








































Preview text:
lOMoAR cPSD|27879799
TRƯỜNG ĐẠI HỌC KINH TẾ TÀI CHÍNH
TIỂU LUẬN: PHÂN TÍCH TÀI CHÍNH CỦA
CÔNG TY CỔ PHẦN TẬP ĐOÀN HÒA PHÁT Thành viên nhóm: STT Họ và tên Mã Sinh Viên Tỷ lệ đóng góp 1 2 3 4 5
Giảng viên: Trần Minh Tú
TP.HCM, ngày tháng năm 2022 lOMoAR cPSD|27879799
I. GIỚI THIỆU VỀ CTCP TẬP ĐOÀN HÒA PHÁT. . . . . . . . . . . . . . . . . . . . . . . . . . . . . . .3 1.
Giới thiệu chung. . . . . . . . . . . . . . . . . . . . . . . . . . . . . . . . . . . . . . . . . . . . . . . . . . . . . . . 3 2.
Quá trình hình thành và phát triển:. . . . . . . . . . . . . . . . . . . . . . . . . . . . . . . . . . . . . . . . .4
II. CÁC BÊN LIÊN QUAN. . . . . . . . . . . . . . . . . . . . . . . . . . . . . . . . . . . . . . . . . . . . . . . . . . . . .5 1.
Các bên liên quan bên trong. . . . . . . . . . . . . . . . . . . . . . . . . . . . . . . . . . . . . . . . . . . . . . 5 2.
Các bên liên quan bên ngoài. . . . . . . . . . . . . . . . . .. . . . . . . . . . . . . . . . . . . . . . . . . . . . .5
III. PHÁT TRIỂN BỀN VỮNG. . . . . . . . . . . . . . . . . . . . . . . . . . . . . . . . . . . . . . . . . . . . . . . . . . 7 1.
Định nghĩa. . . . . . . . . . . . . . . . . . . . . . . . . . . . . . . . . . . . . . . . . . . . . . . . . . . . . . . . . . . 7 2.
Phát triển bền vững của Tập đoàn Hòa Phát. . . . . . . . . . . . . . . . . . . . . . . . . . . . . . . . . . 8
IV. PHÂN TÍCH CÔNG TY. . . . . . . . . . . . . . . . . . . . . . . . . . . . . . . . . . . . . . . . . . . . . . . . . . . .16 1.
Đánh giá chung về báo cáo tài chính. . . . . . . . . . . . . . . . . . . . . . . . . . . . . . . . . . . . . . . 16
a. Bảng báo cáo kết quả hoạt động kinh doanh:. . . . . . . . . . . . . . . . . . . . . . . . . . . . . . .16
b. Bảng cân đối kế toán:. . . . . . . . . . . . . . . . . . . . . . . . . . . . . . . . . . . . . . . . . . . . . . . . . . . 19 2.
Phân tích các chỉ số. . . . .. . . . . . . . . . . . . . . . . . . . . . . . . . . . . . . . . . . . . . . . . . . . . . . 21
a. Chỉ số thanh khoản . . . . . . . . . . . . . . . . . . . . . . . . . . . . . . . . . . . . . . . . . . . . . . . . . . 21
b. Nhóm tỷ số hoạt động. . . . . . . . . . . . . . . . . . . . . . . . . . . . . . . . . . . . . . . . . . . . . . . . . . .24
c. Chỉ số nợ. . . . . . . . . . . . . . . . . . . . . . . . . . . . . . . . . . . . . . . . . . . . . . . . . . . . . . . . . . . . . 32
d. Chỉ số sinh lời. . . . . . . . . . . . . . . . . . . . . . . . . . . . . . . . . . . . . . . . . . . . . . . . . . . . . . . . . 38
f. Bảng tổng hợp các chỉ số: tổng hợp tất cả các chỉ số vào 01 bảng (kèm trung bình
ngành). . . . . . . . . . . . . . .. . . . . . . . . . . . . . . . . . . . . . . . . . . . . . . . . . . . . . . . . . . . . . . . . .48 3.
Đánh giá doanh nghiệp . . . . . . . . . . . . . . . . . . . . . . . . . . . . . . . . . . . . . . . . . . . . . . . .49 4.
Kiến nghị. . . . . . . . . . . . . . . . . . . . . . . . . . . . . . . . . . . . . . . . . . . . . . . . . . . . . . . . . . .50
V. KẾT LUẬN. . . . . . . . . . . . . . . . . . . . . . . . . . . . . . . . . . . . . . . . . . . . . . . . . . . . . . . . . . . . 51 2 lOMoAR cPSD|27879799 DANH MỤC BIỂU ĐỒ
Biểu đồ 1: Biến động doanh thu thuần bán hàng và cung cấp dịch vụ trong giai đoạn 2018-
Biểu đồ 2: Biến động lợi nhuận và thuế TNDN trong giai đoạn 2018-2021 ....................... 8
Biểu đồ 3: Các tài khoản biến động lơn trong BCKQHĐKD giai đoạn 2018-2021 .......... 13
Biểu đồ 4: Các tài khoản biến động lớn trong CĐKT giai đoạn 2018-2021 ..................... 16
Biểu đồ 5: Biến động của chỉ số thanh khoản hiện hành ................................................... 17
Biểu đồ 6: Biến động của tỷ số thanh khoản nhanh ........................................................... 18
Biểu đồ 7: Biến động của vòng quay hàng tồn kho .......................................................... 20
Biểu đồ 8: Biến động của chu kỳ trung bình của hàng tồn kho .......................................... 21
Biều đồ 9: Biến động kỳ thu nợ bình quân ......................................................................... 22
Biểu đồ 10: Biến động kỳ chi trả bình quân ....................................................................... 23
Biểu đồ 11: Biến động hiệu suất sử dụng tổng tài sản ........................................................ 24
Biểu đồ 12: Biến động hiệu suất sử dụng vốn chủ sở hữu .................................................. 25
Biểu đồ 13: Biến động tỷ số nợ trên tài sản ........................................................................ 26
Biểu đồ 14: Biến động tỷ số nợ trên vốn chủ sở hữu .......................................................... 27
Biểu đồ 15: Biến động tỷ số khả năng thanh toán lãi vay ................................................... 28
Biểu đồ 16: Biến động biên lợi nhuận gộp. . . . . . . . . . . . . . . . . . . . . . . . . . . . . . . . . . . . . 41
Biểu đồ 17: Biến động biên lợi nhuận từ hoath động kinh doanh. . . . . . . . . . . . . . . . . . . .42
Biểu đồ 18: Biến động biên lợi nhuận ròng. . . . . . . . . . . . . . . . . . . . . . . . . . . . . . . . . . . . 43
Biểu đồ 19: Biến động thu nhập trên mỗi cổ phần. . . . . . . . . . . . . . . . . . . . . . . . . . . . . . . 45
Biểu đồ 20: Biến động tỷ suất sinh lời trên tổng tài sản. . . . . . . . . . . . . . . . . . . . . . . . . . .46
Biểu đồ 21: Biến động tỷ suất sinh lời trên vốn chủ sở hữu. . . . . . . . . . . . . . . . . . . . . . . .47
Biểu đồ 22: Biểu đồ báo cáo kết quả hoạt động kinh doanh. . . . . . . . . . . . . . . . . . . . . . . .48
Biểu đồ 23: Biến động chỉ số giá trên thu nhập. . . . . . . . . . . . . . . . . . . . . . . . . . . . . . . . . 49 lOMoAR cPSD|27879799 I.
GIỚI THIỆU VỀ CTCP TẬP ĐOÀN HÒA PHÁT 1. Giới thiệu chung Chi tiết Tên công ty
Công ty cổ phần Tập đoàn Hòa Phát Loại hình công ty Công ty cổ phần Công ty mẹ
Công ty CP Tập đoàn Hòa Phát và các Công ty thành viên Người sáng lập Trần Đình Long Trụ sở chính
66 Nguyễn Du - Hai Bà Trưng - Hà Nội Sản phẩm
Thép xây dựng, ống thép, tôn, nông nghiệp, điện máy
gia dụng, bất động sản Mã cổ phiếu HPG Website https://www.hoaphat.com.vn/ Số điện thoại 02462848666 Số fax 02462833456
Tầm nhìn: Trở thành Tập Đoàn sản xuất công nghiệp với chất lượng dẫn đầu, trong đó Thép là lĩnh vực cốt lõi.
Sứ mệnh: Cung cấp sản phẩm dẫn đầu, góp phần nâng cao chất lượng cuộc sống, đạt được sự tin yêu của khách hàng.
Định vị: Tập Đoàn Hòa Phát - Thương hiệu Việt Nam - Đẳng cấp toàn cầu.
Giá trị cốt lõi: Giá trị cốt lõi của Tập đoàn Hòa Phát là triết lý Hòa hợp cùng Phát triển. Điều này
thể hiện trong mối quan hệ giữa các cán bộ công nhân viên, giữa Tập đoàn và đối tác, đại lý, cổ
đông và cộng đồng xã hội, đảm bảo hài hòa lợi ích của các bên liên quan trên cùng một con thuyền,
hướng tới sự phát triển bền vững. Đặc biệt, Tập đoàn Hòa Phát đã xây dựng được mối quan hệ đối
tác bền vững, lâu dài, tin tưởng như người một nhà với các đại lý bán hàng song hành cùng Tập
đoàn từ những ngày đầu thành lập. 2.
Quá trình hình thành và phát triển:
Năm 1992: Thành lập Công ty TNHH Thiết bị Phụ tùng Hòa Phát – Công ty đầu tiên mang thương hiệu Hòa Phát.
Năm 1995: Thành lập Công ty CP Nội thất Hòa Phát.
Năm 1996: Thành lập Công ty TNHH Ống thép Hòa Phát.
Năm 2000: Thành lập Công ty CP Thép Hòa Phát, nay là Công ty TNHH Thép Hòa Phát Hưng Yên.
Tháng 7 - 2001: Thành lập Công ty TNHH Điện lạnh Hòa Phát.
Tháng 9 - 2001: Thành lập Công ty CP Xây dựng và Phát triển Đô thị Hòa Phát. 4 lOMoAR cPSD|27879799
Năm 2004: Thành lập Công ty TNHH Thương mại Hòa Phát.
Tháng 1 - 2007: Tái cấu trúc theo mô hình Tập đoàn, với Công ty mẹ là Công ty CP Tập đoàn
Hòa Phát và các Công ty thành viên.
15/11/2007: Niêm yết cổ phiếu mã HPG trên thị trường chứng khoán Việt Nam.
