





Preview text:
1 Ex1: a)
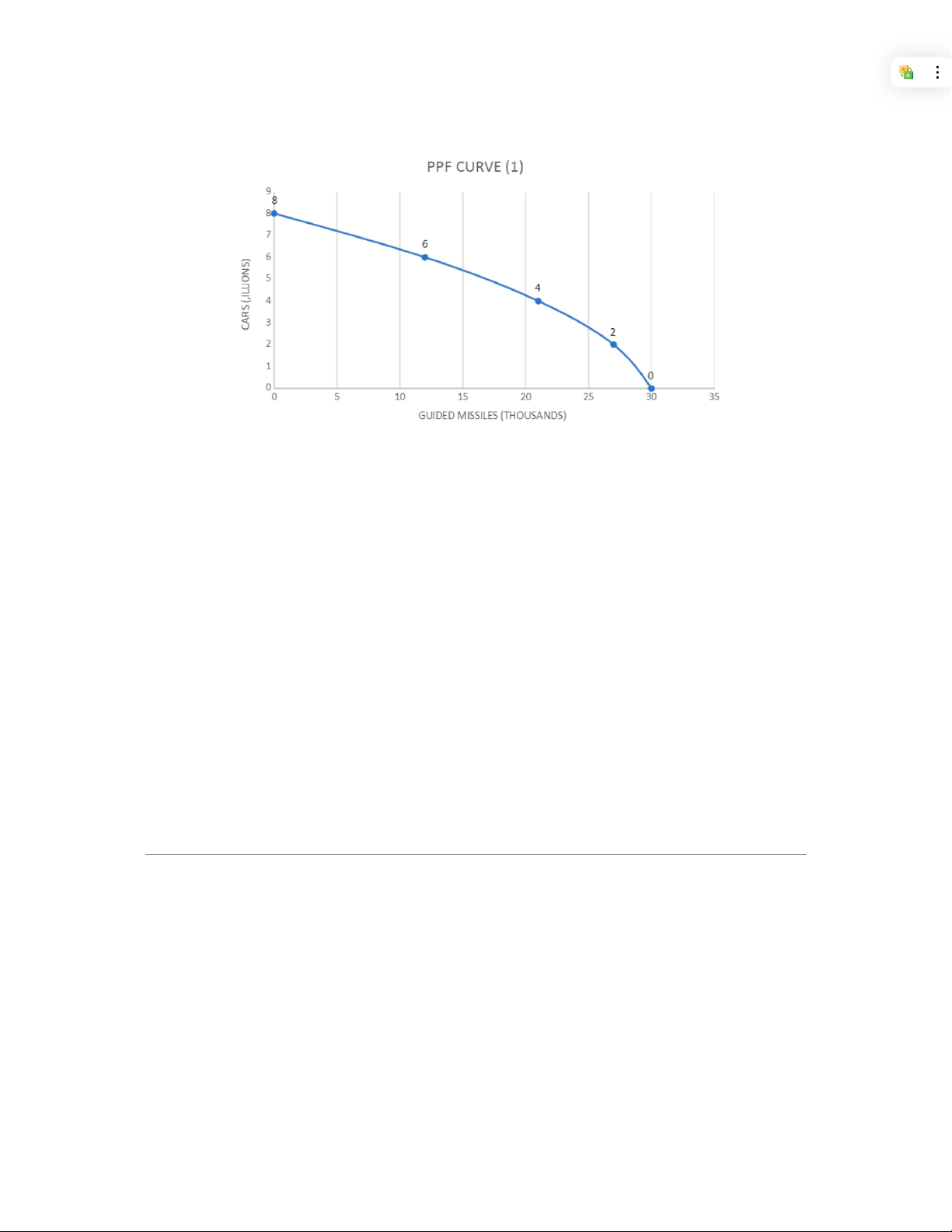
The potential cost of expanding output from 0 to 12,000 guided missiles is 2
million autos from point E to point D. (This implies that if the economy produces 0
to 12,000 guided missiles, it will have to produce 8 to 6 million less cars, or 2
million fewer cars.) Points D to C (from 6 to 4) Points C to B (from 4 to 2) Points B
to A (from 2 to 0). The opportunity cost of increasing production of 2 million cars
is 3, 6, 9, and 12 thousand Guided Missiles from point A to point B, B to point C, C
to point D, and D to point E, respectively. In summary, there are rising
opportunity costs associated with the manufacture of missiles. b)
9000 missiles are lost as a result of the opportunity cost of raising production
from point C to D. The cost of missing an opportunity to make 2 million more cars is 9,000 missiles.
