



















Preview text:
TRƯỜNG ĐẠI HỌC NGOẠI THƯƠNG
CƠ SỞ II TẠI THÀNH PHỐ HỒ CHÍ MINH *** TIỂU LUẬN
Môn: KINH TẾ PHÁT TRIỂN ĐỀ TÀI:
CHỈ SỐ PHÁT TRIỂN CON NGƯỜI HDI CỦA THẾ GIỚI
VÀ VIỆT NAM GIAI ĐOẠN 2016 - 2021 Nhóm: 19 Mã lớp: KT406
Giảng viên hướng dẫn: Huỳnh Hiền Hải
Thành phố Hồ Chí Minh, ngày 01 tháng 12 năm 2022 DANH SÁCH THÀNH VIÊN STT Họ và tên MSSV Mức độ tham gia 1 Phan Thanh Trúc 2011115644 100% 2 Hà Thị Thùy Dung 2011116353 100% 3 Lê Thị Hậu 2011116381 100% 4 Nguyễn Minh Tâm 2011116553 100% 5 Trần Hữu Thắng 2011116557 100%
6 Nguyễn Hồng Nguyệt Thanh 2011116558 100% 7 Nguyễn Bảo Toàn 2011116591 100% i MỤC LỤC
DANH SÁCH THÀNH VIÊN. . . . . . . . . . . . . . . . . . . . . . . . . . . . . . . . . . . . . . . . . . . I MỤC LỤC II
DANH MỤC HÌNH. . . . . . . . . . . . . . . . . . . . . . . . . . . . . . . . . . . . . . . . . . . . . . . . . . .V
DANH MỤC BẢNG. . . . . . . . . . . . . . . . . . . . . . . . . . . . . . . . . . . . . . . . . . . . . . . . . VI
LỜI NÓI ĐẦU. . . . . . . . . . . . . . . . . . . . . . . . . . . . . . . . . . . . . . . . . . . . . . . . . . . . . . . 1
PHẦN 1. LÝ THUYẾT. . . . . . . . . . . . . . . . . . . . . . . . . . . . . . . . . . . . . . . . . . . . . . 2
1.1. Quan điểm về phát triển con người. . . . . . . . . . . . . . . . . . . . . . . . . . . . . . 2
1.2. Chỉ tiêu đánh giá con người. . . . . . . . . . . . . . . . . . . . . . . . . . . . . . . . . . . . .2 1.2.1.
Khái niệm. . . . . . . . . . . . . . . . . . . . . . . . . . . . . . . . . . . . . . . . . . . . . . . . 2 1.2.2.
Tiêu chuẩn phân nhóm. . . . . . . . . . . . . . . . . . . . . . . . . . . . . . . . . . . . . .4 1.2.3.
Ý nghĩa. . . . . . . . . . . . . . . . . . . . . . . . . . . . . . . . . . . . . . . . . . . . . . . . . .4
1.3. Mối quan hệ giữa tăng trưởng kinh tế và phát triển con người. . . . . . . 4
PHẦN 2. PHÂN TÍCH CHỈ SỐ PHÁT TRIỂN CON NGƯỜI CỦA THẾ GIỚI
VÀ VIỆT NAM. . . . . . . . . . . . . . . . . . . . . . . . . . . . . . . . . . . . . . . . . . . . . . . . . . . . . . 6
2.1. Phân tích chỉ số sức khoẻ trên toàn thế giới. . . . . . . . . . . . . . . . . . . . . . . 6 2.1.1.
Tuổi thọ trung bình thực tế trên thế giới. . . . . . . . . . . . . . . . . . . . . . . . 6 2.1.2.
Các yếu tố ảnh hưởng đến tuổi thọ trung bình trên thế giới. . . . . . . . . 7
2.1.2.1. Covid-19. . . . . . . . . . . . . . . . . . . . . . . . . . . . . . . . . . . . . . . . . . . . . . . 7
2.1.2.2. Tỷ lệ mắc và tử vong do HIV. . . . . . . . . . . . . . . . . . . . . . . . . . . . . . . 8
2.1.2.3. Tỷ lệ tử vong do môi trường. . . . . . . . . . . . . . . . . . . . . . . . . . . . . . . . 9
2.2. Phân tích chỉ số phát triển giáo dục trên toàn thế giới. . . . . . . . . . . . . . .9 2.2.1.
Tình hình giáo dục trên toàn thế giới. . . . . . . . . . . . . . . . . . . . . . . . . . .9 2.2.2.