Tháng 6 - 2009: Công ty CP Đầu tư khoáng sản An Thông trở thành Công ty thành viên Hòa Phát.
2015: Ra mắt Công ty TNHH MTV Thương mại và sản xuất thức ăn chăn nuôi Hòa Phát nay
là Công ty TNHH Thức ăn chăn nuôi Hòa Phát Hưng Yên, đánh dấu bước phát triển mới trong
lịch sử Tập đoàn khi đầu tư vào lĩnh vực nông nghiệp.
Tháng 2 - 2016: Thành lập Công ty CP Phát triển Nông nghiệp Hòa Phát.
Tháng 2 - 2016: Hoàn thành đầu tư Giai đoạn 3 – Khu liên hợp gang thép Hòa Phát, nâng công
suất thép xây dựng Hòa Phát lên 2 triệu tấn/năm.
Tháng 4 - 2016: Thành lập Công ty TNHH Tôn Hòa Phát, bắt đầu triển khai dự án Tôn mạ
màu, tôn mạ kẽm, mạ lạnh các loại công suất 400.000 tấn/năm.
Tháng 2 - 2017: Thành lập Công ty CP Thép Hòa Phát Dung Quất, triển khai Khu Liên hợp
Gang thép Hòa Phát Dung Quất tại tỉnh Quảng Ngãi, quy mô 4 triệu tấn/năm với tổng vốn đầu
tư 52.000 tỷ đồng, đánh dấu bước ngoặt phát triển mới của Tập đoàn Hòa Phát.
Tháng 9 - 2019: Công ty TNHH Thiết bị Phụ tùng Hòa Phát chính thức đổi tên Công ty thành
Công ty TNHH Chế tạo kim loại Hòa Phát.
Tháng 12 - 2020: Tập đoàn Hòa Phát tái cơ cấu mô hình hoạt động với việc ra đời các Tổng
công ty phụ trách từng lĩnh vực hoạt động của Tập đoàn. Theo đó, 4 Tổng Công ty trực thuộc
tập đoàn đã được thành lập, bao gồm: Tổng Công ty Gang thép, Tổng Công ty Sản phẩm Thép,
Tổng Công ty Bất động sản, Tổng Công ty Nông nghiệp.
2021: Tập đoàn quyết định thành lập thêm Tổng Công ty Điện máy gia dụng Hòa Phát với
lĩnh vực hoạt động: Đầu tư, sản xuất, kinh doanh các sản phẩm điện máy - gia dụng. II. CÁC BÊN LIÊN QUAN 1.
Các bên liên quan bên trong
Employees: nhân viên của Hòa Phát Group Manager & Owners: lOMoAR cPSD|27879799 Hội đồng quản trị
• Ông Trần Đình Long: Nhà sáng lập - Chủ tịch Hội Đồng Quản trị.
• Ông Doãn Giã Cường: Phó Chủ tịch Hội Đồng Quản trị.
• Ông Nguyễn Mạnh Tuấn: Phó Chủ tịch Hội Đồng Quản trị.
• Ông Trần Tuấn Dương: Phó Chủ tịch Hội Đồng Quản trị.
• Ông Hoàng Quang Việt: Thành viên Hội Đồng Quản trị.
• Ông Nguyễn Ngọc Quang: Thành viên Hội Đồng Quản trị. Ban giám đốc
• Ông Nguyễn Việt Thắng: Tổng Giám đốc.
• Bà Nguyễn Thị Thảo Nguyên: Phó Tổng Giám đốc.
• Bà Phạm Thị Kim Oanh: Kế Toán Trưởng - Giám Đốc Tài Chính. 2.
Các bên liên quan bên ngoài
Suppliers: Các nhà cung cấp nguyên vật liệu (gồm NVL nhập khẩu từ những đối tác nước
ngoài có chứng nhận bảo vệ môi trường hoặc đối tác trong nước có nhà máy sản xuất đạt
chuẩn môi trường và an toàn lao động). Các bên cung cấp quặng sắt như: Rio Tinto (sản lượng
329.5 triệu tấn năm), BHP (227 triệu tấn năm), FMG (170 triệu tấn năm), Royhill (55 triệu tấn/năm).
Society: “Nhịp đập yêu thương”- tài trợ điều trị phẫu thuật tim miễn phí cho trẻ em nghèo,
“Hòa Phát cùng em đến trường”, “Bữa cơm bệnh viện K”, các chương trình xây cầu hỗ trợ
các địa phương thông qua kênh rạch, . .
Government: Cục Sở hữu trí tuệ Việt Nam cấp Giấy chứng nhận (GCN) đăng ký nhãn hiệu
cho Công ty Cổ phần Tập đoàn Hòa Phát giúp tăng danh tiếng, mức độ nhận diện thương hiệu
và bảo vệ bản quyền cho công ty.
Creditors: Vietcombank, TMCP Công Thương (VietinBank), HSBC Việt Nam, BNP
Paribas – Chi nhánh Singapore, . .
Shareholders: Cổ đông lớn (Deutsche Bank AG, Dragon Capital, VOF Investment Limited),
các thành viên thuộc hội đồng quản trị (Trần Đình Long, Trần Tuấn Dương, Nguyễn Mạnh
Tuấn, Nguyễn Ngọc Quang, Doãn Gia Cường, . .).
Customers: Người tiêu dùng và các tổ chức/doanh nghiệp.
III. PHÁT TRIỂN BỀN VỮNG 1. Định nghĩa 6 lOMoAR cPSD|27879799
Phát triển bền vững là sự phát triển mà việc sử dụng tài nguyên ở thế hệ hiện tại mà không ảnh
hưởng đến việc sử dụng tài nguyên đó ở thế hệ tương lai. Phát triển bền vững phải đảm bảo
phát triển đầy đủ cả 3 yếu tố:
Về kinh tế, sự phát triển của hệ thống kinh tế trong đó việc tiếp cận các nguồn lực được tạo
điều kiện thuận lợi và quyền sử dụng các nguồn tài nguyên thiên nhiên cho các hoạt động kinh
tế được chia sẻ một cách công b�ng.
Về xã hội, cần chú trọng phát triển theo định hướng công b�ng, luôn tạo mọi điều kiện
thuận lợi để con người phát triển và sẽ cố gắng cho mọi người có cơ hội phát triển năng lực
bản thân và có điều kiện sống ổn định.
Về môi trường, đòi h�i chúng ta phải cân b�ng giữa bảo vệ môi trường tự nhiên và khai
thác tài nguyên thiên nhiên vì lợi ích của con người. Mục đích là giữ cho việc khai thác các
nguồn tài nguyên này ở mức thấp nhất có thể. Cho phép môi trường tiếp tục duy trì các điều
kiện sống của con người và những sinh vật khác trên Trái Đất. 2.
Phát triển bền vững của Tập đoàn Hòa Phát a. Kinh tế: lOMoAR cPSD|27879799
Biểu đồ 1: Biến động doanh thu thuần bán hàng và cung cấp dịch vụ trong giai đoạn 2018-2021
Biểu đồ 2: Biến động lợi nhuận và thuế TNDN trong giai đoạn 2018-2021
Có thể thấy r�ng, mặc dù doanh thu thuần về bán hàng và cung cấp dịch vụ tăng dần qua
h�ng năm trong giai đoạn 2018 - 2021 nhưng lợi nhuận lại có sự biến động mạnh. Mặt khác,
thuế mà doanh nghiệp phải nộp Nhà nước được dựa trên lợi nhuận trước thuế mà doanh nghiệp
có được nên vào năm 2019 lợi nhuận trước thuế giảm xuống gần 10,7% nhưng vào năm 2020
lợi nhuận trước thuế tăng 52,5% và đến năm 2021 lợi nhuận trước thuế tăng gấp 3,6 lần so với
năm 2018. Nguyên nhân chính là do từ cuối năm 2019 dịch Covid - 19 đã ảnh hưởng đến nền
kinh tế chung của toàn cầu và ảnh hưởng của giá quặng sắt, giá điện và chi phí tài chính, nên
lợi nhuận trước thuế thấp hơn so với 2018. Nhưng cũng nhờ tình hình Covid-19, nhu cầu con
người tăng cũng như Nhà nước đẩy mạnh đầu tư công dẫn đến các chi phí hoạt động của doanh
nghiệp tăng nhanh kéo theo doanh thu tăng làm cho lợi nhuận tăng. Điều này tác động đến thuế
mà doanh nghiệp phải nộp tại Chi cục thuế tăng dần qua các năm. Tập đoàn Hoà Phát vẫn tiếp
tục phát triển ổn định và có phương án kinh doanh tốt trong điều kiện kinh tế trên, thu được
mức lợi nhuận cao đạt kỉ lục (gấp 3 lần so với năm 2018) và góp phần lớn vào sự phát triển
của nền kinh tế trong nước. b. Xã h�i • Ngu�n nh�n l�c 8 lOMoAR cPSD|27879799
Năm 2021, toàn Tập đoàn có 27.651 lao động, tăng 8,7% so với năm 2020. Trong đó, Công
ty CP Thép Hòa Phát Dung Quốc có số lao động cao nhất với trên 13.700 người, chiếm hơn
49% số lao động toàn tập đoàn. Số lượng lao động của Công ty này dự kiến sẽ còn tăng mạnh
trong năm nay và các năm tới khi dự án Khu liên hợp gang thép Hòa Phát Dung Quốc 2 dự
kiến được khởi công cuối quý 1/2022. Hiện nay, số lượng cán bộ công nhân viên có trình độ
từ trung cấp trở lên là 12.900 người, tương đương với hơn 46% tổng số lao động. Là đơn vị
sản xuất công nghiệp, lực lượng lao động nam giới chiếm phần lớn trong cơ cấu lao động với trên 89%.
• Số lư�ng nh�n viên Năm 2018 2019 2020 2021
Tổng số lao đ�ng (người) 19.828 22.300 25.428 27.651
Bảng 1: Bảng thống kê tổng số người lao động giai đoạn 2018-2021
Dựa vào bảng số liệu trên, tổng số lao động tham gia vào Tập đoàn Hoà Phát nhìn chung
đang tăng dần qua các năm. Năm 2019, số lượng lao động vượt mốc 20.000 người, tăng 12,5%
và tăng 28,2% ở năm 2020, đến 2021 số lượng lao động tăng 39,5% với 27.651 người. Tập
đoàn Hoà Phát đã góp phần lớn trong giảm tỉ lệ thất nghiệp của lao động Việt Nam qua các năm.