=> 9/2 = 4.5 thousand missiles are the opportunity cost of making 1 million moe vehicles.
2 million cars are lost as a result of switching from C to B's increased output.
Producing 6,000 additional missiles would cost the same as 2 million cars in opportunity costs.
=> Producing 1,000 additional missiles would cost 2/6 = 1/3 million cars in opportunity costs. c)
Point G shows that 4 million cars and 12,000 missiles were produced
economically. This indicates that the economy's output is inefficient. Because if it
produces 4 million vehicles, it can only make a maximum of 21,000 missiles, and if
it produces 12,000 missiles, it can only produce 6 million cars. d)
Point H shows that 6 million cars and 21,000 missiles were produced
economically. It identifies the economic outputs that can only come about as a
result of increased input availability used to create outputs. The H point denotes a
result that is impossible given the fixed resource. e)
- When there is technology improvement in producing missiles but not cars
(Graph 2). Assume production of guided missiles doubles because of this: Production alternative Type of A B C D E product Cars ( in 0 2 4 6 8 millions ) Guided 60 54 42 24 0 missiles ( in thousands)
- When there is improvement in the production of both products (Graph 3).
Assume the production of both guided missiles and cars doubles because of this: Type of A B C D E product Cars ( in 0 4 8 12 16 million ) Guided 60 54 42 24 0 missiles ( in thousands ) Ex2: a) 70 60 50 40 30 20 10 0 0246810 12 14 16 18 b)
This economy is not allocatively efficient if the output of wheat and cloth is 9
tons of wheat and 4000 sets of cloth. If it generates 9 tons of wheat, it can make
up to 9000 sets of cloth, and if it makes 4000 sets of cloth, it can make up to 20
tons of wheat. The location would be at point G in the diagram, inside the
manufacturing possibility frontier.
Potential cost overall: Producing 25 tons of wheat costs 10,000 sets of clothes in
lost opportunity. => 400 sets of clothes represent the opportunity cost of
producing 1 ton of wheat. Producing 1 set of clothes has an opportunity cost of
1/400, or 0.0025 tons of wheat. c)
Marginal Opportunity Cost: From point E to point D, it would cost 1,000 sets of
Cloths to produce an additional 9 tons of wheat. Producing 1 additional ton of
wheat has an opportunity cost of 1/9 thousand sets of cloth. => From point D to
point E, it would cost 9 tons of wheat to produce 1000 additional sets of clothes.
The opportunity cost of producing 6 additional tons of wheat from point D to
point C is 2,000 sets of clothes. Producing 1 more ton of wheat has an opportunity
cost of 2/ 6 = 3,000 sets of cloths. => From point C to point D, it would cost 3 tons
of wheat to produce 1000 additional sets of clothes. d)
The opportunity cost of producing five additional tons of wheat is three
thousand sets of clothes from point C to point B. Producing 1 additional ton of
wheat has a 3/5 = 0.6 thousand set of cloth opportunity cost. => The opportunity
cost of producing 1000 additional sets of clothes from point B to point C is 5/3
tons of wheat. The opportunity cost of generating 5 extra tons of wheat from
point B to point A is 4,000 sets of cloth. Producing 1 additional ton of wheat has
an opportunity cost of 4/5 or 0.8 thousand sets of cloths. => The opportunity cost
of producing 1000 additional sets of clothes from point A to point B is 5/4=1.25 tons of wheat.