









Preview text:
ĐỀ ÔN TẬP CK1 VẬT LÍ 11 NĂM 2025-2026 PHẦN I: TRẮC NGHIỆM
Câu 1: Dao động điều hòa là
A. dao động mà đồ thị li độ thời gian của vật là một đường hình sin.
B. những chuyển động có trạng thái lặp đi lặp lại như cũ sau những khoảng thời gian bằng nhau.
C. dao động có biên độ phụ thuộc vào tần số riêng của hệ dao động.
D. những chuyển động có giới hạn trong không gian, lặp đi lặp lại nhiều lần quanh một vị trí cân bằng.
Câu 2: Phương trình li độ của vật dao động điều hoà có dạng x = Acos(t + )(cm) . Đại lượng A được gọi là: A. biên độ dao động.
B. chu kỳ dao động. C. pha dao động.
D. tần số dao động.
Câu 3: Chu kì của vật dao động điều hòa là
A. khoảng thời gian giữa hai lần vật đi qua VTCB.
B. khoảng thời gian ngắn nhất vật có li độ như cũ.
C. khoảng thời gian vật đi từ li độ cực đại âm đến li độ cực dương.
D. khoảng thời gian vật dùng để thực hiện một dao động trọn vẹn.
Câu 4: Một vật dao động điều hòa trên trục Ox. Hình bên là đồ thị biểu
diễn sự phụ thuộc của li độ x vào thời gian t. Tần số f của dao động là
A. 0,4 Hz. B. 10 Hz. C. 5 Hz. D. 2,5 Hz
Câu 5: Phương trình gia tốc của vật dao động điều hoà là
A. a = 2.x
B. a = - 2A.sin( t + )
C. a = - 2A.cos( t + )
D. a = - A.cos( t + )
Câu 6: Một chất điểm dao động điều hòa trên trục Ox.
Đồ thị biểu diễn li độ, vận tốc, gia tốc theo thời gian có dạng
như hình bên.Đường (1), (2) và (3) lần lượt biểu diễn
A. a, v, x. B. v, x, a. C. x, v, a. D. x, a, v.
Câu 7: Biểu thức tính năng lượng con lắc lò xo dao động điều hòa là 1 1 A.W = mωA. B. W = mωA2 2 2 1 1 C.W = k2A. D. W = mω2A2. 2 2
Câu 8: Vào thời điểm ban đầu, vật dao động điều hoà đi qua VTCB thì vào thời điểm T/12, tỉ số giữa động năng
và thế năng của nó sẽ bằng A. 1. B. 3. C. 2. D. 1/3.
Câu 9: Phát biểu nào sau đây không đúng? Đối với dao động cơ tắt dần thì
A. cơ năng giảm dần theo thời gian. B. biên độ dao động giảm dần theo thời gian.
C. tần số giảm dần theo thời gian. D. ma sát và lực cản càng lớn thì dao động tắt dần càng nhanh.
Câu 10 Một người đi xe đạp chở một thùng nước đi trên một vỉa hè lát bê tông, cứ 4,5m có một rãnh nhỏ. Khi
người đó chạy với vận tốc 32,4 km/h thì nước trong thùng bị văng tung toé mạnh nhất ra ngoài. Tần số dao động
riêng của nước trong thùng là A. 1,5Hz. B. 2Hz. C. 4Hz. D. 6,5Hz.
Câu 11: Bước sóng là
A. quãng đường mà mỗi phần tử của môi trường đi được trong 1s.
B. khoảng cách giữa hai phần tử của sóng dao động ngược pha.
C. khoảng cách giữa hai phần tử của sóng dao động cùng pha.
D. khoảng cách giữa hai phần tử của sóng gần nhất dao động cùng pha.
Câu 12: Sóng cơ là
A. sự truyền chuyển động cơ trong không khí.
B. những dao động cơ lan truyền trong môi trường vật chất đàn hồi.
C. chuyển động tương đối của vật này so với vật khác.
D. sự co dãn tuần hoàn giữa các phần tử của môi trường.
Câu 13: Hình bên là đồ thị li độ - thời gian của một sóng hình sin.
Biết tốc độ truyền sóng là 50 cm/s. Biên độ và bước sóng của sóng này là
A. 5 cm; 50 cm. B. 10 cm; 0,5 m. C. 5 cm; 0,25 m. D. 10 cm; 1 m.
Câu 14: Phát biểu nào sau đúng?
