. Cho những nhận định sau đây:
(1). Aluminum là một trong những kim loại có thể được tái chế có hiệu quả nhất so với sản xuất từ quặng.
(2). Iron là kim loại được tái chế nhiều nhất trên thế giới và có thể tái chế nhiều lần.
(3). Iron được sản xuất từ quặng sắt, sẽ giảm thiểu một số tác động tới môi trường của quá trình khai thác quặng.
(4). Tái chế copper giúp tiết kiệm một lượng lớn năng lượng so với sản xuất kim loại từ quặng.
Số nhận định đúng là
A. 1. B. 2. C. 3. D. 4
Câu 15. Cho phổ hồng ngoại của chất X như hình dưới đây:

Phân tử chất X có chứa nhóm chức
A. Aldehyde. B. Carboxylic acid. C. Alcohol. D. Amine.
Câu 16. Cisplatin là thế hệ đầu tiên trong số ba phức chất của Pt2+ được sử dụng trong điều trị ung thư. Nó được biết đến với vai trò to lớn trong điều trị ung thư buồng trứng, tinh hoàn, bàng quang, đầu, cổ,... Nhờ có cisplatin hơn 90% bệnh nhân ung thư tinh hoàn đã được cứu sống. Cisplatin có thể được điều chế theo sơ đồ sau:

Giá trị của x và dạng hình học phổ biến của cisplatin là
A. -1; tứ diện đều B. -1; tứ vuông phẳng
C. 1-; tứ diện đều D. 1- ; tứ vuông phẳng
Câu 17. Trong tinh thể NaCl, các ion trái dấu tiếp xúc và sắp xếp xen kẽ nhau như mô hình sau đây.

Biết chiều dài cạnh của hình lập phương ở mô hình rỗng là a = 564 pm và bán kính ion Na+ là 100 pm.
Bán kính ion Cl- là
A. 182 pm. B. 364 pm. C. 232 pm. D. 282 pm.
Câu 18. Acetic acid là một axit hữu cơ thông dụng thuộc cùng dãy đồng đẳng với formic acid (HCOOH). Ở quy mô công nghiệp, nó được sử dụng làm dung môi, điều chế ester để sản xuất polymer như vinyl acetate …, trong đời sống hàng ngày dung dịch CH3COOH 2 – 5% được sử dụng làm gia vị (được gọi là giấm ăn).
Để xác định hàm lượng của acetic acid trong một loại giấm ăn, một học sinh pha loãng loại giấm ăn đó mười lần rồi tiến hành chuẩn độ 10 mL giấm ăn sau pha loãng bằng dung dịch NaOH 0,1M, thu được kết quả như bảng sau:

VNaOH (mL) | |
Lần 1 | 8,9 |
Lần 2 | 8,7 |
Lần 3 | 8,9 |
Biết khối lượng riêng của acetic acid là D = 1,05 g/mL, giả thiết trong thành phần giấm ăn chỉ có acetic acid phản ứng với NaOH. Hàm lượng % về thể tích acetic acid có trong loại giấm đó là
A. 2. B. 3. C. 4. D. 5.
PHẦN II. Thí sinh trả lời từ câu 1 đến câu 4. Trong mỗi ý a), b), c), d) ở mỗi câu, thí sinh chọn đúng hoặc sai.
Câu 1. Một học sinh muốn xác định hàm lượng Cu có trong hợp kim Cu-Zn, học sinh đã tiến hành làm thí nghiệm như sau:
- Bước 1: Tiến hành cân thanh hợp kim Cu-Zn (2,25 gam) và thanh đồng nguyên chất (2,58 gam).
- Bước 2: Nối thanh hợp kim với cực dương, thanh đồng nguyên chất với cực âm của nguồn điện một chiều có hiệu điện thế phù hợp, rồi nhúng vào bình điện phân chứa dung dịch copper(II) sulfate.
Sau một thời gian điện phân, làm khô, rồi cân lại khối lượng thanh đồng nguyên chất (2,99 gam). Giả thuyết trong quá trình điện phân không chịu sự ảnh hưởng của các yếu tố khác như: hoạt độ của ion và quá thế, …. Học sinh đã phát biểu như sau:
a. Tại anode xảy ra quá trình oxi hoá H2O, do gốc SO42- không tham gia điện phân trong dung dịch.
b. Khối lượng của thanh hợp kim còn lại sau thí nghiệm là 1,84 gam.
c. Quá trình điện phân xảy ra hiện tượng dương cực tan.
d. Zn sẽ khử ion Cu2+ trong dung dịch copper(II) sulfate cùng lúc điện phân: Zn + Cu2+ Zn2+ + Cu.
Câu 2. Dưới đây là hai phương pháp điều chế amine:
(1) alkyl hoá ammonia.
(2) khử hợp chất nitro.