• Chính sách đãi ng�, phúc l�i
Ở Hòa Phát, người lao động không chỉ được nhận lương, thưởng tháng lương thứ 13,
thưởng A, B, C cuối năm mà còn được hưởng nhiều chính sách, chế độ khác. Điển hình như
trao thưởng cho các tập thể cá nhân có thành tích xuất sắc hoặc có sáng kiến cải tiến, áp dụng
thành công sản xuất. Nhờ vậy, các cán bộ công nhân viên luôn tận tâm, được phát huy hết khả
năng sáng tạo nh�m nâng cao chất lượng hiệu quả công việc.
Đặc biệt, Hòa Phát luôn thực hiện đầy đủ, nghiêm túc các quy định của Nhà nước đối với
người lao động. Tất cả cán bộ công nhân viên đều được tham gia bảo hiểm xã hội, bảo hiểm y
tế. . Các Công ty trong Tập đoàn còn phối hợp với tổ chức Công đoàn cơ sở, xây dựng nhiều
chương trình chăm lo, nâng cao đời sống tinh thần, vật chất cho cán bộ công nhân viên. Trường
hợp người lao động có hoàn cảnh khó khăn, đau ốm hoặc người thân bị bệnh nặng luôn được
kịp thời chia sẻ, thăm h�i đồng thời có sự giúp đỡ, hỗ trợ về chi phí sinh hoạt và chữa trị.
Trước tác động của dịch Covid-19, Tập đoàn đã chủ động thực hiện nhiều biện pháp phòng
chống lây nhiễm như bắt buộc đeo khẩu trang, sát khuẩn tay, đo thân nhiệt trước khi vào làm lOMoAR cPSD|27879799
việc, phun khử trùng cho các khuôn viên văn phòng, nhà xưởng. Ngoài ra, Tập đoàn còn áp
dụng nhiều biện pháp hỗ trợ, tuyên truyền như dán poster hướng dẫn tại các văn phòng, nhà
máy, bố trí nước rửa tay, phát khẩu trang miễn phí cho khách hàng, đối tác đến làm việc để
đảm bảo người lao động được làm việc trong môi trường an toàn, tổ chức tiêm vắc-xin Covid-
19 cho người lao động, test Covid-19 định kỳ cho cán bộ nhân viên và cho người lao động trở
về từ vùng có dịch trước khi vào làm việc.
• Hoạt đ�ng văn hoá thể thao
Năm 2021, do ảnh hưởng của dịch Covid-19 nên các hoạt động, sự kiện văn hóa - thể thao
không được các Công ty triển khai tổ chức rộng rãi để đảm bảo công tác phòng chống dịch
Covid-19. Tuy nhiên, một số hoạt động được tổ chức ở quy mô nh�, vào các thời điểm dịch lắng xuống.
Hưởng ứng chủ trương vừa chống dịch, vừa phát triển kinh tế của Chính phủ, Tập đoàn
Hòa Phát sẽ tiếp tục duy trì các biện pháp phòng dịch nghiêm ngặt, đồng thời đẩy mạnh sản
xuất kinh doanh. Đây cũng là giải pháp then chốt để Tập đoàn hoàn thành các mục tiêu đề ra
trong thời gian tới, qua đó tạo việc làm và thu nhập ổn định, thực hiện các chương trình phúc
lợi tốt hơn cho người lao động. c. Môi trường 10 lOMoAR cPSD|27879799
Hình 1: Sơ đồ quy trình sản xuất khép kín thân thiện môi trường
• Hòa Phát hướng tới giảm rác thải, sản xuất thép xanh
Tập đoàn Hòa Phát hiện là nhà sản xuất thép lớn nhất Việt Nam và khu vực Đông Nam Á
với công suất thép thô 8,5 triệu tấn/năm. Các Khu liên hợp sản xuất gang thép tại Hải Dương
và Quảng Ngãi đều áp dụng quy trình sản xuất thép khép kín từ thượng nguồn (quặng sắt) tới
các loại thép thành phẩm. Hòa Phát đã dành 20 - 30% tổng vốn cố định cho các hạng mục xử
lý môi trường, đảm bảo đáp ứng ở mức tốt hơn các tiêu chuẩn môi trường hiện hành của Việt
Nam, hướng tới sản xuất thép xanh, giảm phát thải gây hiệu ứng nhà kính.
• Sáng kiến cải tiến kỹ thuật góp phần tiết kiệm hàng chục tỷ đ�ng
Hòa Phát luôn đề cao việc sử dụng tiết kiệm các loại năng lượng, tài nguyên thiên nhiên và
khuyến khích áp dụng các sáng kiến cải tiến kỹ thuật triển khai tại các nhà máy sản xuất toàn
Tập đoàn. Do đó, phong trào sáng kiến cải tiến tại các nhà máy diễn ra hết sức sôi nổi. lOMoAR cPSD|27879799
• Trách nhiệm xã h�i - c�ng đ�ng
Với phương châm “Hòa hợp cùng phát triển”, Tập đoàn Hòa Phát luôn gắn kết hài hòa hoạt
động sản xuất kinh doanh và trách nhiệm của doanh nghiệp với xã hội. Số đóng góp cho ngân
sách nhà nước của Hòa Phát tăng đều đặn qua từng năm, giải quyết việc làm ổn định cho hàng
chục ngàn người lao động trên toàn quốc, góp phần đảm bảo công tác an sinh xã hội. Năm
2021, Hòa Phát dành hơn 160 tỷ đồng cho các hoạt động từ thiện, chung tay vì cộng đồng, tập
trung vào 4 nhóm chính: Y tế - Giáo dục – Giao thông và Cộng đồng.
Từ khi đại dịch Covid-19 bùng phát tại Việt Nam, Tập đoàn Hòa Phát luôn nỗ lực thực hiện
nghiêm túc các chỉ đạo phòng chống dịch của Chính phủ và Bộ Y tế, chủ động phối hợp với
ngành y tế các địa phương tổ chức tiêm chủng vắc xin cho toàn bộ CBCNV tập đoàn, đảm bảo
sức kh�e người lao động, an tâm duy trì sản xuất, góp phần ổn định việc làm và thu nhập cho
người lao động trong thời điểm dịch bệnh. Song song với đó, Hòa Phát tích cực ủng hộ các Bộ,
ban ngành, địa phương phòng chống dịch b�ng nhiều hình thức khác nhau. Tính riêng năm
2021, Hòa Phát đã dành 150 tỷ đồng đóng góp vào quỹ vắc xin của Nhà nước và các tỉnh thành,
tài trợ sinh phẩm, trang thiết bị y tế cho các bệnh viện trên toàn quốc.
“NHỊP ĐẬP YÊU THƯƠNG” KHI TRÁI TIM ĐƯỢC CHỮA LÀNH BỞI TRÁI TIM
Xuất phát từ mong muốn mang lại cho cho các em một trái tim kh�e mạnh, “Nhịp đập yêu
thương” của Tập đoàn Hòa Phát chính thức triển khai từ cuối năm 2015 tới nay, cam kết tiếp
tục duy trì trong tương lai. Sau 6 năm hoạt động, chương trình đã hỗ trợ thành công cho 320
bệnh nhân với tổng kinh phí 12,5 tỷ đồng. Trong năm 2021, “Nhịp đập yêu thương” đã tiếp
nhận 93 trường hợp xin tài trợ. Hỗ trợ phẫu thuật thành công cho 83 bệnh nhân, tăng thêm 10
bệnh nhân so với năm 2020.
Đến thời điểm hiện tại, “Nhịp đập yêu thương” đã trở thành địa chỉ uy tín được bệnh nhân
cũng như cán bộ phòng Công tác xã hội các bệnh viện lớn gửi gắm hy vọng. Điểm khác biệt
lớn nhất của “Nhịp đập yêu thương” do Tập đoàn Hòa Phát thực hiện so với các chương trình,
quỹ phẫu thuật tim hiện nay là bệnh nhân không phải đồng chi trả, được hỗ trợ phẫu thuật
nhiều lần với mức hỗ trợ chi phí cao. Đồng thời, Hòa Phát thanh toán cả suất ăn của bệnh nhân
trong suốt thời gian điều trị tại bệnh viện, giảm bớt áp lực chi phí điều trị cho gia đình bệnh nhân.
“XUÂN YÊU THƯƠNG” TRỌN VẸN ẤM ÁP TRƯỚC THỀM TẾT NGUYÊN ĐÁN 12 lOMoAR cPSD|27879799
“Xuân yêu thương” là hoạt động thường niên được Tập đoàn Hòa Phát thực hiện trước
thềm Tết nguyên đán, nh�m mang lại một cái tết ấm áp, đủ đầy hơn cho các gia đình có hoàn
cảnh khó khăn. Chương trình đã tặng quà tết cho những hộ gia đình khó khăn, chính sách trên
địa bàn có đặt nhà máy, trại chăn nuôi của Hòa Phát trên toàn quốc. Trong năm 2021, Tập đoàn
Hòa Phát dành tặng gần 3.500 suất quà, trị giá 500.000 đồng/suất tại 15 tỉnh thành trên toàn
quốc với tổng trị giá hơn 1,7 tỷ đồng. Đồng thời, hỗ trợ kinh phí hoàn thiện 20 nhà tình nghĩa
cho đối tượng yếu thế kịp bàn giao trước thềm năm mới.
HÒA PHÁT ĐỒNG HÀNH CÙNG SINH VIÊN
Theo biên bản thoả thuận được kí giữa Tập đoàn Hòa Phát và Trường ĐH Kinh tế Quốc
dân, Tập đoàn Hòa Phát tài trợ 5 tỷ đồng trong giai đoạn 2016 – 2020 cho sinh viên có thành
tích học tập xuất sắc và sinh viên có hoàn cảnh khó khăn đang theo học tại trường. Mỗi suất
học bổng trị giá 1,1 triệu đồng/sinh viên/tháng học tập. Theo đó, tổng trị giá học bổng trong
học kì của một sinh viên sẽ tương ứng với 5,5 triệu đồng. Trong năm 2021, do lịch học online
thích nghi với công tác phòng chống dịch, đã có 85 em sinh viên nhận được tài trợ học bổng,
chia làm 2 giai đoạn với tổng số kinh phí hơn 460 triệu đồng.
Để thuận tiện trong công tác cấp học bổng hàng tháng, Tập đoàn Hòa Phát đã hỗ trợ mở tài
khoản ngân hàng miễn phí cho các em sinh viên và cấp học bổng thông qua số tài khoản đó.