A. Sóng dọc có phương dao động phần tử môi trường vuông góc với phương lan truyền sóng.
B. Tần số sóng âm càng lớn thì màng nhĩ dao động cũng có tần số càng lớn.
C. Sóng dọc truyền được trong chân không.
D. Sóng âm là sóng ngang.
Câu 15: Để phân loại sóng ngang hay sóng dọc người ta dựa vào
A. tốc độ truyền sóng và bước sóng.
B. phương truyền sóng và tần số sóng.
C. phương truyền sóng và tốc độ truyền sóng.
D. phương dao động và phương truyền sóng.
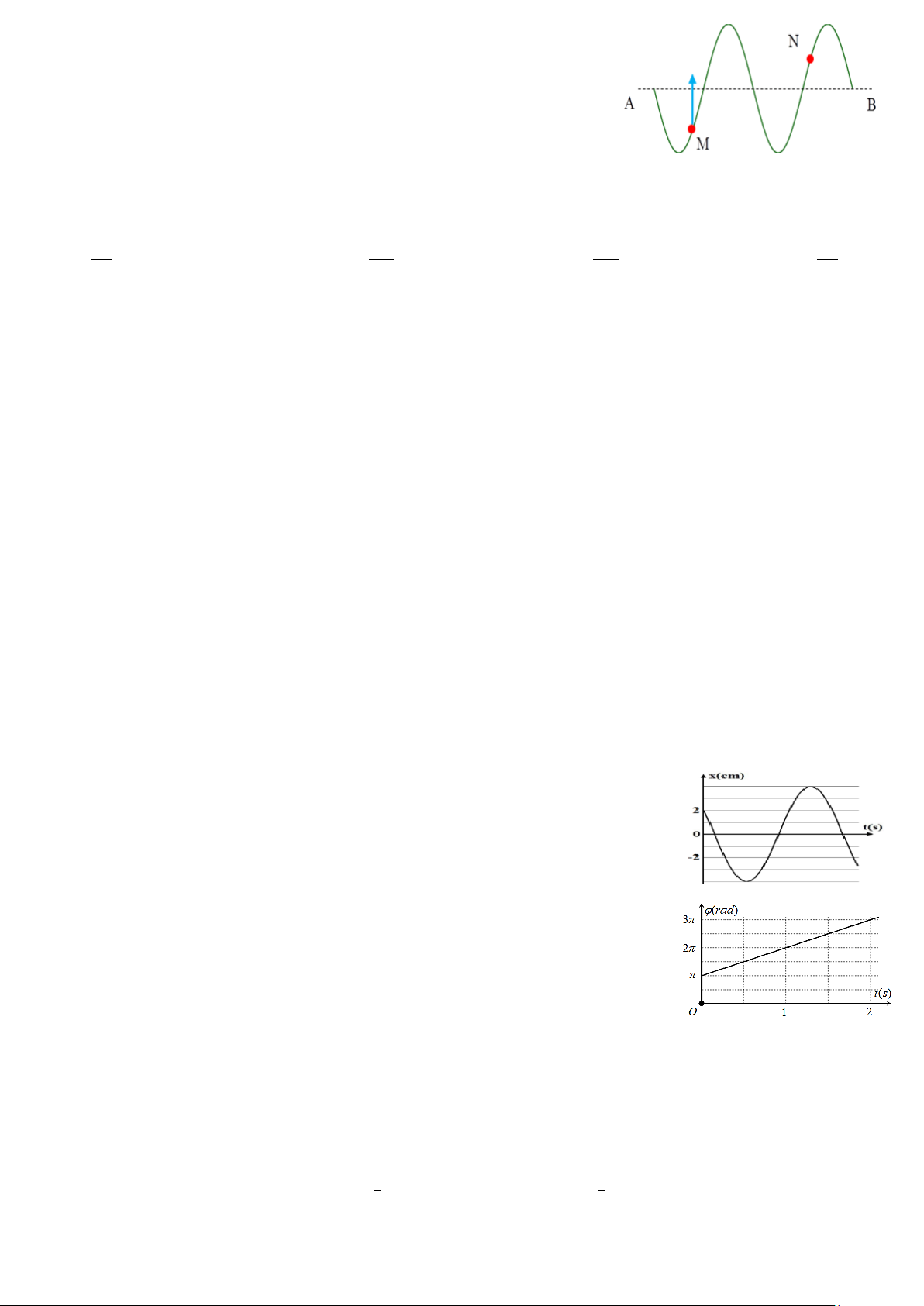
Câu 16: Một sóng ngang truyền theo phương AB. Tại một thời điểm nào đó,
hình dạng sóng có dạng như hình vẽ. Biết rằng điểm M đang đi lên vị trí cân
bằng. Khi đó điểm N đang chuyển động
A. đi xuống. B. đứng yên. C. chạy ngang. D. đi lên.
Câu 17: Khi nói về sóng điện từ, phát biểu nào sau đây là sai?
A. Sóng điện từ là điện từ trường lan truyền trong không gian.
B. Sóng điện từ là sóng ngang.
C. Sóng điện từ chỉ truyền được trong môi trường vật chất đàn hồi.
D. Sóng điện từ truyền trong chân không có tốc độ bằng 3.108 m/s.
Câu 18: Biểu thức xác định khoảng vân trong thí nghiệm giao thoa ánh sáng đơn sắc của Y-Âng là A. a D a D i = . B. i = . C. i = . D. i = . D a D a
Câu 19: Điều kiện để hai sóng cơ khi gặp nhau, giao thoa được với nhau là hai sóng phải xuất phát từ hai nguồn dao động
A. cùng biên độ và có hiệu số pha không đổi theo thời gian.
B. cùng tần số, cùng phương
C. có cùng pha ban đầu và cùng biên độ.
D. cùng tần số, cùng phương và có độ lệch pha không đổi theo thời gian.
Câu 20: Trong TN Iâng về giao thoa ánh sáng của Y-Âng, khoảng cách giữa hai khe là 2 mm, khoảng cách từ
hai khe đến màn là 2 m, ánh sáng đơn sắc có bước sóng 0,5 m. Khoảng cách từ vân sáng bậc 1 đến vân sáng
bậc 10 ở cùng phía với nhau so với vân sáng chính giữa là A. 4,5 mm. B. 5,5 mm. C. 4,0 mm. D. 5,0 mm
Câu 21: Trong thí nghiệm giao thoa ánh sáng của Y -Âng, ánh sáng đơn sắc có bước sóng = 0,42 m. Khi
thay ánh sáng khác có bước sóng ’ thì khoảng vân tăng 1,5 lần. Bước sóng ’ là A. 0,42 m. B. 0,63 m. C. 0,55 m. D. 0,72 m.
Câu 22: Một nguồn sáng đơn sắc có = 0,6 m chiếu vào mặt phẳng chứa hai khe hẹp, hai khe cách nhau 1mm.
Màn ảnh cách màn chứa hai khe là 1m. Khoảng cách gần nhất giữa hai vân tối là A. 0,3mm. B. 0,5mm. C. 0,6mm. D. 0,7mm.
Câu 23: Dao động tuần hoàn là
A. chuyển động của những vật có tính chu kì trong không gian.
B. dao động cơ sau những khoảng thời gian bằng nhau vật trở về vị trí cũ theo hướng cũ.
C. chuyển động của vật có đồ thị là đường thẳng đi qua gốc tọa độ.
D. dao động có độ lớn vận tốc và gia tốc biến thiên theo hàm bậc hai của thời gian.
Câu 24: Trong dao động điều hòa, li độ là hàm
A. sin hoặc cos theo thời gian.
B. tan hoặc cotan theo thời gian.
C. bậc nhất theo thời gian.
D. bậc hai theo thời gian.
Câu 25: Một chất điểm dao động điều hòa có li độ phụ thuộc thời gian theo hàm
cosin như hình vẽ. Chất điểm có biên độ là: A. 4 cm. B. 2 cm. C. -4 cm. D. -2 cm.
Câu 26: Một vật dao động điều hòa với phương trình x = 4cos(ωt + φ0) cm (t được
tính bằng giây). Đồ thị biểu diễn sự phụ thuộc của pha dao động của vật vào thời
gian được cho như hình vẽ. Li độ của vật tại thời điểm t = 1 s là A. 4 cm. B. 1 cm. C. 2 cm. D. 3 cm.
Câu 27: Khi xảy ra hiện tượng cộng hưởng cơ thì vật tiếp tục dao động
A. với tần số bằng tần số dao động riêng. B. mà không chịu ngoại lực tác dụng.
C. với tần số lớn hơn tần số dao động riêng. D. với tần số nhỏ hơn tần số dao động riêng.
Câu 28: Biên độ của dao động cưỡng bức phụ thuộc vào yếu tố nào sau đây?
A. Độ lệch pha giữa dao động riêng của ngoại lực cưỡng bức
B. Tần số của ngoại lực cưỡng bức và biên độ dao động riêng ban đầu của hệ.
C. Tần số và biên độ dao động riêng ban đầu của hệ
D. Độ chênh lệch giữa tần số của ngoại lực với tần số riêng của hệ.
Câu 29: Một sóng cơ hình sin truyền theo trục Ox. Công thức liên hệ giữa tốc độ truyền sóng v, bước sóng λ và
tần số f của sóng là A. λ = 2πfv. B. λ = v. C. λ = vf. D. λ = f. f v
Câu 30: Khi một sóng cơ truyền từ không khí vào nước thì đại lượng nào sau đây không đổi?