Sự chênh lệch giáo dục giữa các nhóm quốc gia. . . . . . . . . . . . . . . . .10
2.2.2.1. Thực trạng chênh lệch giữa các nhóm quốc gia. . . . . . . . . . . . . . . . 10
2.2.2.2. Các yếu tố tạo nên sự chênh lệch giáo dục. . . . . . . . . . . . . . . . . . . . 12
2.3. Phân tích chỉ số thu nhập (Income index). . . . . . . . . . . . . . . . . . . . . . . . 13 2.3.1.
Chỉ số GNI. . . . . . . . . . . . . . . . . . . . . . . . . . . . . . . . . . . . . . . . . . . . . . 13 2.3.2.
Các yếu tố ảnh hưởng đến thu nhập. . . . . . . . . . . . . . . . . . . . . . . . . . .15
2.3.2.1. Công nghệ. . . . . . . . . . . . . . . . . . . . . . . . . . . . . . . . . . . . . . . . . . . . . 15
2.3.2.2. Bất bình đẳng về thu nhập (Income Inequality). . . . . . . . . . . . . . . . 16
2.3.2.3. Môi trường. . . . . . . . . . . . . . . . . . . . . . . . . . . . . . . . . . . . . . . . . . . . .17
2.4. Thực trạng chỉ số phát triển con người ở Việt Nam giai đoạn 2016 - 2021 18 2.4.1.
Các chỉ số thành phần. . . . . . . . . . . . . . . . . . . . . . . . . . . . . . . . . . . . . 19
2.4.1.1. Chỉ số sức khỏe. . . . . . . . . . . . . . . . . . . . . . . . . . . . . . . . . . . . . . . . . 19
2.4.1.2. Chỉ số giáo dục. . . . . . . . . . . . . . . . . . . . . . . . . . . . . . . . . . . . . . . . . 21
2.4.1.3. Chỉ số thu nhập. . . . . . . . . . . . . . . . . . . . . . . . . . . . . . . . . . . . . . . . . 22
PHẦN 3. SO SÁNH CHỈ SỐ PHÁT TRIỂN CON NGƯỜI CỦA VIỆT NAM
VỚI THẾ GIỚI VÀ DỰ ĐOÁN XU HƯỚNG CỦA CHỈ SỐ HDI Ở VIỆT NAM 24
3.1. So sánh chỉ số HDI của Việt Nam với thế giới. . . . . . . . . . . . . . . . . . . . .24 3.1.1.
Chỉ số sức khoẻ của Việt Nam so với thế giới. . . . . . . . . . . . . . . . . . .24
3.1.1.1. Việt Nam và thành công trong ứng phó với đại dịch Covid-19. . . . 24
3.1.1.2. Cơ cấu dân số. . . . . . . . . . . . . . . . . . . . . . . . . . . . . . . . . . . . . . . . . . .24 3.1.2.
Chỉ số về thu nhập của Việt Nam so với thế giới. . . . . . . . . . . . . . . . 25 3.1.3.
Chỉ số về giáo dục của Việt Nam so với thế giới. . . . . . . . . . . . . . . . 26
3.2. Dự đoán xu hướng HDI của Việt Nam. . . . . . . . . . . . . . . . . . . . . . . . . . .26 3.2.1.
Về khía cạnh kinh tế. . . . . . . . . . . . . . . . . . . . . . . . . . . . . . . . . . . . . . .26 3.2.2.
Khía cạnh về giáo dục. . . . . . . . . . . . . . . . . . . . . . . . . . . . . . . . . . . . . 27 3.2.3.
Khía cạnh về tuổi thọ, cơ cấu dân số và y tế. . . . . . . . . . . . . . . . . . . . 27
PHẦN 4. BÀI HỌC RÚT RA VÀ CẢI CÁCH ĐỀ XUẤT. . . . . . . . . . . . . . . . . 29
4.1. Bài học từ các quốc gia trên Thế giới. . . . . . . . . . . . . . . . . . . . . . . . . . . . 29 4.1.1.
Chỉ số sức khỏe. . . . . . . . . . . . . . . . . . . . . . . . . . . . . . . . . . . . . . . . . . 29 4.1.2.
Chỉ số giáo dục. . . . . . . . . . . . . . . . . . . . . . . . . . . . . . . . . . . . . . . . . . .29 4.1.3.