Bên cạnh việc tài trợ học bổng hàng tháng cho sinh viên Kinh tế Quốc dân, Tập đoàn Hòa Phát
cũng tài trợ 100 triệu đồng cho sinh viên Viện Khoa học và Kỹ thuật Vật liệu – Đại học Bách khoa Hà Nội. IV. PHÂN TÍCH CÔNG TY
1. Đánh giá chung về báo cáo tài chính
a. Bảng báo cáo kết quả hoạt đ�ng kinh doanh:
CÁC TÀI KHOẢN BIẾN ĐỘNG LỚN TRONG BCKQHĐKD (tỷ đ�ng) 2018 2019 2020 2021
Doanh thu thuần về bán hàng và cung cấp dịch vụ 55.837 63.658 90.119 149.680
GVHB và dịch vụ cung cấp 44.166 52.473 71.215 108.571 Chi phí bán hàng 677 873 1.091 2.120 L�i nhuận sau thuế 8.601 7.578 13.506 34.521
Biểu đồ 3: Các tài khoản biến động lơn trong BCKQHĐKD giai đoạn 2018-2021
Giá vốn hàng bán và dịch vụ cung cấp của công ty qua từng năm từ 2018 đến 2021 lần lOMoAR cPSD|27879799
lượt như sau 44.166 tỷ đồng; 52.473 tỷ đồng; 71.215 tỷ đồng và 108.571 tỷ đồng. Như vậy,
vào năm 2021, giá vốn hàng bán tăng 64.405 tỷ đồng (gấp xấp xỉ 2.5 lần) so với năm 2018.
Xu hướng tăng của giá vốn hàng bán là không tốt cho doanh nghiệp vì giá vốn bán hàng được
xem là chi phí mà doanh nghiệp phải chi trả. Do đó, doanh nghiệp có thể giảm chi phí nhân
công trực tiếp (công nhân trong phân xưởng) b�ng cách sa thải các công nhân với năng suất
làm việc thấp nh�m giảm bớt giá vốn hàng bán.
Doanh nghiệp đạt 55.837 tỷ đồng doanh thu thuần về bán hàng và cung cấp dịch vụ vào
năm 2018; 63.658 tỷ đồng vào năm 2019; 90.119 tỷ đồng vào năm 2020 và 149.680 tỷ đồng
vào năm 2021. Như vậy, doanh thu thuần của doanh nghiệp luôn tăng liên tục trong 4 năm, cụ
thể, từ năm 2018 đến năm 2021, doanh thu thuần tăng lên và đây là xu hướng tốt cho doanh
nghiệp. Do đó, doanh nghiệp cần tiếp tục duy trì xu hướng b�ng cách đẩy hàng tồn kho ra thị
trường và phát triển kênh phân phối của doanh nghiệp.
Công ty có chi phí bán hàng trong các năm như sau: 677 tỷ đồng năm 2018; 873 tỷ đồng
năm 2019; 1091 tỷ đồng năm 2020; 2120 tỷ đồng vào năm 2021. Như vậy, chi phí bán hàng
của công ty luôn tăng qua các năm, từ 677 tỷ đồng vào năm 2018 lên đến 2120 tỷ đồng vào
năm 2021. Xu hướng tăng chi phí là không tốt cho doanh nghiệp. Doanh nghiệp có thể cải
thiện số liệu b�ng cách sa thải nhân viên không hiệu quả, tăng cường đào tạo nhân viên về nghiệp vụ bán hàng.
Lợi nhuận sau thuế của công ty qua các năm như sau: 8.601 tỷ đồng vào năm 2018; 7.578 14 lOMoAR cPSD|27879799
đồng vào năm 2019; 13.506 tỷ đồng vào năm 2020 và 34.521 tỷ đồng vào năm 2021. Lợi nhuận
sau thuế của công ty tăng không liên tục qua các năm. Cụ thể, từ năm 2018 đến năm 2019, lợi
nhuận sau thuế giảm 1.023 tỷ đồng, sau đó lợi nhuận tăng liên tục trong 3 năm từ 7.578 tỷ
đồng của năm 2019 tăng lên 13.506 tỷ đồng vào năm 2021. Nhìn chung, xu hướng tăng là tốt
cho doanh nghiệp và doanh nghiệp có thể tăng lợi nhuận sau thuế b�ng cách giảm đi các chi
phí như giá vốn hàng bán, chi phí bán hàng, chi phí quản lý doanh nghiệp, chi phí lãi vay, …
b. Bảng c�n đối kế toán:
CÁC TÀI KHOẢN BIẾN ĐỘNG LỚN TRONG CĐKT (tỷ đ�ng) 2018 2019 2020 2021 lOMoAR cPSD|27879799
Biểu đồ 4: Các tài khoản biến động lớn trong CĐKT giai đoạn 2018-2021
Giá trị hàng tồn kho qua các năm như sau: 14.115 tỷ đồng vào năm 2018; 19.412 tỷ đồng Hàng t�n kho 14.115 19.412 26.287 42.135 Tài sản ngắn hạn 25.309 30.437 56.747 94.155 N� ngắn hạn 22.636 26.984 51.975 73.459 Vốn chủ sở hữu 40.623 47.787 59.220 90.781
vào năm 2019; 26.287 tỷ đồng vào năm 2020 và 42.135 tỷ đồng vào năm 2021. Hàng tồn kho
có xu hướng tăng liên tục qua các năm từ 14.115 tỷ đồng vào năm 2018 tăng lên 42.135 tỷ
đồng vào năm 2021. Xu hướng tăng là không tốt cho doanh nghiệp. Doanh nghiệp cần đẩy
mạnh hàng tồn kho b�ng các chương trình khuyến mãi nh�m thu hút khách hàng và tăng chiết
khấu cho các đại lý nh�m cạnh tranh giá với các đối thủ.
Tài sản ngắn hạn luôn tăng trong 4 năm: 25.309 tỷ đồng vào năm 2018; 30.437 tỷ đồng vào
năm 2019; 56.747 tỷ đồng vào năm 2020; 94.155 tỷ đồng vào năm 2021. Xu hướng tăng là tốt
cho doanh nghiệp. Doanh nghiệp có thể duy trì xu hướng b�ng cách tăng các khoản phải thu
từ tăng doanh thu bán hàng và tăng các khoản đầu tư tài chính ngắn hạn.
Vốn chủ sở hữu luôn tăng trong 4 năm: 40.623 tỷ đồng vào năm 2018; 47.787 tỷ đồng vào
năm 2019; 59.220 tỷ đồng vào năm 2020 và 90.781 tỷ đồng vào năm 2021. Xu hướng tăng của
vốn chủ sở hữu qua các năm là tốt cho doanh nghiệp vì khi công ty được đầu tư nhiều cho thấy
uy tín và giá trị thương hiệu của công ty đang tăng cao.
Nợ ngắn hạn luôn tăng trong 4 năm: 22.636 tỷ đồng vào năm 2018; 19.412 tỷ đồng vào
năm 2019; 51.975 tỷ đồng vào năm 2020 và 73.459 tỷ đồng vào năm 2021. Xu hướng tăng của
nợ ngắn hạn là không tốt cho doanh nghiệp. Doanh nghiệp cần tăng các khoản phải thu, tăng
thêm vốn chủ sở hữu, đẩy hàng tồn kho, giảm các chi phí không hiệu quả và giảm các khoản
tiền lưu trữ và dùng khoản tiền đó chi trả cho nợ ngắn hạn.
2. Ph�n tích các chỉ số a. Chỉ số thanh khoản
i. Chỉ số thanh khoản hiện hành 2018 2019 2020 2021 Tài sản ngắn 25.308.725.18 30.436.936.90 56.747.258.19 94.154.859.64 hạn 7.618 9.894 7.010 8.304 Nợ ngắn hạn 22.636.149.49 26.984.198.18 51.975.217.44 73.459.315.87 16
Downloaded by VietJack TV Official (vietjackvideos@gmail.com) lOMoAR cPSD|27879799 2.136 7.977 7.498 6.441 Tỷ số 1 , 12 1 , 13 1 , 09 1 , 28 Trung bình 1 , 39 ngành
Biểu đồ 5: Biến động của chỉ số thanh khoản hiện hành
Tỷ số thanh khoản hiện hành thể hiện tài sản ngắn hạn gấp 1,12 lần nợ ngắn hạn vào năm
2018; 1,13 lần vào năm 2019; 1,09 lần vào năm 2020 và 1,28 lần vào năm 2021. Nhìn chung,
tỷ số có xu hướng tăng nhưng không liên tục từ năm 2018 đến năm 2021. Cụ thể từ năm 2018
đến năm 2019 tỷ số tăng 0,01; năm 2020 tỷ số giảm 0,04 so với năm 2019 và vào năm 2021 tỷ
số tăng từ 1,09 lên 1,28. Như vậy, chỉ số thanh khoản hiện hành qua 4 năm của công ty có xu
hướng tăng và luôn lớn hơn 1, điều này có thể chứng minh công ty có khả năng trả nợ ngắn
hạn trong 1 năm. Tuy nhiên, tỷ số của công ty thấp hơn tỷ số trung bình ngành là 1,39, điều
này không tốt và có rủi ro cao cho doanh nghiệp.
i . Chỉ số thanh khoản nhanh Downloaded by VietJack TV Of icial 17 (vietjackvideos@gmail.com) lOMoAR cPSD|27879799 Tài sản 25.308.725.18 30.436.936.90 56.747.258.19 94.154.859.64 ngắn hạn 7.618 9.894 7.010 8.304 Hàng t�n 14.115.139.04 19.411.922.74 26.286.822.22 42.134.493.93 kho 8.908 8.095 9.202 2.210 N� ngắn 22.636.149.49 26.984.198.18 51.975.217.44 73.459.315.87 hạn 2.136 7.977 7.498 6.441 Tỷ số 0, 49 0, 41 0, 59 0 , 71 Trung bình 0 , 63 ngành
Biểu đồ 6: Biến động của tỷ số thanh khoản nhanh
Tỷ số thanh khoản nhanh cho thấy tài sản ngắn hạn sau khi trừ hàng tồn kho chưa đảm bảo
cho nợ ngắn hạn, đó là 0,49 vào năm 2018; 0,41 vào năm 2019; 0,59 vào năm 2020 và 0,71
vào năm 2021. Nhìn chung, tỷ số có xu hướng tăng không liên tục qua 4 năm từ 2018 đến
2021, cụ thể từ năm 2018 đến 2019, tỷ số giảm đi 0,08; sau đó tỷ số tăng liên tục từ 0,41 đến
0,71 trong 3 năm 2019, 2020 và 2021. Đây là xu hướng tăng qua các năm và cao hơn tỷ số
trung bình ngành (0,63) là tốt. Tuy nhiên, chỉ số thanh khoản nhanh bé hơn 1 lại không an toàn
cho doanh nghiệp vì tài sản ngắn hạn sang khi trừ đi hàng tồn kho không đủ thanh toán nợ ngắn hạn.