A. Tần số của sóng.
B. Tốc độ truyền sóng.
C. Biên độ sóng. D. Bước sóng.
Câu 31: Một sóng dọc truyền trong một môi trường thì phương dao động của các phần tử môi trường
A. là phương ngang.
B. là phương thẳng đứng
C. trùng với phương truyền sóng
D. vuông góc với phương truyền sóng.
Câu 32: Tại một điểm, đại lượng đo bằng lượng năng lượng mà sóng âm truyền qua một đơn vị diện tích đặt tại
điểm đó, vuông góc với phương truyền sóng trong một đơn vị thời gian là
A. cường độ âm. B. độ to của âm.
C. mức cường độ âm.
D. độ cao của âm.
Câu 33: Một lá thép dao động với chu kì T = 50ms. Âm do lá thép phát ra có nghe được không
A. nghe được vì âm có tần số ở ngưỡng siêu âm
B. nghe được vì âm có tần số nằm trong vùng của sóng âm
C. không thể nghe được vì âm có tần số quá bé nằm trong vùng hạ âm
D. không thể nghe được vì âm có tần số quá lớn ở ngưỡng siêu âm
Câu 34: Đầu A của một dây cao su nằm ngang, được nối với nguồn phát dao động theo phương vuông góc với
dây có chu kì 0,25 s. Sau 1,5 s thì dao động truyền được 4,5 m dọc theo phương truyền sóng. Bước sóng trên dây là: A. 0,125 m. B. 0,25 m. C. 0,375 m. D. 0,75 m.
Câu 35: Một sóng ngang hình sin truyền trên một sợi dây dài theo chiều dương
trục Ox. Hình vẽ bên là hình dạng của một đoạn dây tại một thời điểm xác định.
Độ lệch pha giữa M và N là
A. 5π. B. π. C. 2π. D. π. 6 6 3 3
Câu 36: Sóng điện từ
A. là sóng dọc hoặc sóng ngang.
B. là điện từ trường lan truyền trong không gian.
C. có thành phần điện trường và thành phần từ trường tại một điểm dao động cùng phương.
D. không truyền được trong chân không.
Câu 37: Trong chân không, sóng điện từ có bước sóng nào sau đây là sóng vô tuyến? A. 60 m. B. 0,3 nm. C. 60 pm. D. 0,3 μm.
Câu 38: Khoảng cách từ một anten đến một vệ tinh địa tĩnh là 36000 km. Lấy tốc độ lan truyền sóng điện từ là
3.108 m/s. Thời gian truyền một tín hiệu sóng vô tuyến từ vệ tinh đến anten bằng A. 1,08 s. B. 12 ms. C. 0,12 s. D. 10,8 ms.
Câu 39: Lấy c= 3.108 m/s. Bức xạ có tần số 1,5.1015Hz là A. Tia hồng ngoại B. Tia Rơn-Ghen C. Tia tử ngoại
D. Ánh sáng nhìn thấy
Câu 40: Trong giao thoa sóng cơ, hai nguồn kết hợp là hai nguồn dao động
A. cùng biên độ nhưng khác tần số dao động.
B. cùng tần số nhưng khác phương dao động.
C. cùng phương, cùng biên độ nhưng có hiệu số pha thay đổi theo thời gian.
D. cùng phương, cùng tần số và có hiệu số pha không đổi theo thời gian.
Câu 41: Chọn câu sai khi nói về giao thoa giữa hai sóng cùng phương, cùng tần số, cùng pha:
Một điểm dao động với biên độ cực đại khi
A. hiệu đường đi của hai sóng truyền tới điểm đó bằng số nguyên lần nửa bước sóng.
B. hai sóng truyền tới điểm đó cùng pha nhau.
C. hiệu đường đi của hai sóng truyền tới điểm đó bằng số nguyên lần bước sóng.
D. độ lệch pha của hai sóng truyền tới điểm đó là Δφ = 2kπ.
Câu 42: Trong thí nghiệm Y-âng về giao thoa ánh sáng với hai nguồn cùng pha, vị trí M trên màn quan sát là
vân tối khi hai sóng ánh sáng đến M là A. cùng pha B. ngược pha
C. có độ lệch pha bằng không
D. có độ lệch pha không đổi theo thời gian
Câu 43: Sóng dừng là
A. sóng trên sợi dây mà hai đầu cố định.
B. sóng được tạo thành giữa hai điểm cố định trong một môi trường.
C. Sóng được tạo thành do sự giao thoa giữa sóng tới và sóng phản xạ.
D. sóng không lan truyền nữa khi gặp vật cản.
Câu 44: Sóng dừng xảy trên dây đàn hồi 2 đầu cố định khi
A. bước sóng gấp đôi chiều dài của dây. B. chiều dài của dây bằng bội số nguyên nửa bước sóng.
C. bước sóng bằng một số lẻ chiều dài của dây.
D. chiều dài của dây bằng một phần tư bước sóng.
Câu 45: Khi có sóng dừng trên một sợi dây đàn hồi, dài thì khoảng cách giữa 2 điểm nút hoặc 2 điểm bụng liên tiếp bằng
A. một bước sóng. B. hai bước sóng. C. một phần hai bước sóng.
D. một phần tư bước sóng.
Câu 46: Thí nghiệm Young với ánh sáng đơn sắc, khoảng cách giữa hai vân sáng bậc 3 trên màn là 8,4 mm.
Khoảng cách giữa một vân sáng và một vân tối trên màn có thể nhận giá trị nào sau đây A. 4,2 mm. B. 5,6 mm. C. 9,8 mm. D. 4,9 mm.
Câu 47: Tại hai điểm A và B trên mặt nước có hai nguồn sóng kết hợp, cùng pha nhau, cùng biên độ a, bước
sóng là 10 cm. Coi biên độ sóng không đổi khi truyền đi. Điểm M trên mặt nước cách A, B những đoạn 25 cm,
35 cm sẽ dao động với biên độ bằng A. 2a B. 0 C. 𝑎 D. 𝑎√2
Câu 48: Một sợi dây chiều dài l căng ngang, hai đầu cố định. Trên dây đang có sóng dừng với n bụng sóng, tốc
độ truyền sóng trên dây là v. Khoảng thời gian giữa hai lần liên tiếp sợi dây duỗi thẳng là A. l . B. l . C. v . D. nv. 2nv nv nl l
Câu 49: Một dây đàn dài 40 cm, căng ở hai đầu cố định, khi dây dao động với tần số 600 Hz ta quan sát trên dây
có sóng dừng với hai bụng sóng. Bước sóng trên dây là
A. λ = 13,3cm. B. λ = 80cm. C. λ = 20cm. D. λ = 40cm.
Câu 50: Ứng dụng của hiện tượng sóng dừng là để đo
A. bước sóng.
B. tốc độ truyền sóng. C. tần số. D. chu kỳ.
Câu 51. Trong vùng hai sóng kết hợp gặp nhau, những điểm có khoảng cách tới hai nguồn sóng lần lượt là d1 và
d2 sẽ dao động với biên độ cực đại khi A.
d − d = k , (với k Z).
B. d − d = k , (với k Z). 2 1 2 2 1
C. d − d = (k +1) , (với k Z). D. 1 − = + , (với k Z). 2 1 d d (k ) 2 1 2
Câu 52. Dao động tắt dần
A. luôn có hại.
B. có biên độ không đổi theo thời gian.
C. có biên độ giảm dần theo thời gian. D. luôn có lợi.
Câu 53. Dao động nào sau đây là dao động tự do?