Chỉ số thu nhập. . . . . . . . . . . . . . . . . . . . . . . . . . . . . . . . . . . . . . . . . . .29
4.2. Bài học nhóm đề xuất. . . . . . . . . . . . . . . . . . . . . . . . . . . . . . . . . . . . . . . . .30 4.2.1.
Chỉ số sức khỏe. . . . . . . . . . . . . . . . . . . . . . . . . . . . . . . . . . . . . . . . . . 30 4.2.2.
Chỉ số giáo dục. . . . . . . . . . . . . . . . . . . . . . . . . . . . . . . . . . . . . . . . . . .30 4.2.3.
Chỉ số thu nhập. . . . . . . . . . . . . . . . . . . . . . . . . . . . . . . . . . . . . . . . . . .31 i i LỜI KẾT 32
TÀI LIỆU THAM KHẢO. . . . . . . . . . . . . . . . . . . . . . . . . . . . . . . . . . . . . . . . . . . . .33 DANH MỤC HÌNH
Hình 2-1: Tuổi thọ trung bình của con người giữa các khu vực trên thế giới từ 2000-
2019. . . . . . . . . . . . . . . . . . . . . . . . . . . . . . . . . . . . . . . . . . . . . . . . . . . . . . . . . . . . . . . . . . . . 6
Hình 2-2: Sự khác biệt về tuổi thọ trung bình giữa nam và nữ 2000-2019. . . . . . . . . 6
Hình 2-3: Số ca nhiễm Covid-19 tính đến ngày 20/4/2022. . . . . . . . . . . . . . . . . . . . . 7
Hình 2-4: Số ca chết do Covid-19 tính đến ngày 20/4/2022. . . . . . . . . . . . . . . . . . . . .8
Hình 2-5: Số ca nhiễm HIV mới (trên 1000 dân số không nhiễm) từ 2000–2020. . . . 8
Hình 2-6: Bảng thống kê trình độ học vấn. . . . . . . . . . . . . . . . . . . . . . . . . . . . . . . . . . 9
Hình 2-7: Biểu đồ sự chênh lệch về chỉ số giáo dục (2017). . . . . . . . . . . . . . . . . . . . 11
Hình 2-8: Biểu đồ tỷ lệ trẻ em không đến trường do chiến tranh. . . . . . . . . . . . . . . . 12
Hình 2-9: Biểu đồ khoảng cách thu nhập trong việc “làm bài tập về nhà” thời kỳ
Covid-19. . . . . . . . . . . . . . . . . . . . . . . . . . . . . . . . . . . . . . . . . . . . . . . . . . . . . . . . . . . . . . . . 13
Hình 2-10: Chỉ số GNI bình quân đầu người trên thế giới theo sức mua tương đương
(PPP) giai đoạn 2016 - 2021. . . . . . . . . . . . . . . . . . . . . . . . . . . . . . . . . . . . . . . . . . . . . . . . .14
Hình 2-11: Hệ số Gini của một số quốc gia trên thế giới tính đến năm 2022. . . . . . .17
Hình 2-12: Biểu đồ số năm đi học kỳ vọng và số năm đi học bình quân của Việt
Nam giai đoạn 2016 - 2020. . . . . . . . . . . . . . . . . . . . . . . . . . . . . . . . . . . . . . . . . . . . . . . . . 21
Hình 3-1: GNI bình quân đầu người tính theo USD – PPP năm 2020 của Việt Nam
và một số nước trong khu vực. . . . . . . . . . . . . . . . . . . . . . . . . . . . . . . . . . . . . . . . . . . . . . . 25 v DANH MỤC BẢNG
Bảng 2-1: Chỉ số giáo dục các nước thuộc 4 nhóm theo đánh giá HDI 2021. . . . . . .10
Bảng 2-2: Một số nước đứng đầu về chỉ số GNI bình quân đầu người theo PPP 2020
- 2021. . . . . . . . . . . . . . . . . . . . . . . . . . . . . . . . . . . . . . . . . . . . . . . . . . . . . . . . . . . . . . . . . . 15
Bảng 2-3: Top 8 các quốc gia có trình độ phát triển công nghệ cao nhất (2020). . . .16
Bảng 2-4: Chỉ số HDI và xếp hạng trên thế giới của Việt Nam giai đoạn 2016 - 2021
. . . . . . . . . . . . . . . . . . . . . . . . . . . . . . . . . . . . . . . . . . . . . . . . . . . . . . . . . . . . . . . . . . . . . . . 18
Bảng 2-5: Tuổi thọ trung bình và tuổi thọ trung bình theo giới tính của cả nước giai