Đánh giá chung nhóm chỉ số thanh khoản thấy được sự giảm dần trong nhóm chỉ số vì hàng
tồn kho của doanh nghiệp nhiều. Do đó, doanh nghiệp cần chủ trọng đẩy hàng tồn kho thông
qua thêm các chính sách giảm giá, ưu đãi, marketing từ công ty đến sản phẩm, phát triển các
kênh phân phối hoặc tăng chiết khấu cho các đại lý. Ngoài ra, công ty cần quản lý các khoản
phải thu, sử dụng nguồn vốn trong vốn chủ sở hữu với mục đích tăng tài sản ngắn hạn. 18
Downloaded by VietJack TV Official (vietjackvideos@gmail.com) lOMoAR cPSD|27879799
b. Nhóm tỷ số hoạt đ�ng i. Vòng quay hàng t�n kho 2018 2019 2020 2021 Giá vốn 44.165.626.14 52.472.820.45 71.214.453.52 108.571.380.4 hàng bán 8.685 1.654 2.563 46.353 Hàng t�n 14.115.139.04 19.411.922.74 26.286.822.22 42.134.493.93
kho 8.908 8.095 9.202 2.210 Vòng/ năm 3,13 2,70 2,71 2,58 Downloaded by VietJack TV Of icial 19 (vietjackvideos@gmail.com) lOMoAR cPSD|27879799 Trung bình 16 , 34 ngành
Biểu đồ 7: Biến động của vòng quay hàng tồn kho
Vào năm 2018, bình quân doanh nghiệp bán hàng tồn kho ra thị trường 3,13 và 2,70; 2,71;
2,58 lần lượt vào các năm 2019, 2020, 2021. Trong 4 năm, con số có xu hướng giảm mặc dù
từ năm 2019 đến năm 2020 tăng 0,01 và con số thấp hơn rất nhiều khi so sánh với trung bình
ngành là 16,34. Điều này thể hiện doanh nghiệp bán hàng không hiệu quả. Kiến nghị công ty
cần đẩy mạnh hàng tồn kho b�ng các cách cụ thể như sau mở rộng, phát triển kênh phân phối,
tăng chiết khấu cho các đại lý và tung ra các chương trình giảm giá, khuyến mãi hấp dẫn để thu hút khách hàng.
ii. Chu kỳ trung bình của hàng t�n kho: 2018 2019 2020 2021 Vòng quay hàng t�n kho 3,13 2,70 2,71 2,58 Ngày 116,65 135,03 134,73 141,65 20
Downloaded by VietJack TV Official (vietjackvideos@gmail.com) lOMoAR cPSD|27879799
Biểu đồ 8: Biến động của chu kỳ trung bình của hàng tồn kho
Qua chỉ số ta thấy hàng tồn kho được bán ra trong 116,65 ngày vào năm 2018; 135,03 ngày
vào năm 2019; 134,73 ngày vào năm 2020 và 141,65 ngày vào năm 2021. Chỉ số thể hiện hàng
tồn kho bán ra càng nhanh thì số ngày trong kho ít lại, do đó, xu hướng tăng qua 4 năm từ
116,65 vào năm 2018 đến 141,65 vào năm 2021 là dấu hiệu không tốt cho doanh nghiệp.
iii. Kỳ thu n� bình qu�n: 2018 2019 2020 2021 Khoản phải thu ngắn 3.210.278.608 3.561.397.190 6.124.790.460 7.662.680.796 hạn .751 .688 .291 .645 21 Downloaded by
VietJack TV Of icial (vietjackvideos@gmail.com) lOMoAR cPSD|27879799 Doanh thu 55.836.458.37 63.658.192.67 90.118.503.42 149.679.789.9 thuần 9.759 3.791 6.717 79.345 Kỳ thu n� 20 , 99 20, 42 24 , 81 18 , 69 bình qu�n
Biều đồ 9: Biến động kỳ thu nợ bình quân
Vào năm 2018, bình quân 21 ngày doanh nghiệp thu nợ về một lần và vào các năm 2019,
2020, 2021 lần lượt là 20,42 ngày; 24,81 ngày; 18,69 ngày. Xu hướng tăng giảm không ổn định
qua các năm là không tốt cho doanh nghiệp. Cụ thể như sau, năm 2019 số liệu giảm 0,57 ngày
so với năm 2018 nhưng lại tăng 4,39 ngày vào năm 2020 và giảm 6,12 ngày tại năm 2021. Như
vậy, doanh nghiệp quản lý các khoản phải thu không hiệu quả. Công ty cần giảm ngày thu nợ
b�ng cách thương lượng với khách hàng cũ giảm số ngày thu nợ còn 15 ngày. Thêm vào đó,
với khách hàng mới, doanh nghiệp cần bổ sung trong hợp đồng mua bán số ngày thu nợ cụ thể
là 15 ngày. Việc thu nợ sớm doanh nghiệp mở rộng đầu tư tài chính, trả nợ cho các nhà cung
ứng và phát triển hoạt động kinh doanh nh�m tăng lợi nhuận cho công ty.
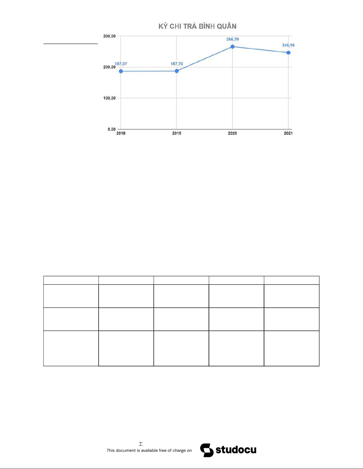
iv. Kỳ chi trả trung bình: 2018 2019 2020 2021 Khoản phải trả ngắn 22.636.149.49 26.984.198.18 51.975.217.44 73.459.315.87 hạn 2.136 7.977 7.498 6.441 Giá vốn bán 44.165.626.14 52.472.820.45 71.214.453.52 108.571.380.4 hàng 8.685 1.654 2.563 46.353 Kỳ chi trả bình qu�n 187,07 187,70 266,39 246,96 22
Downloaded by VietJack TV Official (vietjackvideos@gmail.com) lOMoAR cPSD|27879799
Biểu đồ 10: Biến động kỳ chi trả bình quân
Chỉ số cho thấy số ngày bình quân doanh nghiệp trả nợ người bán một lần là 187,07 ngày
vào năm 2018; 187,70 ngày vào năm 2019; 266,39 ngày vào năm 2020 và 246,96 vào năm
2021. Từ năm 2018 đến năm 2019, doanh nghiệp tăng 0,63 ngày và từ năm 2019 đến năm
2020, chỉ số tăng 78,69 ngày, và giảm 19,43 ngày trong thời gian từ 2021 đến 2021. Nhìn
chung, chỉ số có xu hướng tăng trong 4 năm, đây là xu hướng tốt cho doanh nghiệp dưới góc
độ quản trị tài chính vì khi doanh nghiệp nới rộng ngày chi trả, số tiền đó có thể dùng để tăng
thêm lợi nhuận cho công ty b�ng các cách như mở rộng đầu tư tài chính, phát triển hoạt động
kinh doanh. Do đó, doanh nghiệp cần duy trì xu hướng tăng của chỉ số và nên có kế hoạch đầu
tư cụ thể và hiệu quả từ đó tối đa hoá lợi nhuận của công ty.
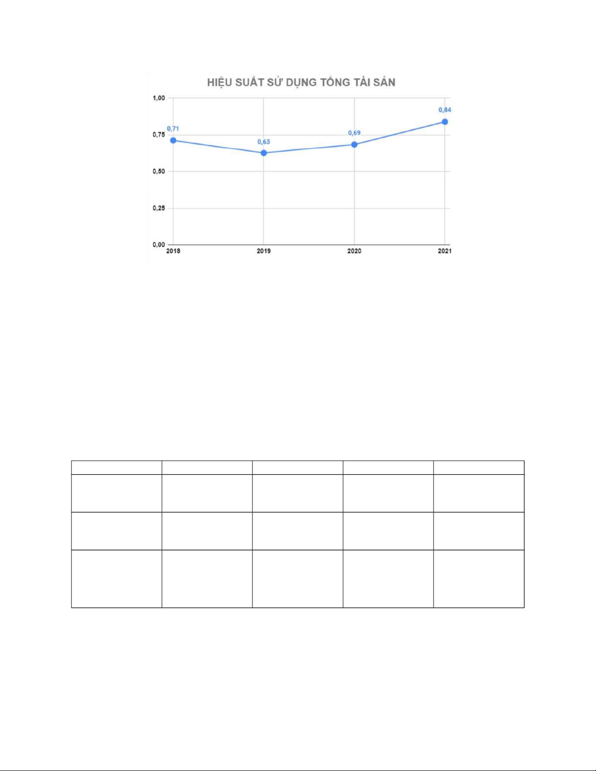
v. Hiệu suất sử dụng tổng tài sản: 2018 2019 2020 2021 Doanh thu 37.600.057.83 53.989.393.95 72.291.648.08 87.455.796.84 thuần 0.115 6.205 2.726 6.810 Tổng tài sản 78.223.007.67 101.776.030.0 131.511.434.3 178.236.422.3 0.925 99.900 88.837 58.249 Hiệu suất sử dụng tổng tài sản 0 , 71 0 , 63 0 , 69 0 , 84 23 Downloaded by
VietJack TV Of icial (vietjackvideos@gmail.com) lOMoAR cPSD|27879799
Biểu đồ 11: Biến động hiệu suất sử dụng tổng tài sản
Vào năm 2018, 1 đồng tài sản tạo ra 0,71 đồng doanh thu thuần; 0,63 đồng vào năm 2019;
0,69 đồng vào năm 2020 và 0,84 đồng vào năm 2021. Chỉ số giảm từ 0,71 đồng vào năm 2018
xuống còn 0,63 đồng vào năm 2019, sau năm 2019 đến năm 2021, chỉ số có xu hướng tăng từ
0,63 đồng lên đến 0,84 đồng. Xu hướng tăng là tốt cho doanh nghiệp tuy nhiên chỉ số luôn bé
hơn 1 qua các năm cho thấy công ty sử dụng tài sản không hiệu quả và đang dần cải thiện hơn
qua các năm. Để chỉ số tốt hơn, doanh nghiệp có thể tăng thêm doanh thu bán hàng và giảm
chiết khấu bán hàng b�ng cách đẩy mạnh hàng tồn kho, cần xem xét loại b� những đại lý kinh
doanh không hiệu quả và cân nhắc việc giảm chiết khấu với các đại lý dễ thương lượng.