a. Phương pháp (1) có ưu điểm là điều chế được cả amine bậc một, bậc hai và bậc ba nhưng nhược điểm là không thu được sản phẩm tinh khiết mà là hỗn hợp các amine khác bậc.
b. Phương pháp (2) có ưu điểm tạo duy nhất amine bậc một nhưng nhược điểm là không điều chế được amine bậc hai và ba.
c. Phương pháp (1) được sử dụng rộng rãi trong phòng thí nghiệm, nhưng ít được sử dụng trong công nghiệp.
d. Trong công nghiệp amine thơm X được điều chế bằng phương pháp (2). Phân tích khối lượng các nguyên tố của X có kết quả như sau: %C = 78,51%; %H = 8,41%; %N = 13,08%. Xác định phân tử khối của X từ phổ khối lượng (MS) bằng 107 (amu). Ứng với công thức phân tử của X thì có 4 đồng phân amine thơm bậc một (kể cả X)
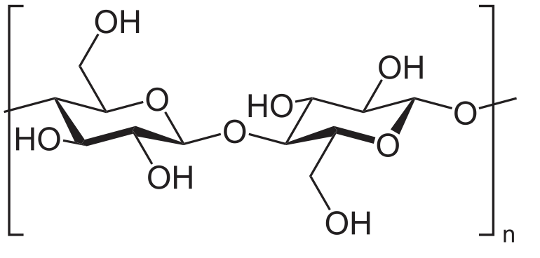
Câu 3. Ngô và mía là hai nguyên liệu chính được sử dụng trong sản xuất ethanol. Tuy nhiên chúng là những loại cây lương thực quan trọng, trong khi cellulose cũng có thể sản xuất ethanol, và cellulose là nguồn nguyên liệu dồi dào, dễ tìm. Tuy giá thành sản xuất ethanol từ cellulose còn cao, xuất phát từ loại nấm được nuôi cấy để tạo cellulase là enzyme xúc tác cho phản ứng thuỷ phân cellulose thành glucose còn tốn kém nhiều về năng lượng, nhưng hướng đi này đang hứa hẹn nhiều viễn cảnh mới ở tương lai.

Cấu trúc cellulose
a. Cellulose là polymer mạch không phân nhánh.
b. Phân tử cellulose tạo bởi nhiều đơn vị α-glucose, nối với nhau qua liên kết α-1,4-glycoside.
c. Cellulose có nhiều trong trái cây chín.
d. Với những tiến bộ công nghệ đạt được, người ta tin rằng 1 tấn cellulose sắp tới có thể tạo được khoảng 400 lít ethanol. Hiệu suất của quá trình điều chế ethanol từ cellulose đạt được khi đó 55,63%. Cho khối lượng riêng của ethanol là 0,79 g/mL.
Câu 4. Theo nhiều nghiên cứu y khoa đã chứng minh rằng, vitamin B12 có tác dụng làm giảm lượng homocysteine, yếu tố dẫn đến các vấn đề tim mạch hàng đầu hiện nay. Hầu hết các vitamin nhóm B trong đó có B12 đều có tác dụng hạ thấp lượng homocysteine trong máu, ngăn ngừa hiệu quả các bệnh như nhồi máu cơ tim, đột quỵ... Ngoài ra, vitamin B12 còn có tác dụng làm giảm hàm lượng cholesterol trong máu và hạn chế nguy cơ dẫn đến chứng huyết áp cao, kiểm soát tốt quá trình xơ vữa động mạch ở những người có tiền sử bệnh này. Vitamin B12 có công thức cấu tạo được mô tả như hình dưới.