đoạn 2016 - 2021. . . . . . . . . . . . . . . . . . . . . . . . . . . . . . . . . . . . . . . . . . . . . . . . . . . . . . . . . 19
Bảng 2-6: Tuổi thọ trung bình tính từ lúc sinh của cả nước 2016 - 2020 chia theo
vùng. . . . . . . . . . . . . . . . . . . . . . . . . . . . . . . . . . . . . . . . . . . . . . . . . . . . . . . . . . . . . . . . . . . 20
Bảng 2-7: GNI bình quân đầu người theo USD – PPP giai đoạn 2016-2021. . . . . . .22
Bảng 2-8: Tổng hợp động thái HDI và các Chỉ số thành phần nước ta giai đoạn 2016
- 2021. . . . . . . . . . . . . . . . . . . . . . . . . . . . . . . . . . . . . . . . . . . . . . . . . . . . . . . . . . . . . . . . . . 23 LỜI NÓI ĐẦU
Chỉ số phát triển con người HDI luôn là một tiêu chí không chỉ bản thân một quốc gia
mà cả những chủ thể bên trong và bên ngoài của quốc gia quan tâm. Đặt câu hỏi cho khái
niệm, ý nghĩa, vai trò của chỉ số HDI là gì, nhóm tác giả đã thực hiện bài tiểu luận để khai
thác những thông tin quan trọng nhất liên quan đến chỉ số HDI.
Việt Nam và cả thế giới đang cùng đi qua một giai đoạn đầy rẫy khó khăn chưa từng
có trong lịch sử. Kinh tế, chính trị, văn hoá, xã hội… mọi mặt trong đời sống đều đảo lộn
và chứng kiến sự biện động không ngừng và khó dự đoán. Khi đó chỉ số HDI lại một lần
thể hiện vai trò quan trọng của mình – giúp các quốc gia có được những định hướng đúng
đắn để đi qua giai đoạn này.
Nhận thấy những vấn đề đó, bài tiểu luận mà nhóm tác giả thực hiện đã đi tìm hiểu và
phân tích chỉ số HDI và các tiêu chí thành phần của thế giới và Việt Nam giai đoạn 2016 –
2021. Với mong muốn đưa đến cho người đọc những góc nhìn khách quan và chính xác
nhất, trong quá trình thực hiện nhóm không khỏi tránh những sai sót. Hy vọng thầy và các
bạn sẽ vui lòng cảm thông và có những nhận xét xây dựng cho nhóm. Xin cảm ơn. 1 PHẦN 1. LÝ THUYẾT
1.1. Quan điểm về phát triển con người
Phát triển con người là sự phát triển vì con người, của con người và do con người.
Các quan điểm của phát triển con người là:
- Con người là trung tâm của sự phát triển.
- Người dân là mục tiêu của phát triển.
- Coi trọng việc nâng cao vị thế của người dân (gồm cả sự hưởng thụ và cống hiến).
- Chú trọng việc tạo sự bình đẳng về mọi mặt, ví dụ: màu da, tôn giáo, dân tộc,. .
- Tạo cơ hội lựa chọn tốt nhất cho mọi người về: văn hóa, kinh tế, chính trị, xã hội.
Theo quan điểm của Mác, sự phát triển con người gắn liền và là thước đo cho sự phát
triển xã hội, nhất là trong bối cảnh hội nhập quốc tế càng sâu rộng, nhiều biến động.
1.2. Chỉ tiêu đánh giá con người 1.2.1. Khái niệm
Để tính được giá trị HDI, trước hết cần phải tính ba chỉ số thành phần: tuổi thọ, kiến thức và thu nhập.
��á ��ị �ℎự� − ��á ��ị �ố� �ℎ�ể�
�ℎỉ �ố �ℎà�ℎ �ℎầ� = ��á ��ị �ố� đ� − ��á ��ị �ố� �ℎ�ể�
Tuy nhiên đối với chỉ số thu nhập lại có cách tính riêng:
���(��á ��ị �ℎự�) − ���(��á ��ị �ố� �ℎ�ể�)
�ℎỉ �ố �ℎ� �ℎậ� = ���(��á ��ị �ố� đ�) − ���(��á ��ị �ố� �ℎ�ể�)
Tổng hợp ba chỉ số thành phần sẽ có được chỉ số HDI theo công thức sau: + + =
��: chỉ số sức khoẻ ��: chỉ số giáo dục ��: chỉ số thu nhập
Các giá trị biên (tối đa - max và tối thiểu - min) của tuổi thọ, kiến thức và GDP/ người
thực tế theo Phương pháp sức mua tương đương PPP (do Liên Hợp Quốc đưa ra cho phép
có sự so sánh chuẩn về giá thực tế giữa các quốc gia) là chung cho tất cả các nước, là giá trị quốc tế.