A. Dao động của con lắc đơn trong dầu nhớt.
B. Dao động của con lắc lò xo khi không có lực cản.
C. Dao động của lò xo giảm xóc.
D. Dao động của cành cây đu đưa khi gió thổi.
Câu 54. Một sóng cơ có tần số f, truyền trên sợi dây đàn hồi với tốc độ truyền sóng v. Bước sóng trên dây được v v v
xác định bởi A. = . B. = . v f . C. = . D. = . T f 2 f
Câu 55. Trên một sợi dây dần hồi có hai đầu cố định, đang có sóng dừng với 5 bụng sóng. Số nút sóng trên dây
(không tính 2 đầu cố định) là A. 5. B. 6. C. 3. D. 4.
Câu 56. Trong thí nghiệm Young, vân tối thứ hai xuất hiện ở trên màn tại các vị trí mà hiệu đường đi của ánh 3
sáng từ hai nguồn đến các vị trí đó bằng A. . B. . C. . D. 2 . 2 2
Câu 57. Đặc điểm nào sau đây không đúng với tính chất của sóng điện từ?
A. Có mang năng lượng. B. Là sóng ngang.
C. Lan truyền với tốc độ rất lớn, cỡ bằng tốc độ ánh sáng trong chân không.
D. Truyền được trong mọi môi trường, trừ chân không.
Câu 58. Chọn câu đúng. Sóng cơ là
A. dao động lan truyền trong không gian theo thời gian.
B. dao động của mọi điểm trong không gian theo thời gian.
C. một dạng chuyển động đặc biệt của môi trường.
D. sự truyền chuyển động của các phần tử trong không gian theo thời gian.
Câu 59. Biên độ của dao động cưỡng bức không phụ thuộc
A. biên độ ngoại lực tuần hoàn tác dụng lên vật.
B. tần số ngoại lực tuần hoàn tác dụng lên vật.
C. pha ban đầu của ngoại lực tuần hoàn tác dụng lên vật.
D. hệ số lực cản (của ma sát nhớt) tác dụng lên vật dao động.
Câu 60. Một vật dao dao động điều hòa trên trục Ox. Hình vẽ bên là đồ thị biểu
diễn sự phụ thuộc của li độ x vào thời gian t. Tần số góc của dao động có giá trị
A. 0,8 rad/s. B. 0,4 rad/s. C. 5π rad/s. D. 2,5π rad/s.
Câu 61. Một sóng cơ học có tần số 120 Hz truyền trong một môi trường với vận tốc 60 m/s, thì bước sóng là A. 1 m. B. 0,5 m. C. 2 m. D. 0,25 m.
Câu 62. Một vật dao động điều hòa với phương trình li độ: x = 4cos(2πt) (cm). Vận tốc của vật dao động có phương trình
A. v = - 8πsin(20πt) (cm/s). B . v = 8πsin(2πt) (cm/s). C. v = - 8πcos(2πt) (cm/s). D. v = 8πcos(2πt) (cm/s).
Câu 63. Trong hiện tượng sóng dừng trên một sợi dây có hai đầu cố định, khoảng cách giữa hai nút hoặc hai
bụng liên tiếp bằng A. một bước sóng. B. hai bước sóng. C. một nửa bước sóng. D. một phần tư bước sóng.
Câu 64. Từ hình ảnh sóng dừng trên dây như hình vẽ. Phát biểu nào sau đây là đúng A. A là nút sóng. B. B là bụng sóng. C. A là bụng sóng.
D. A và B không phải là nút sóng.
Câu 65. Một vật dao dao động điều hòa trên trục Ox. Hình vẽ bên là đồ thị biểu
diễn sự phụ thuộc của li độ x vào thời gian t. Tại thời điểm t = 0,5 s, giá trị li độ
và chiều chuyển động của vật là
A. x = 2 cm, theo chiều âm. B. x = - 2 cm, theo chiều dương.
C. x = - 2 cm, theo chiều âm. D. x = 2 cm, theo chiều dương.
Câu 66. Một sóng hình sin truyền trên một sợi dây dài. Ở thời điểm t, hình dạng
của một đoạn dây như hình vẽ. Các vị trí cân bằng của các phần tử trên dây cùng
nằm trên trục Ox. Bước sóngcủa sóng này bằng
A. 18 cm. B. 48 cm. C. 36 cm. D. 24 cm.
Câu 67. Trong hiện tượng giao thoa sóng trên mặt nước, khoảng cách giữa hai
cực tiểu liên tiếp nằm trên đường nối hai tâm sóng bằng
A. hai lần bước sóng. B. một bước sóng. C. một nửa bước sóng.
D. một phần tư bước sóng.
Câu 68. Tại điểm phản xạ thì sóng phản xạ
A. luôn ngược pha với sóng tới.
B. ngược pha với sóng tới nếu vật cản tự do.
C. cùng pha với sóng tới nếu vật cản cố định.
D. ngược pha với sóng tới nếu vật cản cố định.
Câu 69. Hiện tượng giao thoa ánh sáng chỉ quan sát được khi hai nguồn ánh sáng là hai nguồn A. đơn sắc. B. kết hợp. C. cùng màu sắc.
D. cùng cường độ.
Câu 70. Để phân loại sóng ngang và sóng dọc người ta dựa vào
A. vận tốc truyền sóng và bước sóng.
B. phương truyền sóng và tần số sóng.
C. phương dao động và vận tốc truyền sóng.
D. phương dao động và phương truyền sóng.
Câu 71. Một vật dao động điều hòa với tần số góc . Khi vật ở vị trí có li độ x thì gia tốc của vật là A. 2 − x . B. 2 x .
C. x . D. 2 2 − x .
Câu 72. Một vật dao động điều hòa có phương trình li độ x = 4cos 2 t − (cm)
. Tần số góc của dao động là 3 A. 2π rad/s. B. 2πt rad/s. C. 4 rad/s. D. - π/3 rad/s.
Câu 73. Trong thí nghiệm Young về giao thoa ánh sáng có khoảng vân là i thì khoảng cách giữa 4 vân sáng liên tiếp là A. 4,5i. B. 3,5i. C. 3i. D. 4i.
Câu 74. Khoảng vân là khoảng cách giữa
A. một vân sáng và một vân tối bất kì.
B. hai vân sáng liên tiếp.
C. vân sáng và vân tối cạnh nhau.
D. ba vân sáng liên tiếp.
Câu 75. Dao động tắt dần có biên độ A. tăng dần. B. giảm dần. C. không đổi.
D. tăng đến cực đại rồi giảm.
Câu 76. Sóng dọc là sóng mà dao động của các phần tử môi trường có phương A. nằm ngang.
B. vuông góc với phương truyền sóng.
C. trùng với phương truyền sóng. D. thẳng đứng.
Câu 77. Tia tử ngoại là sóng điện từ có bước sóng
A. lớn hơn bước sóng của tia màu đỏ.
B. nhỏ hơn bước sóng của tia X.
C. lớn hơn bước sóng của tia X.
D. lớn hơn bước sóng của tia hồng ngoại.
Câu 78. Ánh sáng nhìn thấy có bước sóng nhỏ hơn bước sóng của A. tia X. B. tia hồng ngoại. C. tia gamma. D. tia tử ngoại.