vi. Hiệu suất sử dụng vốn chủ sở hữu: 2018 2019 2020 2021 Doanh thu 37.600.057.83 53.989.393.95 72.291.648.08 87.455.796.84 thuần 0.115 6.205 2.726 6.810 Tổng vốn 78.223.007.67 101.776.030.0 131.511.434.3 178.236.422.3 chủ sở hữu 0.925 99.900 88.837 58.249 Hiệu suất sử dụng tổng tài sản 1 , 37 1, 33 1 , 52 1 , 65 24
Downloaded by VietJack TV Official (vietjackvideos@gmail.com) lOMoAR cPSD|27879799
Biểu đồ 12: Biến động hiệu suất sử dụng vốn chủ sở hữu
Năm 2018, 1 đồng vốn chủ sở hữu tạo ra 1,37 đồng doanh thu thuần; 1,33 đồng vào năm
2019; 1,52 đồng vào năm 2020 và 1,65 đồng vào năm 2021. Chỉ số giảm từ 1,37 đồng vào năm
2018 xuống còn 1,33 đồng vào năm 2019, sau năm 2019 đến năm 2021, chỉ số có xu hướng
tăng từ 1,33 đồng lên đến 1,65 đồng. Xu hướng tăng là tốt cho doanh nghiệp và chỉ số luôn lớn
hơn 1 qua các năm cho thấy công ty sử dụng vốn chủ sở hữu hiệu quả và dần phát triển hơn
qua các năm. Đây là xu hướng doanh nghiệp cần tiếp tục duy trì b�ng cách tăng thêm doanh
thu bán hàng và giảm chiết khấu bán hàng b�ng cách đẩy mạnh hàng tồn kho, cần xem xét loại
b� những đại lý kinh doanh không hiệu quả và cân nhắc việc giảm chiết khấu với các đại lý dễ thương lượng.
Đánh giá chung nhóm tỷ số, ta nhận thấy hoạt động kinh doanh của doanh nghiệp ở mức
khá. Doanh nghiệp cần đẩy mạnh hàng tồn kho ngoài việc giúp tăng doanh thu bán hàng, chi
phí kho bãi cũng được giảm xuống đáng kể. Ngoài ra, công ty nên quản lý các khoản thu hiệu
quả hơn nh�m tăng tài sản và nguồn vốn cho hoạt động đầu tư, kinh doanh với mục tiêu tối đa
hóa lợi nhuận của doanh nghiệp. Thêm vào đó, công ty phải tận dụng tổng tài sản một cách tối
ưu và hợp lý để xây dựng và mở rộng quy mô công ty lớn hơn với mục tiêu tăng doanh thu và
lợi nhuận trong hoạt động kinh doanh. 25 Downloaded by
VietJack TV Of icial (vietjackvideos@gmail.com) lOMoAR cPSD|27879799 c. Chỉ số n�
i. Tỷ số n� trên tài sản: 2018 2019 2020 2021 Tổng n� 37.600.057.83 53.989.393.95 72.291.648.08 87.455.796.84 0.115 6.205 2.726 6.810 Tổng tài 78.223.007.67 101.776.030.0 131.511.434.3 178.236.422.3 sản 0.925 99.900 88.837 58.249 Tỷ số n� trên tài sản 48 ,07% 53 ,05% 54 ,97% 49 ,07% Trung bình 59 % ngành
Biểu đồ 13: Biến động tỷ số nợ trên tài sản
Tỷ số cho thấy tổng nợ chiếm 48,07% trên tổng tài sản vào năm 2018, chiếm 53,05% vào
2019, chiếm 54,97% vào 2020 và chiếm 49,07% vào 2021. Tỷ số tăng liên tục trong ba năm
từ 2018 đến 2020, cụ thể là từ 48,07% tăng lên 54,97%. Tuy nhiên, vào năm 2021, tỷ số giảm
mạnh xuống 49,07%, gần với tỷ số vào năm 2018. Nhìn chung, tỷ số nợ có xu hướng tăng, tuy
nhiên khi so sánh với trung bình ngành, tỷ số của công ty luôn thấp hơn trong 4 năm. Như vây,
đây vẫn là tỷ số tốt cho công ty và cần duy trì xu hướng giảm này trong các năm tiếp theo. Để
tỷ số có xu hướng tốt và an toàn hơn, doanh nghiệp cần tăng vốn chủ sở hữu của công ty, tăng
thêm các khoản phải thu khách hàng, đẩy mạnh hơn nữa hàng tồn kho nh�m mục đích tăng
thêm doanh thu để giảm nợ phải trả. 26
Downloaded by VietJack TV Official (vietjackvideos@gmail.com) lOMoAR cPSD|27879799
ii. Tỷ số n� trên vốn chủ sở hữu: 2019 2020 2021 2018 Tổng n� 37.600.057.83 53.989.393.95 72.291.648.08 87.455.796.84 0.115 6.205 2.726 6.810 Tổng vốn 40.622.949.84 47.786.636.14 59.219.786.30 90.780.625.51 chủ sở hữu 0.810 3.695 6.111 1.439 Tỷ số n� trên vốn chủ sở hữu 92 ,56% 112,98 % 122,07 % 96 ,34% Trung bình 203,00 % ngành
Biểu đồ 14: Biến động tỷ số nợ trên vốn chủ sở hữu
Tỷ số cho thấy tổng nợ chiếm 92,56% trên tổng vốn chủ sở hữu vào năm 2018, chiếm
112,98% vào 2019, chiếm 122,07% vào 2020 và chiếm 96,34% vào 2021. Nhìn chung, tỷ số
có xu hướng tăng không liên tục trong 4 năm từ năm 2018 đến năm 2021. Cụ thể, khoảng thời
gian từ năm 2018 đến năm 2020, tỷ số tăng từ 92,56% lên đến 122,07% và vào năm 2021 tỷ
số giảm 25,73% so với năm 2020. Xu hướng tăng là không tốt cho doanh nghiệp, tuy nhiên
đây vẫn là tỷ số hiệu quả và an toàn vì tỷ số luôn thấy hơn trung bình ngành qua 4 năm liên
tiếp. Để tỷ số có xu hướng giảm trong các năm tới, doanh nghiệp cần tăng vốn chủ sở hữu của
công ty, tăng thêm các khoản phải thu khách hàng nh�m mục đích tăng thêm doanh thu để giảm nợ phải trả.
i i. Tỷ số khả năng thanh toán lãi vay: 27 Downloaded by
VietJack TV Of icial (vietjackvideos@gmail.com) lOMoAR cPSD|27879799 2018 2019 2020 2021 L�i nhuận 10.071.072.87 9.096.662.123 15.356.966.79 37.056.777.71 trước thuế 2.302 .386 1.701 4.190 Chi phí lãi 539.861.243.6 936.710.218.3 2.191.680.923 2.525.823.258 vay 40 59 .417 .237 Tỷ số khả năng thanh toán lãi vay 19 , 65 10 , 71 8 , 01 15 , 67
Biểu đồ 15: Biến động tỷ số khả năng thanh toán lãi vay
Vào năm 2018, tỷ số khả năng thanh toán lãi vay n�m ở mức 19,65, sau đó giảm mạnh
xuống 10,71 vào năm 2019, tỷ số tiếp tục giảm vào năm 2020 với 8,01 và tăng lên lại 15,67
vào năm 2021. Nhìn chung, tỷ số liên tục có xu hướng giảm trong khoảng thời gian từ 2018
đến 2021 là không tốt cho doanh nghiệp. Nguyên nhân tỷ số giảm là do chi phí lãi vay của
doanh nghiệp tăng gấp 4 lần trong khi lợi nhuận trước thuế chỉ tăng 1,5 lần. Vào năm 2021, tỷ
số tăng lại do lợi nhuận trước thuế tăng hơn gấp đôi và chi phí lãi vay chỉ tăng nhẹ, tuy nhiên
vẫn thấp hơn năm 2018. Có thể thấy doanh nghiệp đang cố gắng đẩy cao khả năng thanh toán lãi vay.
Đánh giá chung nhóm chỉ số nợ, ta thấy các chỉ số nợ của công ty đang có xu hướng an
toàn, có mức độ thấp hơn trung bình ngành và công ty có khả năng thanh toán nợ trong 4 năm.