Từ 2010 trở đi, do hạn chế từ phương pháp tính cũ là không phản ánh gần hơn sự phát
triển con người trong điều kiện không muốn mở rộng thêm các thành tố tính HDI. Từ sau
2010, trong Báo cáo phát triển con người UNDP đã sử dụng công thức tính HDI mới.
Bảng 1-1: Các giá trị quốc tế để hình thành HDI theo phương pháp mới Chỉ tiêu Giá trị Max Giá trị Min Tuổi thọ (năm) (I1) 83.2 20
Số năm đến trường (năm) (I21) 13.2 0
Kỳ vọng số năm đến trường (năm) (I22) 20.6 0
Chỉ số giáo dục tổng hợp (I2) 0.951 0
GNI thực tế trên người (PPP.USD) (I3) 108211 163
Nguồn: Báo cáo phát triển con người (HDR) 2010
Tính toán các chỉ số thành phần cụ thể như sau:
Chỉ số tuổi thọ trung bình: �1 = ��á ��ị �ℎự� −20 83.2−20
Chỉ số giáo dục tổng hợp: �2 = √�21×�22 −0 0.951−0
Trong đó các chỉ số thành phần �21 và �22 được tính như sau:
= ��á ��ị �ℎự� −0
2 (Số năm đến trường): �21 13.2−0 1
2 (kỳ vọng số năm đến trường tính từ lúc 5 tuổi): �22 = ��á ��ị �ℎự� −0 20.6−0 2 3
Chỉ số thu nhập: �3 = ��(��á ��ị �ℎự�) − ��(163) ��(108211)−��(163)
Chỉ số HDI: được tính bằng căn bậc 3 của các chỉ số thành phần:
��� = 3√� × � × � 1 2 3
1.2.2. Tiêu chuẩn phân nhóm
HDI nhận giá trị từ 0 đến 1. Phân loại cụ thể như sau:
- HDI < 0.5: mức phát triển con người thấp
- 0.5 ≤ HDI < 0.8: mức phát triển con người trung bình.
- 0.8 ≤ HDI < 0.9: mức phát triển con người cao.
- 0.9 ≤ HDI: mức phát triển con người rất cao.
Chỉ số HDI cao thể hiện quốc gia đó có thu nhập cao, chú trọng thực hiện chính sách
giáo dục và quan tâm đến chăm sóc sức khỏe người dân.
Một quốc gia có mức thu nhập cao thì cũng chưa chắc có HDI cao, thậm chí HDI có
thể bị giảm đi nếu chính phủ nước đó không quan tâm đến việc chăm sóc sức khỏe và có
các chính sách hỗ trợ giáo dục tốt cho người dân. 1.2.3. Ý nghĩa
HDI là chỉ tiêu kinh tế - xã hội tổng hợp nên có khả năng phản ánh đầy đủ hơn động
thái và thực trạng kinh tế - xã hội theo không gian và thời gian.
Chỉ số HDI được sử dụng để xem xét và cân nhắc các lựa chọn chính sách khác nhau
của các quốc gia, xem có phù hợp với người dân nước mình không.
HDI là một thước đo hữu hiệu phản ánh trình độ phát triển con người của từng bộ
phận dân cư trên địa bàn, từng địa phương.
HDI chưa phản ánh được mặt chất của sự phát triển và một số khía cạnh kinh tế - xã
hội khác như bất bình đẳng, nghèo đói, an ninh, quyền tự do con người. Do đó, những người
ra chiến lược hoạch định không chỉ dựa vào mỗi HDI mà còn phải xem xét thêm các chỉ tiêu khác.
1.3. Mối quan hệ giữa tăng trưởng kinh tế và phát triển con người 4
Về mặt lý thuyết thì giữa tăng trưởng kinh tế, giáo dục và y tế có ảnh hưởng qua lại
và chúng cùng tác động đến phát triển con người.