a. Trong công thức cấu tạo có nhiều nhóm chức amide.
b. Nguyên tử trung tâm có số phối trí bằng 6.
c. Vitamin B12 có hàm lượng cao trong các loại rau màu đỏ.
d. Đối với những người từ 14 đến 50 tuổi, liều khuyến nghị vitamin B12 là 2,4 microgam/ngày. Một người ăn 2 quả trứng vào buổi sáng, 85 gam cá ngừ cho bữa trưa, và 85 gam thịt bò cho buổi tối đủ đảm bảo cung cấp lượng vitamin B12 cho 1 ngày.
Biết:
Loại thực phẩm | Hàm lượng B12 |
1 quả trứng | 0,6 microgam |
100 gam cá ngừ | 2,9 microgam |
100 gam thịt bò | 1,6 microgam |
PHẦN III. Thí sinh trả lời từ câu 1 đến câu 6 .
Câu 1. Ở nhiệt độ cao, magnesium nitrate bị phân hủy theo phản ứng:

Cho biết:
Chất | Mg(NO3)2(s) | MgO(s) | NO2(g) | O2(g) |
| -790,6 | -601,6 | +33,1 | 0 |
Biến thiên enthalpy chuẩn của phản ứng trên là bao nhiêu kJ? (Làm tròn kết quả đến hàng đơn vị).
Câu 2. Poly(butylene adipate terephthalate) (PBAT) là một polymer có khả năng phân huỷ sinh học, có tên thương mại là Ecoflex. PBAT có đặc tính tương tự như polyethylene mật độ thấp (LDPE) nên nó được sử dụng làm túi nylon, bao bì thực phẩm phân huỷ sinh học. PBAT được điều chế từ ba monomer sau đây:
Một mắt xích PBAT gồm bao nhiêu nhóm ester?
Câu 3. Đường nghịch chuyển (invert sugar) là hỗn hợp gồm các lượng như nhau của fructose và glucose, được tạo ra từ quá trình thuỷ phân saccharose. Trong đời sống, đường nghịch chuyển được điều chế ở dạng siro. Loại đường này được sử dụng rộng rãi trong sản xuất thực phẩm, đồ uống do có khả năng giữ nước cùng với có vị ngọt cao hơn từ 20% - 25% so với saccharose, mang lại hương vị mới, hữu ích cho sản phẩm.
Để sản xuất đường nghịch chuyển, người ta tiến hành đun sôi nhẹ dung dịch saccharose trong chảo lớn với xúc tác citric acid để làm giảm pH dung dịch xuống 1,6. Để thu được 10,5 tấn đường nghịch chuyển thì người ta phải sử dụng bao nhiêu tấn saccharose? (Làm tròn kết quả đến hàng đơn vị).
Câu 4. Quá trình sản xuất aluminium từ quặng bauxite gồm tinh chế bauxite và trộn Al2O3 thu được với cryolite (Na3AlF6) rồi điện phân nóng chảy. Trường hợp bể điện phân chưa đúng tiêu chuẩn, sản phẩm là Al có lẫn Na. Cho 1,0 gam hỗn hợp sản phẩm phản ứng với dung dịch sulfuric acid loãng, dư, thoát ra 1,356 L khí hydrogen (25o C và 1 bar). Hàm lượng tạp chất Na có trong sản phẩm là bao nhiêu? (Làm tròn kết quả đến hàng phần mười)
Câu 5. Trong quá trình đốt than sinh điện, các nhà máy nhiệt điện phát sinh nhiều loại chất thải, bao gồm: bụi thải, khí thải, chất thải rắn có tro xỉ, rác bẩn...Các sản phẩm khí sau khi đốt cháy nhiên liệu như CO2, NO, SO2 và một số khí khác có nồng độ ít hơn như HCl, NO2, N2O và SO3. Hầu hết các khí thải này đều có tác hại đối với môi trường.
Một loại than đá X được dùng cho một nhà máy nhiệt điện. Nếu trong một ngày đêm nhà máy đốt hết 100 tấn than đá X, thì lượng SO2 do nhà máy nhiệt điện xả vào khí quyển trong một năm là 1460 tấn. Hàm lượng phần trăm sulfur có trong loại than đá X là bao nhiêu?
Câu 6. Hydrazine (N2H4) được sử dụng rộng rãi trong tổng hợp hoá hữu cơ và là một thành phần quan trọng trong nhiên liệu tên lửa, có mùi giống ammonia nhưng lại rất nguy hiểm. Khối lượng NH3 tạo thành khi tiến hành phân huỷ 135,2 gam N2H4 là bao nhiêu? (kết quả làm tròn đến hàng phần mười). Giả sử phản ứng phân huỷ xảy ra hoàn toàn chỉ tạo thành ammonia và nitrogen.
….Hết….