Report tài liệu
Chia sẻ tài liệu
Đề thi tốt nghiệp Trung học Phổ thông năm 2025 cho môn Toán
Đề thi tốt nghiệp Trung học Phổ thông năm 2025 cho môn Toán. Tài liệu được sưu tầm giúp bạn tham khảo, ôn tập và đạt kết quả cao. Mời bạn đọc đón xem.
Chủ đề: Đề thi THPTQG môn Toán năm 2025 421 tài liệu
Môn: Toán 2.3 K tài liệu
Tác giả:

















Tài liệu khác của Toán
Preview text:
Document Outline
- 0101
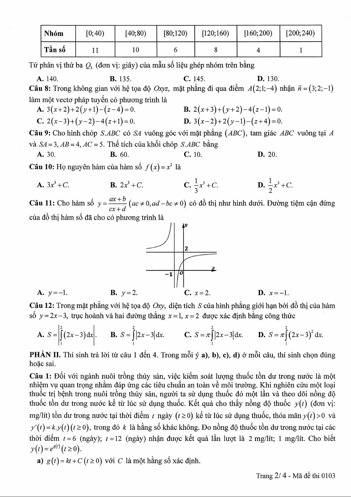
- 0102
- 0103
- 0104
- 01.Toan_2018