Kiến nghị doanh nghiệp cần duy trì nhóm chỉ số nợ với xu hướng như trên thông qua các cách
doanh nghiệp cần tăng vốn chủ sở hữu của công ty, tăng thêm các khoản phải thu khách hàng,
đẩy mạnh hơn nữa hàng tồn kho b�ng các chương trình khuyến mãi nh�m mục đích tăng thêm 28
Downloaded by VietJack TV Official (vietjackvideos@gmail.com) lOMoAR cPSD|27879799
doanh thu để giảm nợ phải trả. Ngoài ra, công ty có thể thanh toán các khoản nợ b�ng cách
giảm đi tài khoản tiền và các khoản tương đương với tiền. d.Chỉ số sinh lời i. Biên l�i nhuận g�p: 2018 2019 2020 2021 Doanh thu 37.600.057.83 53.989.393.95 72.291.648.08 87.455.796.84 thuần 0.115 6.205 2.726 6.810 Giá vốn bán 40.622.949.84 47.786.636.14 59.219.786.30 90.780.625.51 hàng 0.810 3.695 6.111 1.439 Biên l�i nhuận g�p 20, 90% 17 ,57% 20 ,98% 27 ,46% Trung bình ngành 7 ,37%
Biểu đồ 16: Biến động biên lợi nhuận gộp
Trong giai đoạn 2018 - 2019, biên lợi nhuận gộp có xu hướng giảm, cụ thể là lợi nhuận
gộp chiếm 20,90% doanh thu thuần vào năm 2018 và giảm xuống 17,57% vào năm 2019. Sau
đó, chỉ số này bắt đầu xu hướng tăng trở lại qua các năm sau, tăng lên 20,98% vào năm 2020
và lên đến 27,46% vào năm 2021. Nhìn chung, tỷ số biên lợi nhuận gộp có xu hướng tăng và
vượt cao hơn trung bình ngành gấp nhiều lần là tập đoàn Hòa Phát đạt được lợi nhuận gộp cao
hơn so với trung bình ngành. Tập đoàn có thể phát triển tốt hơn nếu giảm giá vốn bán hàng
b�ng cách thương lượng với bên cung ứng về giá cả nguyên vật liệu hoặc tìm nguồn cung mới
với chi phí tốt hơn nhưng chất lượng không đổi. 29 Downloaded by
VietJack TV Of icial (vietjackvideos@gmail.com) lOMoAR cPSD|27879799
ii. Biên l�i nhuận từ hoạt đ�ng kinh doanh: 2018 2019 2020 2021 Lợi nhuận trước 10.071.072.8 9.096.662.123 15.356.966.79 37.056.777.71 thuế 72.302 .386 1.701 4.190 Chi phí lãi vay 539.861.243. 936.710.218.3 2.191.680.923 2.525.823.258 640 59 .417 .237 Doanh thu thuần 37.600.057.8 53.989.393.95 72.291.648.08 87.455.796.84 30.115 6.205 2.726 6.810 Biên lợi nhuận từ hoạt động kinh doanh 19 ,00% 15 ,76% 19 ,47% 26,4 4% Trung bình ngành 2 ,63%
Biểu đồ 17: Biến động biên lợi nhuận từ hoath động kinh doanh
Theo số liệu trong bảng, lợi nhuận từ hoạt động kinh doanh của tập đoàn Hòa Phát chiếm
19% doanh thu thuần vào năm 2018, chiếm 15,76% vào năm 2019, chiếm 19,47% vào 2020
và 26,44% vào năm 2021. Tỷ số biên lợi nhuận từ hoạt động kinh doanh giảm ở giai đoạn
2018-2019 và bắt đầu tăng qua các năm sau. Điều này cho thấy lợi nhuận từ hoạt động kinh
doanh có xu hướng tăng và còn vượt cao hơn trung bình ngành gấp nhiều lần. Việc kinh doanh
của tập đoàn Hòa Phát đang rất tốt và hiệu quả, nên tiếp tục phát huy và có những chiến lược
gia tăng chỉ số này như đẩy mạnh sản phẩm ra thị trường qua với hình thức PR, Marketing,
quảng cáo công ty qua truyền thông kể chuyện (Storytelling) hoặc tài trợ chương trình truyền hình. 30
Downloaded by VietJack TV Official (vietjackvideos@gmail.com) lOMoAR cPSD|27879799
iii. Biên l�i nhuận ròng: 2018 2019 2020 2021 Lợi nhuận sau 8.600.550.70 7.578.248.236 13.506.164.05 34.520.954.93 thuế 6.227 .229 6.907 1.298 Doanh thu thuần 55.836.458.3 63.658.192.67 90.118.503.42 149.679.789.9 79.759 3.791 6.717 79.345 Biên lợi nhuận ròng 15 ,40% 11 ,90% 14 ,99% 23 ,06% Trung bình ngành 2 ,00%
Biểu đồ 18: Biến động biên lợi nhuận ròng
Tỷ số biên lợi nhuận ròng giảm ở năm 2018-2019 và bắt đầu tăng qua các năm sau. Vào
năm 2018, biên lợi nhuận ròng chiếm 15,40% doanh thu thuần, chiếm 11,90% vào năm 2019,
chiếm 14,99% vào 2020 và 23,06% vào năm 2021. Nhìn chung, tỷ số biên lợi nhuận ròng vượt
cao hơn trung bình ngành gấp nhiều lần cho thấy lợi nhuận ròng cao và việc kinh doanh của
doanh nghiệp có hiệu quả.
Đánh giá chung 3 tỷ số biên lợi nhuận gộp, biên lợi nhuận từ hoạt động kinh doanh và biên
lợi nhuận ròng, ta nhận thấy cả ba tỷ số đều giảm vào năm 2019 và bắt đầu tăng trở lại từ năm 2020.
Việc biến động của tỷ số là do ảnh hưởng của giá quặng sắt, giá điện và chi phí tài chính
tác động ngành thép nên có sự giảm mạnh vào năm 2019. Tuy nhiên, trong năm 2020 đã có
những chuyển biến tích cực trong toàn ngành thép, nhờ vào việc đẩy nhanh tiến độ các dự án 31 Downloaded by
VietJack TV Of icial (vietjackvideos@gmail.com) lOMoAR cPSD|27879799
đầu tư công của các địa phương đã góp phần thúc đẩy sản lượng tiêu thụ của toàn ngành thép
trong bối cảnh thị trường ảm đạm vì dịch bệnh. Cùng với đó, ngành thép được hưởng lợi trực
tiếp từ sự tăng giá của mặt hàng thép, gia tăng nhu cầu thép từ Trung Quốc, đặc biệt là mặt
hàng thép cuộn cán nóng. Với sự phục hồi rõ rệt của ngành thép ở những tháng cuối năm, nhà
đầu tư kỳ vọng ngành thép sẽ còn có triển vọng tích cực trong năm 2021 bởi sẽ có làn sóng
đầu tư mạnh mẽ vào cơ sở hạ tầng. Khi đó, vật liệu xây dựng nói chung, thép nói riêng sẽ là
ngành được hưởng lợi lớn nhất. Các động lực thúc đẩy nhu cầu thép bao gồm đầu tư cơ sở hạ
tầng, bởi sự phục hồi của thị trường bất động sản và dòng vốn FDI, điều này cũng giúp gia
tăng hoạt động xây dựng dân dụng dọc theo các công trình cơ sở hạ tầng và dự án FDI. Về phía
doanh nghiệp, để tiếp tục phát triển, thu được nhiều lợi nhuận hơn, công ty có thể giảm chi phí
hoạt động b�ng cách cắt giảm các chi nhánh hoạt động không hiệu quả; thương lượng với bên
cung ứng về giá cả nguyên vật liệu hoặc tìm nguồn cung cấp mới với chi phí tốt hơn nhưng
chất lượng không đổi; b� đầu tư tài chính không hiệu quả đồng thời sa thải nhân viên làm việc
không hiệu quả hoặc chuyển đổi ban làm việc; giảm chi phí bán hàng thông qua việc đào tạo
nhân sự; áp dụng các công nghệ trong quản lý doanh nghiệp
iv. Thu nhập trên mỗi cổ phần (EPS): 2018 2019 2020 2021 Lợi nhuận 8.600.550.706 7.578.248.236 13.506.164.05 34.520.954.93 sau thuế .227 .229 6.907 1.298 Số cổ phiếu 55.836.458.37 63.658.192.67 90.118.503.42 149.679.789.9 9.759 3.791 6.717 79.345 Thu nhập 4.049 2.745 4.076 7.718 32
Downloaded by VietJack TV Official (vietjackvideos@gmail.com) lOMoAR cPSD|27879799 trên mỗi cổ phần
Biểu đồ 19: Biến động thu nhập trên mỗi cổ phần
Vào giai đoạn 2018 - 2019, cổ tức nhận được trên một cổ phiếu giảm mạnh từ 4.049 đồng
xuống 2.745 đồng. Tuy nhiên, thu nhập trên mỗi cổ phần của tập đoàn Hòa Phát có xu hướng
tăng trở lại vào giai đoạn 2019 - 2021, 1 cổ phiếu nhận được 4.076 đồng cổ tức vào năm 2020
và 7.718 đồng cổ tức vào năm 2021. Điều này là tốt cho cả tập đoàn Hòa Phát lẫn nhà đầu tư, các cổ đông.
v. Tỷ suất sinh lời trên tổng tài sản (ROA) 2018 2019 2020 2021 Lợi nhuận 8.600.550.706 7.578.248.236 13.506.164.05 34.520.954.93 sau thuế .227 .229 6.907 1.298 Tổng tài sản 78.223.007.67 101.776.030.0 131.511.434.3 178.236.422.3 0.925 99.900 88.837 58.249 Tỷ số sinh 10,99% 7,45% 10,27% 19,37% 33 Downloaded by
VietJack TV Of icial (vietjackvideos@gmail.com) lOMoAR cPSD|27879799 lời trên tổng tài sản Trung bình 4 ,83% ngành
Biểu đồ 20: Biến động tỷ suất sinh lời trên tổng tài sản
Bảng chỉ số cho thấy lợi nhuận sau thuế chiếm lần lượt là 10,99%; 11,90%; 14,99%;
23,06% tổng tài sản trong 4 năm qua. Tỷ suất sinh lời trên tổng tài sản giảm vào giai đoạn
2018-2019 và bắt đầu tăng qua các năm sau. Nhìn chung, tỷ số sinh lời trên tổng tài sản cao
hơn trung bình ngành cho thấy lợi nhuận sau thuế cao và việc kinh doanh của doanh nghiệp có
hiệu quả trong việc dùng các tài sản sẵn có để tạo ra lợi nhuận.
vi. Tỷ suất sinh lời trên vốn chủ sở hữu (ROE) 2018 2019 2020 2021 Lợi nhuận sau 8.600.550.70 7.578.248.236 13.506.164.05 34.520.954.93 thuế 6.227 .229 6.907 1.298 Vốn chủ sở 40.622.949.8 47.786.636.14 59.219.786.30 90.780.625.51 hữu 40.810 3.695 6.111 1.439 Tỷ số sinh lời 21 ,17% 15 ,86% 22 ,81% 38 ,03% trên vốn chủ 34
Downloaded by VietJack TV Official (vietjackvideos@gmail.com) lOMoAR cPSD|27879799 sở hữu Trung bình 14 ,09% ngành
Biểu đồ 21: Biến động tỷ suất sinh lời trên vốn chủ sở hữu
Nhìn chung, tỷ số sinh lời trên vốn chủ sở hữu giảm mạnh vào giai đoạn 2018-2019 từ
21,17% xuống 15,86% và bắt đầu tăng trở lại qua các năm sau, cụ thể hơn là lợi nhuận sau
thuế tăng trưởng mạnh chiếm đến 22,81% tổng tài sản vào năm 2020 và 38,03% vào năm 2021.
Đồng thời, tỷ số sinh lời trên vốn chủ sở hữu cao hơn trung bình ngành trong những năm sau
cho thấy việc kinh doanh của doanh nghiệp có hiệu quả trong việc dùng các tài sản sẵn có để tạo ra lợi nhuận.
