Report tài liệu
Chia sẻ tài liệu
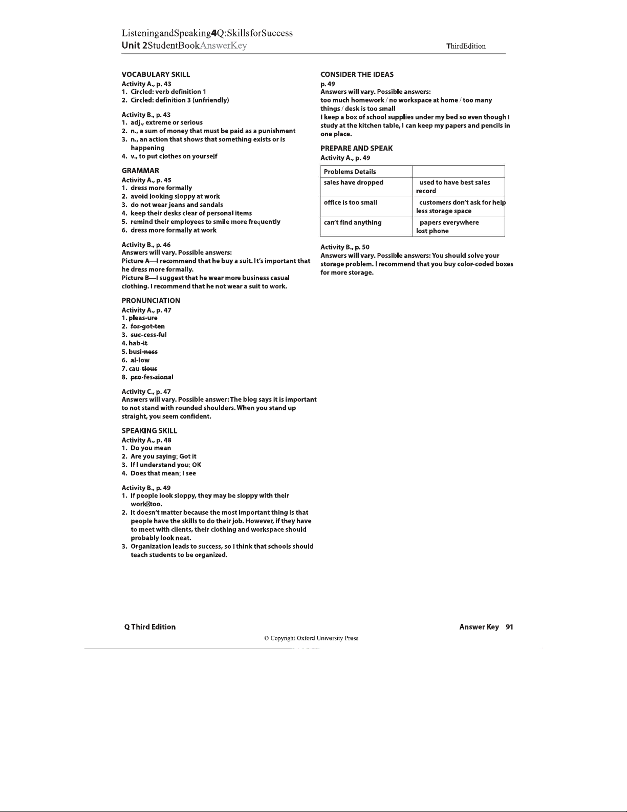
Q Skills for Success Listening and Speaking 4 Teacher’s Handbook - Answer Key
Q Skills for Success Listening and Speaking 4 Teacher’s Handbook - Answer Key
Chủ đề: Tài liệu chung Tiếng Anh 12 479 tài liệu
Môn: Tiếng Anh 12 1.2 K tài liệu
Tác giả:
Tài liệu liên quan:
-
Câu hỏi phản hồi chủ đề Ferien und Urlaub: Gợi ý và Thảo luận
1 1 -
UNIT 10 - ECOTOURISM: Vocabulary, Grammar & Practice Exercises
1 1 -
Chuyên đề 2: Sự Phối Thì trong Tiếng Anh - Thì Hiện Tại và Quá Khứ
4 2 -
Unit 8 & 9 HS - Review Questions and Answers
6 3 -
G12-UNIT-14 - Anh Văn: Exercises on Red Cross and Humanitarian Aid
5 3



















