Report tài liệu
Chia sẻ tài liệu
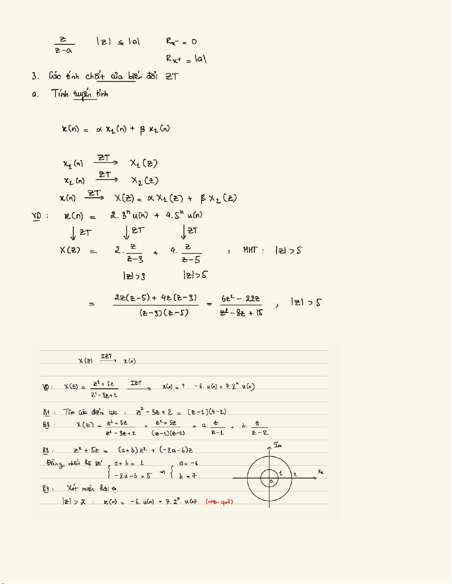
Tài liệu Môn Xử lý tín hiệu | Đại học Bách Khoa Hà Nội
Tài liệu Môn Xử lý tín hiệu. Tài liệu được sưu tầm gồm 6 trang, giúp bạn ôn tập tốt hơn. Mời các bạn đón xem.
Môn: Xử lý tín hiệu 22 tài liệu
Trường: Đại học Bách Khoa Hà Nội 5.8 K tài liệu
Tác giả:






Tài liệu khác của Đại học Bách Khoa Hà Nội
Preview text:
lOMoAR cPSD| 61622985 lOMoAR cPSD| 61622985 lOMoAR cPSD| 61622985 lOMoAR cPSD| 61622985 lOMoAR cPSD| 61622985 lOMoAR cPSD| 61622985
Tài liệu liên quan:
-
Đề Thi Giữa Kỳ Môn Xử lý tín hiệu | Đại học Bách Khoa Hà Nội
88 44 -
TOP câu hỏi trắc nghiệm Môn Xử lý tín hiệu | Đại học Bách Khoa Hà Nội
74 37 -
TOP câu hỏi trắc nghiệm Môn Xử lý tín hiệu | Đại học Bách Khoa Hà Nội
103 52 -
Giáo trình Xử lý tín hiệu và lọc số tập 2_PGS.TS. Nguyễn Quốc Trung| Môn Xử lý tín hiệu| Trường Đại học Bách Khoa Hà Nội
392 196