Câu 79. Trong các trường hợp sau đây, sự tắt dần nhanh có lợi là
A. con lắc lò xo trong phòng thí nghiệm.
B. con lắc đơn trong phòng thí nghiệm.
C. quả lắc đồng hồ.
D. khung xe ôtô sau khi qua đoạn đường gồ ghề.
Câu 80. Một sóng cơ hình sin truyền trong một môi trường. Bước sóng là quãng đường mà sóng truyền được trong: A. hai chu kì.
B. một nửa chu kì. C. một chu kì.
D. một phần tư chu kì.
Câu 81. Trong thí nghiệm giao thoa hai sóng ánh sáng với khe Young, biết hai khe cách nhau 2 mm, khoảng
cách từ hai khe sáng đến màn quan sát là 2 m, sử dụng nguồn sáng đơn sắc có bước sóng 0,5 µm thì khoảng cách
hai vân tối liên tiếp là A. 0,5 mm. B. 1 mm.
C. 4 mm. D. 2 mm.
Câu 82. Một sóng cơ truyền trong một môi trường với tốc độ không đổi, nếu giảm tần số của sóng xuống còn
một nửa thì bước sóng A. giảm bốn lần. B. không thay đổi. C. giảm hai lần. D. tăng gấp đôi.
Câu 83. Trong thí nghiệm Young về giao thoa ánh sáng đơn sắc, nếu ta thay đổi ánh sáng có bước sóng 0,4 µm
bằng ánh sáng khác có bước sóng 0,6 µm mà các điều kiện khác giữ không đổi thì khoảng vân A. giảm 6 lần. B. tăng 4 lần. C. giảm 1,5 lần. D. tăng 1,5 lần.
Câu 84. Bước sóng của sóng cơ là quãng đường mà sóng truyền được trong thời gian
A. một tần số. B. một phút.
C. một chu kì. D. một giây.
Câu 85. Với c là tốc độ ánh sáng trong chân không. Sóng điện từ có tần số f truyền trong chân không thì có bước sóng là c f 1 A. = . B. = . C. = c.f. D. = . f c c.f
Câu 86. Một sóng cơ lan truyền trong môi trường với tần số sóng là 10 Hz. Các phần tử môi trường khi có sóng
truyền qua dao động với tần số bằng A. 40 Hz. B. 10 Hz. C. 20 Hz. D. 5 Hz.
Câu 87. Trong thí nghiệm giao thoa khe Young, trên màn quan sát người ta đo được khoảng cách giữa 5 vân
sáng liên tiếp là 3 mm. Khoảng cách giữa hai khe hẹp là 1,5 mm, khoảng cách từ mặt phẳng chứa hai khe đến
màn là 1,5 m. Bước sóng của ánh sáng dùng trong thí nghiệm là A. 0,60 m . B. 0,75 m . C. 0,65 m . D. 0,70 m .
Câu 88. Vật dao động điều hòa với chu kì T thì tần số của dao động là 1 2 T A. f = . B. f = . C. f = 2 T . D. f = . T T 2
Câu 89. Trong thí nghiệm giao thoa khe Young thu được khoảng vân là i. Vị trí vân tối được xác định theo công thức 1 A. = ( + ) i x 2k 1 với k = 0, 1, 2,... B. x = k + i với k = 0, 1, 2,... 4 2 ki
C. x = ki với k = 1, 2, 3,... D. x = với k = 1, 2, 3,... 2
Câu 90. Một sóng cơ hình thành trên mặt nước. Trên cùng một phương truyền sóng, hai đỉnh sóng liền kề cách
nhau 10 cm. Bước sóng của sóng này là A. 40 cm. B. 20 cm. C. 10 cm. D. 5 cm.
Câu 90. Cho các vùng sóng điện từ: tia X, tia hồng ngoại, tia tử ngoại. Sắp xếp theo thứ tự tăng dần của bước
sóng của các vùng này là
A. tia hồng ngoại, tia X, tia tử ngoại.
B. tia hồng ngoại, tia tử ngoại, tia X.
C. tia X, tia hồng ngoại, tia tử ngoại.
D. tia X, tia tử ngoại, tia hồng ngoại.
Câu 92. Trong thí nghiệm giao thoa khe Young, ánh sáng có bước sóng , khoảng cách giữa hai khe là a, khoảng
cách từ hai khe đến màn quan sát là D. Khoảng vân thu được là a a D D A. i = . B. i = . C. i = . D. i = . D 2D a 2a
Câu 93. Dao động có biên độ giảm dần theo thời gian gọi là dao động
A. cưỡng bức. B. tắt dần.
C. điều hòa. D. tuần hoàn.
Câu 94. Hai nguồn phát sóng cơ kết hợp không cần có đặc điểm nào sau đây?
A. Dao động cùng phương.
B. Dao động cùng biên độ.
C. Dao động cùng tần số.
D. Độ lệch pha không đổi.
Câu 95. Con lắc lò xo với lò xo có độ cứng k, vật nặng có khối lượng m, dao động điều hòa với chu kì là k 1 m 1 k m A. T = 2 . B. T = . C. T = . D. T = 2 . m 2 k 2 m k
Câu 96. Một sóng hình sin lan truyền trên một sợi dây dài theo chiều u (mm)
từ trái sang phải. Hình dưới đây là hình ảnh của sóng tại thời điểm
đang xét. Bước sóng của sóng trên dây này là 10 A. 8 cm. B. 8 mm. O 2 4 6 8 10 12 14 x (cm) C. 10 cm. D. 10 mm. -10
Câu 97. Trên sợi dây đang hình thành sóng dừng, người ta đo được
khoảng cách giữa 3 nút sóng liên tiếp là 10 cm. Bước sóng của sóng trên dây là A. 10,0 cm. B. 3,3 cm. C. 5,0 cm. D. 6,7 cm.
Câu 98. Một sóng cơ có tần số 50 Hz lan truyền với tốc độ 20 m/s. Bước sóng của sóng cơ này là A. 1,0 m. B. 0,4 m. C. 2,5 m. D. 1,0 km.
Câu 99. Trên mặt nước có hệ vân giao thoa của hai nguồn phát sóng cơ kết hợp cùng pha. Điểm M trong trường
giao thoa có hiệu khoảng cách tới hai nguồn là d,
bước sóng của sóng là .
Trong trường hợp nào sau đây, M
là một điểm cực đại giao thoa? A. d = 2 . B. d = 2,5 . C. d =1,5 . D. d =1,2 .
Câu 100. Một vật dao động điều hòa dọc theo trục Ox. Chọn gốc thế năng tại vị trí cân bằng O của vật. Phát biểu nào sau đây đúng?