Nền kinh tế tăng trưởng sẽ góp phần thúc đẩy phát triển giáo dục. Nguồn ngân sách
của nhà nước và chi tiêu của các gia đình dành cho giáo dục tăng. Cơ sở hạ tầng phát triển,
đường xá giao thông được nâng cấp và mở rộng cũng tác động tích cực đến giáo dục và y
tế. Ngược lại, giáo dục phát triển lại góp phần tăng trưởng thu nhập, hoặc tăng trưởng kinh
tế tác động lớn đến tình trạng sức khỏe và tuổi thọ.
Trong quá trình phát triển kinh tế - xã hội và hội nhập kinh tế sâu rộng hiện nay, các
quốc gia và vùng lãnh thổ đã nhận rõ ra rằng con người vừa là nguồn lực vừa là mục tiêu
của sự phát triển và tăng trưởng kinh tế. Với ý nghĩa cốt yếu đó, HDI được xem là một
trong những chỉ tiêu quan trọng hàng đầu khi hoạch định chiến lược, kế hoạch phát triển đất nước.
Trong văn kiện Đại hội đại biểu toàn quốc lần thứ XIII của Đảng, có nhiều luận điểm
mới làm sâu sắc và nhấn mạnh hơn một trong những nhiệm vụ trọng tâm để đưa đất nước
phát triển mạnh mẽ, bền vững và từng bước vươn cao hơn trên trường quốc tế đó là xây
dựng và phát triển văn hóa, con người Việt Nam trong thời đại mới. 5
PHẦN 2. PHÂN TÍCH CHỈ SỐ PHÁT TRIỂN CON NGƯỜI CỦA THẾ GIỚI VÀ VIỆT NAM
2.1. Phân tích chỉ số sức khoẻ trên toàn thế giới
2.1.1. Tuổi thọ trung bình thực tế trên thế giới
Hình 2-1: Tuổi thọ trung bình của con người giữa các khu vực trên thế giới từ 2000-2019
Nguồn: báo cáo sức khoẻ toàn cầu của WHO năm 2019
Hình 2-2: Sự khác biệt về tuổi thọ trung bình giữa nam và nữ 2000-2019
Nguồn: báo cáo sức khoẻ toàn cầu của WHO năm 2019
Tuổi thọ toàn cầu khi sinh tăng từ 66.8 tuổi năm 2000 lên 73.3 tuổi vào năm 2019. Tỷ
lệ tử vong ở trẻ em giảm 55% ở các nước có thu nhập thấp từ năm 2000 đến 2020 từ 145.2
ca tử vong trên 1000 ca sinh sống vào năm 2000 xuống 66.0 vào năm 2020. Tỷ lệ tử vong
ở người cao tuổi giảm nhiều hơn ở nơi có thu nhập cao hơn trong hai thập kỷ qua chủ yếu
là do giảm tỷ lệ tử vong do thành công trong việc kiềm chế và quản lý các bệnh tim mạch.
Tuy nhiên, đại dịch COVID-19 đang làm chậm lại hoặc đảo ngược xu hướng gia tăng
về tuổi thọ. Khi so sánh với năm 2019, các nghiên cứu gần đây cho thấy COVID-19 đã làm
giảm tuổi thọ của người dân vào năm 2020 hơn 6 tháng ở một số quốc gia ở Châu Mỹ và 6
Châu Âu. Những cải thiện hiện tại không đủ mạnh để cho phép đạt được một số mục tiêu
SDG liên quan đến sức khỏe vào năm 2030.
2.1.2. Các yếu tố ảnh hưởng đến tuổi thọ trung bình trên thế giới 2.1.2.1. Covid-19
2.1.2.1.1. Số lượng người nhiễm Covid-19 a/ Theo WHO
b/ Theo Ngân hàng thế giới (World Bank)
Hình 2-3: Số ca nhiễm Covid-19 tính đến ngày 20/4/2022
Nguồn: báo cáo sức khoẻ toàn cầu của WHO 2022
Tính đến ngày 20 tháng 4 năm 2022, hơn 504.4 triệu trường hợp được xác nhận mắc
COVID-19 và hơn 6.2 triệu trường hợp tử vong liên quan đã được báo cáo cho WHO. Điều
này đã làm cho chỉ số về sức khỏe HDI trên thế giới giảm đáng kể thông qua tuổi thọ trung
bình giảm, làm suy yếu và gây ảnh hưởng trực tiếp, lâu dài đến sức khoẻ của hầu hết dân số trên thế giới.