Phương pháp phân tích Dupont: Biên lợi nhuận ròng 1 , 5 4 0% 11 ,90% 14 ,99% 23 ,06%
Hiệu suất sử dụng tổng tài sản 0 ,7 1 0 , 63 0 , 69 0, 84 Đòn bẩy tài chính 1,926 2,130 2,221 1,963 35 Downloaded by
VietJack TV Of icial (vietjackvideos@gmail.com) lOMoAR cPSD|27879799
Biểu đồ 22: Biểu đồ báo cáo kết quả hoạt động kinh doanh
Thông qua phương pháp phân tích Dupont, tỷ suất sinh lời dựa trên mức độ sử dụng tài sản
và đòn bẩy tài chính hiệu quả do lợi nhuận sau thuế tăng. Vì vậy, tập đoàn Hòa Phát cần tiếp
tục phát huy điểm mạnh này, đồng thời tăng lợi nhuận sau thuế qua việc tối thiểu hóa các khoản
chi phí hoạt động như giảm các khoản giảm trừ b�ng việc cắt giảm các chi nhánh hoạt động
không hiệu quả, tập trung phát triển các chi nhánh tiềm năng, giảm chi phí bán hàng b�ng cách
xây dựng bộ KPIs, các khóa đào tạo nhân sự.
e. Chỉ số thị trường:
i. Chỉ số giá trên thu nhập: 2018 2019 2020 2021 Giá thị trường 30.950 23.500 41.450 46.400 Earnings per share 4.049 2.745 4.076 7.718 Chỉ số giá trên thu nhập 7, 64 8 , 56 10, 1 7 6 , 01 Trung bình ngành 6, 2 8 36 lOMoAR cPSD|27879799
Biểu đồ 23: Biến động chỉ số giá trên thu nhập
Theo chỉ số, vào năm 2018, nhà đầu tư sẵn sàng chi trả 2,48 đồng cho mỗi đồng thu nhập
của công ty; 3,67 đồng vào 2019; 2,60 đồng vào năm 2020 và 1,40 đồng vào năm 2021. Nhìn
chung, chỉ số có xu hướng giảm không liên tục, cụ thể, vào năm 2019 chỉ số tăng 1,19 đồng so
với năm 2018 và từ năm 2019 đến năm 2021, chỉ số giảm liên tục từ 3,67 đồng xuống còn 1,40
đồng. Với xu hướng giảm trong 4 năm, đây là một xu hướng có lợi cho công ty vì khi tỉ lệ càng
thấp thì niềm tin của nhà đầu tư càng lớn.
f. Bảng tổng h�p các chỉ số: tổng h�p tất cả các chỉ số vào 01 bảng (kèm trung bình ngành) 2018 2019 2020 2021 Chỉ số ngành Đánh giá Chỉ số thanh khoản
Thanh khoản hiện hành 1 , 12 1 , 13 1 ,0 9 1, 28 1 , 39 Thấp Thanh khoản nhanh 0 , 49 0 , 41 0 , 59 0 , 71 0 , 63 Thấp
Nhóm tỷ số hoạt đ�ng
Vòng quay hàng tồn kho3,13 2 , 70 2 , 71 2 , 58 6 , 34 Rất thấp lOMoAR cPSD|27879799 3. Đánh giá doanh nghiệp
Về nhóm chỉ số thanh khoản, các chỉ số có xu hướng tăng giảm không ổn định trong 4
năm. Khi so sánh với trung bình ngành, cả hai chỉ số trong nhóm luôn thấp hơn trung bình
ngành, chỉ có tỷ số thanh khoản nhanh vào năm 2021 cao hơn với 7,01. Điều này chứng t� 38 lOMoAR cPSD|27879799
doanh nghiệp không có khả năng đáp ứng việc chi trả cho các khoản nợ ngắn hạn vì hàng tồn
kho chiếm tỷ trọng cao trong tài sản ngắn hạn, doanh nghiệp sẽ đối mặt với rủi ro khi không
thể đẩy nhanh hàng tồn kho.
Ở nhóm tỷ số hoạt động, vòng quay hàng tồn kho và chu kỳ trung bình hàng tồn kho có xu
hướng giảm cho thấy hoạt động bán hàng không hiệu quả và hàng tồn kho tồn đọng nhiều. Kỳ
thu nợ bình quân tăng giảm không ổn định, tuy nhiên kỳ thu nợ đang rút ngắn dần là một dấu
hiệu tốt. Cũng như kỳ thu nợ bình quân, kỳ chi trả trung bình tăng giảm không ổn định, nhưng
số ngày trả nợ đã được tăng lên đáng kể, đối với góc độ tài chính của doanh nghiệp đây là một
điều tốt. Hiệu suất sử dụng tổng tài sản và hiệu suất sử dụng vốn chủ sở hữu đều giảm vào năm
2019 và trên đà tăng lại vào 2020 trở đi. Tuy nhiên, có sự khác biệt rõ rệt ở hai chỉ số khi hiệu
suất sử dụng tổng tài sản luôn bé hơn 1 và hiệu suất sử dụng vốn chủ sở hữu luôn lớn hơn 1.
Trong nhóm chỉ số nợ, mặc dù, mức tổng nợ của doanh nghiệp tăng liên tục trong 4 năm,
doanh nghiệp vẫn có khả năng chi trả các khoản nợ nhờ tổng tài sản và tổng vốn chủ sở hữu
tăng mạnh qua các năm. Thêm vào đó, khi so sánh với trung bình ngành, 2 chỉ số tỷ số nợ trên
tài sản và tỷ số nợ trên vốn chủ sở hữu luôn cao hơn rất nhiều so với trung bình ngành. Điều
đó cho thấy doanh nghiệp đang có khả năng chi trả các khoản nợ tốt so với nhiều công ty trong
ngành. Với chỉ số khả năng thanh toán vay lãi, doanh nghiệp đang cố gắng tăng tỷ số khi lợi
nhuận trước thuế tăng hơn gấp đôi và chi phí lãi vay tăng nhẹ vào năm 2021. Do vậy, tỷ số ở
năm 2021 đã có tăng tốt hơn sau 2 năm giảm tỷ số, cụ thể là năm 2019 và 2020.
Về các chỉ số sinh lời, nhìn chung từ 3 tỷ số biên lợi nhuận gộp, biên lợi nhuận từ hoạt
động kinh doanh và biên lợi nhuận ròng, ta nhận thấy cả ba tỷ số đều giảm vào giai đoạn 2018
- 2019 và bắt đầu tăng trở lại từ năm 2020. Việc biến động của tỷ số là do ảnh hưởng của dịch
covid-19 tác động đến tất cả ngành nghề nói chung và ngành thép nói riêng nên có sự giảm
mạnh vào năm 2019. Tuy nhiên, trong năm 2020 đã có những chuyển biến tích cực trong toàn
ngành thép, nhờ vào việc đẩy nhanh tiến độ các dự án đầu tư công của các địa phương đã góp
phần thúc đẩy sản lượng tiêu thụ của toàn ngành thép trong bối cảnh thị trường ảm đạm vì dịch
bệnh. Cùng với đó, ngành thép được hưởng lợi trực tiếp từ sự tăng giá của mặt hàng thép, gia
tăng nhu cầu thép từ Trung Quốc, đặc biệt là mặt hàng thép cuộn cán nóng. Với sự phục hồi rõ
rệt của ngành thép ở những tháng cuối năm, nhà đầu tư kỳ vọng ngành thép sẽ còn có triển
vọng tích cực trong năm 2021 bởi sẽ có làn sóng đầu tư mạnh mẽ vào cơ sở hạ tầng. Khi đó,
vật liệu xây dựng nói chung, thép nói riêng sẽ là ngành được hưởng lợi lớn nhất. lOMoAR cPSD|27879799
Chỉ số giá trên thu nhập tăng liên tục trong 3 năm từ 2018 đến 2020 và giảm vào 2021, với
sự giảm xuống của tỷ lệ P/E thì niềm tin của nhà đầu tư vào doanh nghiệp tăng lên. 4. Kiến nghị
Nhóm chỉ số thanh khoản thấy được sự giảm dần trong nhóm chỉ số vì hàng tồn kho của
doanh nghiệp nhiều. Do đó, doanh nghiệp cần chủ trọng đẩy hàng tồn kho thông qua thêm các
chính sách giảm giá, ưu đãi, marketing từ công ty đến sản phẩm, phát triển các kênh phân phối
và tăng chiết khấu cho các đại lý.
Nhóm tỷ số hoạt động, doanh nghiệp cần đẩy mạnh hàng tồn kho ngoài việc giúp tăng
doanh thu bán hàng, giảm chi phí kho bãi. Công ty nên quản lý các khoản thu hiệu quả hơn
nh�m tăng tài sản và nguồn vốn cho hoạt động đầu tư, kinh doanh với mục tiêu tối đa hóa lợi
nhuận của doanh nghiệp. Thêm vào đó, công ty phải tận dụng tổng tài sản một cách tối ưu và
hợp lý để xây dựng và mở rộng quy mô công ty lớn hơn với mục tiêu tăng doanh thu và lợi
nhuận trong hoạt động kinh doanh. Ngoài ra, công ty nên sử dụng chiến thuật Chiếm dụng vốn
trong kinh doanh để tận dụng tiền cho các khoản đầu tư sinh lời của công ty.
Nhóm chỉ số nợ, doanh nghiệp cần duy trì nhóm chỉ số nợ thông qua các cách doanh nghiệp
cần tăng vốn chủ sở hữu của công ty, tăng thêm các khoản phải thu khách hàng, đẩy mạnh hơn
nữa hàng tồn kho b�ng các chương trình khuyến mãi nh�m mục đích tăng thêm doanh thu để
giảm nợ phải trả. Ngoài ra, công ty có thể thanh toán các khoản nợ b�ng cách giảm đi tài khoản
tiền và các khoản tương đương với tiền.
Nhóm chỉ số sinh lời, thông qua phương pháp phân tích Dupont, tỷ suất sinh lời chủ yếu
dựa trên mức độ sử dụng tài sản hiệu quả. Vì vậy, công ty cần tiếp tục phát huy điểm mạnh
này để thu được nhiều lợi nhuận hơn, đồng thời tăng lợi nhuận sau thuế qua việc tối thiểu hóa
các khoản chi phí hoạt động như giảm các khoản giảm trừ b�ng việc tập trung phát triển các
chi nhánh tiềm năng; giảm chi phí bán hàng b�ng cách xây dựng bộ KPIs, các khóa đào tạo
nhân sự; giảm giá vốn bán hàng thông qua thương lượng với bên cung ứng về giá cả nguyên
vật liệu hoặc tìm nguồn cung cấp mới với chi phí tốt hơn nhưng chất lượng không đổi; b� đầu
tư tài chính không hiệu quả đồng thời sa thải nhân viên làm việc không hiệu quả hoặc chuyển
đổi ban làm việc; áp dụng các công nghệ trong quản lý doanh nghiệp. V. KẾT LUẬN 40 lOMoAR cPSD|27879799 NGUỒN THAM KHẢO:
https://vnexpress.net/hoa-phat-dat-ke-hoach-loi-nhuan-2019-giam-22-3902147.html
Tập đoàn Hòa Phát - HPG Group (hoaphat.com.vn)
Tập đoàn Hòa Phát – Wikipedia tiếng Việt