A. Khi vật dao động từ O về biên thì thế năng của vật giảm.
B. Khi vật dao động từ biên về O thì cơ năng của vật tăng.
C. Khi vật dao động từ O về biên thì cơ năng của vật giảm.
D. Khi vật dao động từ biên về O thì động năng của vật tăng.
PHẦN II. Trong mỗi ý a, b, c, d ở mỗi câu, thí sinh chọn đúng hoặc sai.
Câu 1: Một vật nhỏ dao động điều hoà có đồ thị li độ - thời gian như hình vẽ.
a) Tần số dao động của vật là 1,5 Hz. (……)
b) Chiều dài quỹ đạo dao động của vật là 4 cm. (……)
c) Ở thời điểm 11s vật chuyển động qua vị trí x = -2 cm theo chiều âm. (……) 6
d) Tốc độ trung bình khi vật đi được quãng đường 13 cm là 19,5 cm/s. (……)
Câu 2: Một vật đang dao động điều hòa trên một đoạn thẳng, chiều dài quỹ đạo
là 5cm , chu kì T = 0,5s . Tại thời điểm ban đầu vật đang đi qua vị trí cân bằng theo chiều dương.
a) Biên độ dao động của vật là 5cm . (……)
b) Tần số góc của dao động là 1rad s . (……)
c) Tại thời điểm ban đầu vật chuyển động với vận tốc v . (……) max
d) Phương trình dao động của vật x = 2,5cos(4 t − ) (cm; s). (……) 2
Câu 3: Trong một thí nghiệm giao thoa khe Young ánh sáng đơn sắc màu tím =0,4µm, 2 khe sáng cách nhau
1 mm. Khoảng cách giữa 2 khe đến màn quan sát là 2m
a) Trên màn quan sát người ta thấy có những vạch tối và vạch sáng (màu tím ) xen kẽ nhau, cách đều nhau nằm
về 1 phía của vân sáng trung tâm. (……)
b) Khoảng vân là 0,8mm. (……)
c) Tại A, B cách vân trung tâm 1,6mm và 3,5mm là hai vân sáng. (……)
d) Cho bề rộng màn quan sát là L= 13,4 mm số vân sáng quan sát được là 18. (……)
Câu 4: Một con lắc lò xo nằm ngang gồm vật nhỏ khối lượng 100g, độ cứng k. Kích thích cho con lắc dao động
điều hòa với chu kỳ 0,2 s, biên độ 10 cm. Lấy π2 = 10. Chọn gốc tọa độ, mốc thế năng tại vị trí cân bằng.
a) Độ cứng của lò xo k = 100 N/m. (……) b) Cơ năng của vật bằng 5000 J. (……)
c) Vật cách vị trí cân bằng 5 cm thì động năng của vật có độ lớn 0,375 J. (……)
d) Động năng cực đại của vật bằng 0,5 J. (……)
Câu 5: Thí nghiệm giao thoa sóng trên mặt nước với 2 nguồn đồng bộ A và B cách nhau 13,5 cm, tốc độ truyền
sóng là 0,5 m/s, bước sóng 2 cm.
a) Tần số của sóng bằng 25 Hz. (……)
b) Điểm M cách nguồn A, B lần lượt 12 cm và 9 cm là cực đại thứ 2. (……)
c) Số đường dao động với biên độ cực đại trên AB là 13. (……)
d) Dịch B dọc theo phương AB và hướng ra xa A một đoạn 13 cm thì trong quá trình dịch chuyển điểm M có 5
lần chuyển thành dao động cực đại. (……)
Câu 6. Trong thí nghiệm của Young về giao thoa ánh sáng. Hai khe hẹp cách nhau 1mm, khoảng cách từ màn
quan sát đến màn chứa hai khe hẹp là 1,25m. Ánh sáng đơn sắc dùng trong thí nghiệm có bước sóng λ1 = 0,64μm
a) Khoảng vân i bằng 0,8 mm. (…) b) Khoảng cách từ vân trung tâm đến vị trí vân sáng bậc 5 bằng 4 mm. (…) 1
c) Số vân sáng trên bề rộng vùng giao thoa 12,5 mm là 18. (……)
d) Chiếu đồng thời 2 ánh sáng đơn sắc có bước sóng λ1 = 0,64μm và λ2 = 0,48μm. Hai vân sáng trùng nhau được
gọi là vân trùng. Khoảng vân trùng bằng 2,4 mm. (……)
Câu 7. Khi nói về một vật dao động điều hòa
a. Gia tốc biến thiên điều hòa theo thời gian.
b. Động năng của vật không thay đổi theo thời gian.
c. Vận tốc của vật biến thiên điều hòa theo thời gian.
d. Cơ năng của vật biến thiên tuần hoàn theo thời gian.
Câu 8. Một vật có khối lượng 400g dao động điều hòa có đồ thị động
năng như hình vẽ. Tại thời điểm t = 0 vật đang chuyển động theo chiều dương, lấy π2 = 10.
a. Cơ năng của vật: W = 0,02J. (……) b. Chu kì dao động T = 1s. (……)
c. Tại thời điểm t = 0, vật cách VTCB 1 đoạn bằng 1/3 biên độ. (……)
d. Phương trình dao động của vật là: x = 5cos(πt- 𝜋 ) cm. (……) 3
Câu 9: Cho phương trình dao động điều hòa: 𝜋
𝑥 = 4 cos (4𝜋𝑡 − ) 𝑐𝑚. 3
a. Chiều dài quỹ đạo là 10 cm. (……)
b. Chu kỳ của dao động bằng 0,5 s. (……)
c. Tốc độ cực đại bằng 40𝜋 cm/s. (……)
d. Khi pha dao động bằng 2𝜋 thì gia tốc bằng 80𝜋2 cm/s2. (……) 3
Câu 10: Cho thí nghiệm Young có bước sóng ánh sáng là 0,6 µm. Biết khoảng cách giữa hai khe là 1 mm, khoảng
cách từ hai khe đến màn là 2 m.