2.1.2.1.2. Số lượng người chết do Covid-19 7 a/ Theo WHO
b/ Theo Ngân hàng thế giới (World Bank)
Hình 2-4: Số ca chết do Covid-19 tính đến ngày 20/4/2022
Nguồn: báo cáo sức khoẻ toàn cầu của WHO 2022
Trong quá trình diễn ra đại dịch, COVID-19 đã trở thành nguyên nhân gây tử vong
đáng kể ở nhiều quốc gia và nằm trong số 10 nguyên nhân gây tử vong hàng đầu trên toàn
cầu. Các phân tích từ Hoa Kỳ chỉ ra rằng COVID-19 là nguyên nhân gây tử vong hàng đầu
cho những người từ 45–84 tuổi vào tháng 1 năm 2022 và nằm trong số bốn nguyên nhân
gây tử vong hàng đầu cho các nhóm tuổi khác.
2.1.2.2. Tỷ lệ mắc và tử vong do HIV
Hình 2-5: Số ca nhiễm HIV mới (trên 1000 dân số không nhiễm) từ 2000–2020 8
Nguồn: Chương trình phối hợp của Liên hợp quốc về HIV/AIDS (UNAIDS)
Trên toàn thế giới, ước tính có khoảng 1.5 triệu người người nhiễm HIV lần đầu tiên
vào năm 2020. Điều này đưa số người sống chung với HIV trên toàn cầu lên 37.7 triệu với
hơn 2/3 trong Khu vực Châu Phi. Trên toàn cầu, số ca nhiễm mới HIV năm 2020 thấp hơn
48.3% so với năm 2000, minh chứng cho nỗ lực ngăn chặn các ca nhiễm mới của các quốc
gia. Tuy nhiên, không khu vực nào đạt được mục tiêu giảm 75% số ca nhiễm mới vào năm
2020 như Liên Hợp Quốc đã đề ra năm 2016. Các ca nhiễm mới cũng gia tăng kể từ năm
2000 ở một số quốc gia Khu vực Châu Âu và Đông Địa Trung Hải của WHO.
2.1.2.3. Tỷ lệ tử vong do môi trường
2.1.2.3.1. Ô nhiễm không khí
Ô nhiễm không khí là nguyên nhân gây ra khoảng 7 triệu ca tử vong trên toàn cầu vào
năm 2016. Tỷ lệ tử vong do nguyên nhân cao nhất tập trung ở các nước thu nhập thấp và
trung bình, chiếm gần 88% ca tử vong. Năm 2016, ô nhiễm không khí xung quanh chiếm
khoảng 4.2 triệu ca tử vong do đột quỵ, bệnh tim, ung thư phổi, nhiễm trùng đường hô hấp
dưới và bệnh phổi tắc nghẽn mãn tính.
2.1.2.3.2. Ô nhiễm nguồn nước
Nước uống không an toàn, vệ sinh môi trường và tình trạng thiếu vệ sinh ước tính đã
gây ra khoảng 870.000 ca tử vong liên quan trên toàn cầu vào năm 2016. Khu vực Châu
Phi phải chịu gánh nặng lớn với tỷ lệ tử vong là 45.9 trên 100.000 dân, cao gấp bốn lần so
với mức trung bình toàn cầu và cao hơn 150 lần so với Khu vực Châu Âu.
2.2. Phân tích chỉ số phát triển giáo dục trên toàn thế giới
2.2.1. Tình hình giáo dục trên toàn thế giới
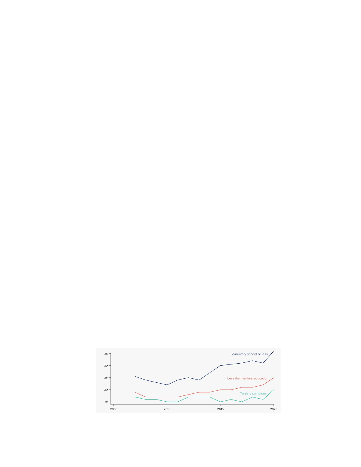
Hình 2-6: Bảng thống kê trình độ học vấn 9 Nguồn: HDR Of ice
Theo thống kê từ năm 2016-2020, tỷ lệ dân số thế giới hoàn thành chương trình học
các cấp (cấp 1, cấp 2, cấp 3) đã tăng một cách đáng kể. Với cấp tiểu học đạt 30% vào năm
2016 và tăng lên hơn 35% vào năm 2020. Tuy nhiên đối với cấp trung học phổ thông thì tỉ
lệ hoàn thành chỉ từ mức 14% vào 2008 lên 20.2% vào 2020. Đây là một chỉ số cần được
nâng cao vì có thể chỉ cần đáp ứng đủ điều kiện về giáo dục, các cư dân có thể hoàn thành
mức độ kể trên và tiến đến các mức độ giáo dục cao hơn như đại học. Điều này là một sự
thất thoát lớn về nhân lực và cũng là điểm yếu cần được khắc phục để phát triển chỉ số HDI
chung cho các nước đặc biệt là các nước kém và đang phát triển.
