Report tài liệu
Chia sẻ tài liệu
Final exam: Reading comprehension and analysis môn English | Học viện Tòa án
Final exam: Reading comprehension and analysis môn English. Tài liệu được sưu tầm gồm 14 trang, giúp các bạn ôn luyện và phục vụ cho việc học tập, đạt kết quả tốt. Mời các bạn đón xem!
Môn: English 10 tài liệu
Trường: Học viện Tòa án 175 tài liệu
Tác giả:














Tài liệu khác của Học viện Tòa án
Preview text:
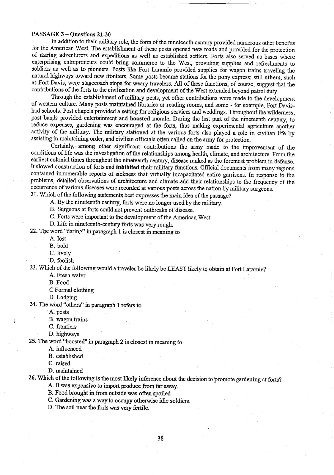
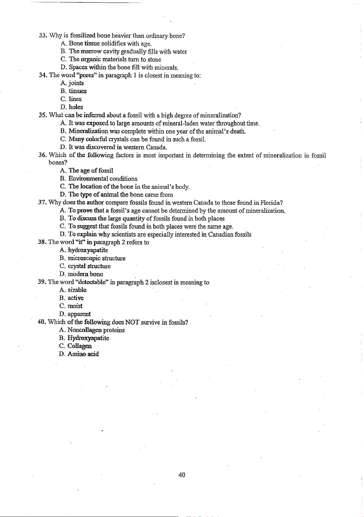
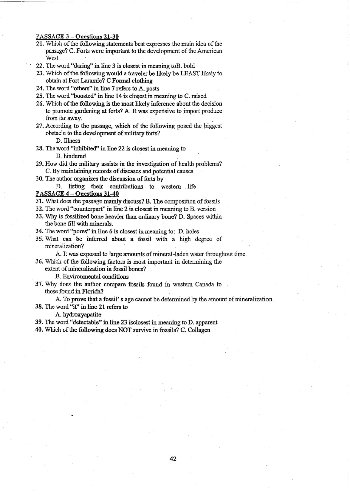
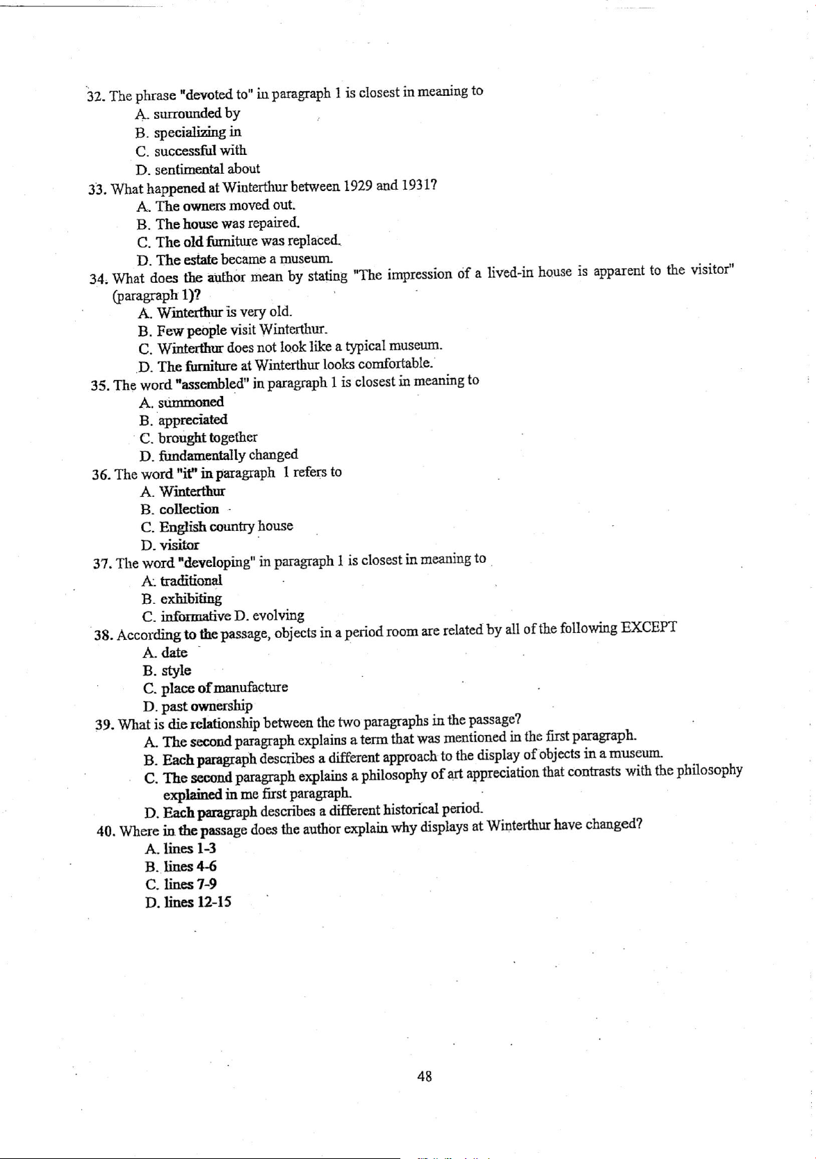
lOMoAR cPSD| 59780317 lOMoAR cPSD| 59780317 lOMoAR cPSD| 59780317 lOMoAR cPSD| 59780317 lOMoAR cPSD| 59780317 lOMoAR cPSD| 59780317 lOMoAR cPSD| 59780317 lOMoAR cPSD| 59780317 lOMoAR cPSD| 59780317 lOMoAR cPSD| 59780317 lOMoAR cPSD| 59780317 lOMoAR cPSD| 59780317 lOMoAR cPSD| 59780317 lOMoAR cPSD| 59780317
Tài liệu liên quan:
-
Bài thi viết: Email replies & tips môn English | Học viện Tòa án
75 38 -
Bài tập môn English | Học viện Tòa án
76 38 -
Eng club meeting ideas & competition plans - Speaking english tips môn English | Học viện Tòa án
82 41 -
Learn english listening A1: Booking a table practice môn English | Học viện Tòa án
75 38 -
English grammar exercises: Negative form & verb conjugation môn English | Học viện Tòa án
66 33