a. Khoảng vân bằng 1,2 mm. (……)
b. Vị trí vân sáng bậc ba là 3,6. (……)
c. Vị trí vân tối thứ 2 là 1,8 mm. (……)
d. Tại vị trí cách vân trung tâm 6 m là vân sáng bậc 4. (……)
Câu 11: Một vật dao động điều hòa với phương trình: x = 2cos 2 t − (cm) 6
a. Tần số của dao động là 2 (Hz). (……)
b. Xác định chiều dài quỹ đạo 40mm. (……)
c. Khi t =1 s thì li độ của vật là 3 cm. (……)
d. Quãng đường vật đi được sau 2,2s là 20cm. (……)
Câu 12. Một con lắc đơn dao động điều hòa có đồ thị vận tốc – thời gian như hình vẽ, lấy = 2 = ( 2 g 10 m / s )
a. Tại biên, vận tốc của con lắc có độ lớn là 4 cm/s. (……) b. Chu kì dao động của con lắc là 2s. (……)
c. Chiều dài của con lắc đơn là 1m. (……)
d. Tại thời điểm vận tốc của vật có độ lớn bằng một nửa vận tốc cực đại thì li độ của vật có độ lớn là 2 2 (cm)
Câu 13. Trong một thí nghiệm về giao thoa ánh sáng với 2 khe Young, khoảng cách giữa hai khe hẹp là a = 2
mm, khoảng cách giữa mặt phẳng chứa hai khe với màn quan sát là D=1,2 m. Khe sáng hẹp phát đồng thời hai
bức xạ đơn sắc màu đỏ = 0,66 m
v à màu lục = 0,55 m . 1 2
a) Khoảng vân của bức xạ đơn sắc đỏ ( ) b ằng 1,1 mm. (……) 1
b) Vân sáng bậc 6 của bức xạ đỏ ( ) trùng với vân sáng bậc 5 của bức xạ màu lục ( ). (……) 1 2
c) Khoảng vân trùng của hai bức xạ là . (……)
d) Có 3 vân trùng trong khoảng giữa hai điểm M, N ở cùng phía so với vân trung tâm có tọa độ lần lượt là 3,2
mm và 9,4 mm. (……)
Câu 14: Một vật dao động điều hòa với biên độ A và tần số góc là . A
a) Khi vật có động năng bằng 2 lần thế năng thì li độ của vật là x = . (……) 2
b) Khi vật đi từ vị trí cân bằng ra vị trí biên, thế năng tăng, động năng giảm. (……)
c) Khi vật ở vị trí biên thì động năng đạt cực đại. (……)
d) Khi động năng bằng 3 lần thế năng thì tốc độ A 3 v = . (……) 2
Câu 15: Một con lắc lò xo có vật nhỏ khối lượng là 100 g. Con lắc dao động điều hòa theo nằm ngang với phương
trình x =10.cos(t) cm. Cho π2 = 10. Cứ sau những khoảng thời gian 0,1 s thì động năng và thế năng của vật lại bằng nhau.
a) Lò xo của con lắc có độ cứng bằng 25N/m. (……)
b) Cơ năng của con lắc là W=0,125J. (……)
c) Khi vật có động năng bằng thế năng thì vật đang ở vị trí cách vị trí cân bằng một đoạn 5cm. (……)
d) Động năng và thế năng của con lắc biến thiên với chu kì T = 0,2s. (……)
Câu 16: Một vật nhỏ m = 100g, dao động điều hoà có phương trình x =10.cos 4t + cm. Lấy 2 =10 . 3
a) Thế năng tại t = 3,75 s có giá trị là 2,5.10-3 J. (……) b) Động năng khi x = 6 cm có giá trị là 0,0512 J. (……)
c) Tại li độ x=5cm thì thế năng là 0,02 J. (……)
d) Tại li độ x = 5 2 cm khi động năng chiếm 50% năng lượng toàn phần. (……)
Câu 17: Một con lắc lò xo dao động điều hoà với x = 8cos t +
cm. Lấy k = 100 N/m và 2 =10 . 2
a) Cơ năng của con lắc có giá trị là 0,32 J. (……) b) Cơ năng không đổi và tỉ lệ với bình phương biên độ. (……)
c) Khi vật đi qua vị trí cân bằng thì động năng bằng 0. (…) d) Tần số của động năng và thế năng là 2 Hz. (……)
Câu 18: Trong một môi trường vật chất đàn hồi có hai nguồn sóng S1, S2 kết hợp cách nhau 9,5 cm với tần số
f = 100 Hz. Khi đó tại vùng giữa S1, S2 người ta quan sát thấy xuất hiện 10 vân dao động cực đại và những vân
này cắt đoạn S1, S2 thành 11 đoạn mà hai đoạn gần các nguồn chỉ dài bằng một phần tư các đoạn còn lại.
a) Chu kì dao động của sóng là 0,01 s. (……)
b) Sóng truyền đi với bước sóng là 3 cm. (……)
c) Khoảng cách giữa hai cực đại liên tiếp là 1 cm. (…)d) Tốc độ truyền sóng trong môi trường đó là 2 cm/s. (….)
Câu 19: Trong thí nghiệm về giao thoa sóng nước, hai nguồn kết hợp dao động cùng pha, cùng tần số f = 40 Hz.
Tại hai điểm A và B đối xứng nhau qua cực đại trung tâm cách nhau 16 cm. sóng truyền trên mặt nước với bước sóng 3 cm.
a) Tốc độ truyền sóng là 120 cm/s.(…….) b) Khoảng cách giữa 6 cực đại giao thoa liên tiếp là 6 cm. (……..)
c) Trên khoảng AB có 11 điểm dao động cực đại.(…..…)
d) Từ điểm A đến vân trung tâm có 5 điểm dao động cực đại. (…)
Câu 20: Trong thí nghiệm Young về giao thoa ánh sáng, khoảng cách giữa hai khe S1, S2 là 1 mm, khoảng
cách từ hai khe đến màn là 1,5 m. Chiếu tới hai khe S1, S2 một ánh sáng đơn sắc, trên màn quan sát người
ta đo được khoảng cách từ vân sáng trung tâm đến vân sáng bậc sáu là 4,5 mm.
a) Khoảng cách giữa hai vân sáng liên tiếp là 0,9 mm. (……)
b) Bước sóng ánh sáng đơn sắc đã sử dụng là 0,5 µm. (……)
c) Khoảng cách giữa vân tối thứ ba đến vân sáng bậc năm ở cùng một phía so với vân trung tâm là 2,25 mm. (.…)
d) Tại điểm M cách vân sáng trung tâm 3 cm là vị trí vân tối thứ tư. (……)
Câu 21. Trong thí nghiệm Young về giao thoa ánh sáng, khoảng cách giữa hai khe S1, S2 là 1 mm, khoảng
cách từ hai khe đến màn là 1,5 m. Chiếu tới hai khe S1, S2 một ánh sáng đơn sắc có bước sóng = 600nm .
a) Khoảng vân thu được trên màn i = 0,75 mm. (……)
b) Vị trí M trên màn cách vân trung tâm 4,05 mm là vân tối thứ tư tính từ vân trung tâm. (……)
c) Khi dời màn ra xa hai khe (vị trí của vân trung tâm không đổi) để M chuyển từ vân tối thành vân sáng lần thứ
hai thì độ dịch chuyển của màn là 75cm. (……)
d) Trên miền giao thoa có bề rộng 8 mm quan sát thấy 5 vân sáng. (……)
Câu 22. Một vật dao động điều hòa dọc theo trục Ox với đồ thị li độ - thời gian như hình vẽ. Gọi A là biên độ
dao động, là tần số góc của dao động, là pha ban đầu của dao động của vật. 0
a) Phương trình li độ của vật có dạng x = A cos( t + . (……) 0 )
b) Phương trình vận tốc của vật có dạng v = A sin ( t + . (……) 0 )
c) Biên độ dao động của vật là 20 cm. (……)
d) Chu kì dao động của vật là 2 s. (……)
Câu 23. Cho tốc độ ánh sáng trong chân không là 8 c = 3.10 m / s. (……)
a) Trong chân không, sóng điện từ có bước sóng 0,6 m
thuộc vùng ánh sáng nhìn thấy. (……)
b) Trong chân không, sóng điện từ có bước sóng 40 pm thuộc vùng tia X. (……)
c) Sóng điện từ có bước sóng 0,5mtrong chân không thì có tần số là 11 6.10 Hz. (……)
d) Trong cùng một môi trường, tia tử ngoại có bước sóng ngắn hơn bước sóng của tia hồng ngoại. (……)
Câu 24. Trên mặt nước có hai nguồn phát sóng dao động theo phương thẳng đứng, cùng pha nhau, đặt tại S1 và
S2. Gọi là bước sóng của sóng được hình thành. Tốc độ truyền sóng trên mặt nước là 20 cm/s.
a) Để sóng do hai nguồn này phát ra giao thoa được với nhau thì hai sóng có cùng tần số f. (……)
b) Điểm M trên mặt nước cách hai nguồn các khoảng lần lượt là d1 và d2. Khi có giao thoa, điểm M có
d − d = 3 thì M là một điểm cực đại giao thoa. (……) 2 1
c) Cho sóng có tần số f = 10 Hz, khi xảy ra giao thoa, trên đoạn S S khoảng cách giữa hai điểm cực đại giao thoa 1 2
liền kề là 2 cm. (……)
d) Điểm N trên mặt nước sao cho NS S vuông tại S =
S S =11cm. Khi xảy ra giao thoa, điểm N 1 2 1. Cho 1cm, 1 2
thuộc vân cực đại giao thoa thứ 2 tính từ vân giao thoa trung tâm. Khoảng cách từ N đến S1 bằng 29,25cm.(…)
Câu 25. Thực hiện giao thoa ánh sáng khe Young với ánh sáng đơn sắc có bước sóng =0,6 m , hai khe hẹp
cách nhau một đoạn a và cách màn quan sát một đoạn D, khoảng vân thu được là i.
a) Hai vân sáng liền kề trên màn cách nhau một đoạn bằng i. (……)
b) Nếu giảm giá trị của a và giữ nguyên giá trị của và D thì giá trị của i tăng lên. (……)
c) Khoảng cách từ vân sáng thứ 3 đến vân sáng trung tâm là 2i. (……)
d) Cho a = 1 mm và D = 1,2 m. Trong trường giao thoa trên màn với bề rộng 8 mm có 13 vân sáng. (……) PHẦN II: TỰ LUẬN
Bài 1: Một vật dao động điều hoà với chiều dài quỹ đạo L =10cm và tần số góc = 2 (rad/s).
a) Tính biên độ dao động của vật.
b) Tính tốc độ của vật khi qua vị trí cân bằng.
Bài 2. Một vật dao động điều hòa với phương trình x = 4cos 6t +
(cm). Tại thời điểm vật có li độ 2
x = 2cm thì vật có gia tốc bằng bao nhiêu?
Bài 3. Cho phương trình của một dao động điều hòa có dạng x = 5cos 10 t + (cm). 6
a) Xác định biên độ A, pha ban đầu φ của dao động.
b) Tìm li độ và vận tốc của vật tại thời điểm t = 0,05s.
Bài 4. Một vật dao động điều hòa với tần số góc = 5 rad/s. Khi t = 0, vật đi qua vị trí cân bằng với tốc độ
40 cm/s hướng theo chiều dương trục toạ độ. Viết phương trình dao động của vật ?
Câu 2. Sóng dừng hình thành trên sợi dây có hai đầu cố định với bước sóng 0,5 m. Chiều dài sợi dây là 2 m.
Tính số nút sóng có trên dây
Bài 5. Tại hai điểm A, B trên mặt chất lỏng cách nhau 10cm có hai nguồn phát sóng theo phương thẳng đứng
với các phương trình: u = u = 0, 2cos(50t) (cm). Vận tốc truyền sóng là 0,5m/s. Coi biên độ sóng không A B đổi.
a) Xác định số điểm dao động với biên độ cực tiểu trên đoạn thẳng AB.
b) Điểm M trên mặt nước cách A và B lần lượt là 16cm và 25cm. Viết phương trình dao động tổng hợp tại M.
Bài 6. Thực hiện thí nghiệm giao thoa ánh sáng khe Young có F1F2 = a = 0,5mm. Khoảng cách từ mặt phẳng
hai khe đến màn là D = 2m. Bước sóng ánh sáng là = 0,5 m . a) Tính khoảng vân.
b) Điểm M trên màn cách vân sáng trung tâm 9mm là vân sáng hay tối? bậc bao nhiêu?
Bài 7. Trong thí nghiệm giao thoa ánh sáng Young, khoảng cách giữa hai khe là a = 1mm, khoảng cách từ
mặt phẳng 2 khe đến màn quan sát là D = 2m. Hai khe được chiếu sáng bằng bức xạ có bước sóng λ = 0,5µm.
a) Xác định tọa độ của vân sáng bậc 3 trên màn.
b) Biết bề rộng vùng giao thoa trên màn là L = 8,5mm. Xác định số vân sáng và số vân tối trên L.
Bài 8. Trong thí nghiệm Young nguồn phát bức xạ đơn sắc , màn quan sát cách mặt phẳng hai khe một
khoảng không đổi D, khoảng cách giữa hai khe S S = a có thể thay đổi. Xét điểm M trên màn, lúc đầu là 1 2
vân sáng bậc 4, nếu lần lượt giảm hoặc tăng khoảng cách S S một lượng a
thì tại đó là vân sáng bậc k và 1 2
bậc 3k . Tăng khoảng cách S S thêm 2 a
thì tại M là sáng hay tối bao nhiêu? 1 2
Bài 9. Trong thí nghiệm giao thoa Young, thực hiện đồng thời với hai ánh sáng đơn sắc thì khoảng vân lần
lượt là 0,64 mm và 0,54 mm. Xét tại hai điểm A, B trên màn cách nhau một khoảng 34,56 mm là hai vị trí
mà cả hai hệ vân đều cho vân sáng tại đó. Hỏi trên AB có mấy vạch sáng là kết quả trùng nhau của hai hệ vân ?
Bài 10.Trong thí nghiệm Young về giao thoa với ánh sáng đơn sắc, khoảng cách giữa hai khe là 0,2 mm,
khoảng cách giữa mặt phẳng chứa hai khe và màn quan sát là 1 m. Ánh sáng sử dụng trong thi nghiệm là ánh
sáng đơn sắc có bước sóng 0,6 µm.
a. Vị trí vân sáng bậc 3 trên màn quan sát cách vân trung tâm một khoảng bao nhiêu?
b. Gọi N là vị trí vân tối thứ 7 trên màn quan sát. Dịch màn dần ra xa hai khe thêm một đoạn 50 cm theo
phương vuông góc với mặt phẳng chứa hai khe. Trong quá trình dịch chuyển màn, ta quan sát được tại N
bao nhiêu lần có vân sáng?
Bài 11. Trong giao thoa khe Young, ánh sáng đơn sắc có bước sóng , với 0,40 m 0,60 m , hai khe
hẹp cách nhau 1,5 mm và cách màn quan sát 1,8 m. Điểm M và N trên màn ở cùng một phía của vân sáng
trung tâm, cách vân sáng trung tâm các khoảng lần lượt là 2,4 mm và 3,0 mm. Tại M và N đều có vân sáng.
Xác định giá trị của .