2.2.2. Sự chênh lệch giáo dục giữa các nhóm quốc gia
2.2.2.1. Thực trạng chênh lệch giữa các nhóm quốc gia
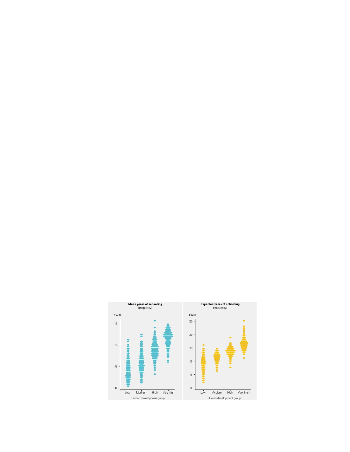
Bảng 2-1: Chỉ số giáo dục các nước thuộc 4 nhóm theo đánh giá HDI 2021 Xếp hạng Nhóm nước Nước Số năm đi học kỳ Số năm đi học bình HDI vọng (Năm) quân (Năm) 1 Phát triển rất cao Thụy Sĩ 16.5 13.9 11 Phát triển rất cao Phần lan 19.1 12.9 79 Phát triển cao Trung Quốc 14.2 7.6 87 Phát triển cao Brazil 15.6 8.1 116 Phát triển trung bình Philippines 13.1 9 132 Phát triển trung bình Ấn Độ 11.9 6.7 161 Phát triển thấp Pakistan 8.7 4.5 180 Phát triển thấp Afghanistan 9.8 7.0
Nguồn: Thống kê của HDR 21-22 10
Thụy Sĩ luôn nằm trong danh sách những quốc gia có chỉ số giáo dục cao nhất trong
giai đoạn 2015-2021 trong đó có số năm đi học kỳ vọng cao là 16.5 năm và số năm đi học
bình quân đạt rất cao là 13.9 (năm 2021). Tương tự với ở Phần Lan đạt số năm đi học kỳ
vọng cao là 19.1 và số năm đi học bình quân đạt 12.9. Điều này cho thấy rằng ở nhóm các
quốc gia phát triển rất cao thì hầu như 100% dân số đã tốt nghiệp chương trình giáo dục
THPT và hướng đến các cấp học cao hơn như đại học, cao đẳng. Khi người dân đã có trình
độ phát triển cao như vậy thì các vấn đề như thu nhập cũng như nhận thức về sức khỏe chắc
chắn sẽ cao hơn nhiều so với nhóm các nước phát triển thấp hơn.
Thông thường mức độ chênh lệch giáo dục ở các cấp tiểu học và trung học giữa các
nước không lớn. Theo thống kê Statista, tỉ lệ ghi danh tiểu học trên phạm vi toàn cầu đã
tăng lên 89.4% (tính đến năm 2018). Bên cạnh đó thì nền giáo dục trung học gần như phổ
cập ở các nước có mức phát triển con người rất cao nhưng ở các nước phát triển con người
thấp chỉ khoảng một phần ba trẻ em được ghi danh.
Xét đến các nước nằm cuối bảng xếp hạng HDI là Pakistan có số năm đi học kỳ vọng
là 8.7 và và số năm đi học bình quân đạt là 4.5 (năm 2021). Chỉ số này cho thấy hầu như
cư dân của Pakistan hầu như chưa được tốt nghiệp giáo dục cấp tiểu học. Tương tự với
Afghanistan có số năm đi học kỳ vọng là 9.8 và và số năm đi học bình quân đạt là 7.0 (năm
2021). Việc chỉ số giáo dục thấp cho thấy các quốc gia đã có phổ cập giáo dục nhưng hầu
như còn nhiều thiếu sót việc này sẽ dẫn đến khó khăn trong việc tiếp cận các nền giáo dục
cao hơn, qua đó hạ thấp các chỉ số khác như thu nhập, tuổi thọ trong công thức tính HDI.
Hình 2-7: Biểu đồ sự chênh lệch về chỉ số giáo dục (2017) 11
Nguồn: HDR Report 2019
2.2.2.2. Các yếu tố tạo nên sự chênh lệch giáo dục
2.2.2.2.1. Điều kiện chính trị
Hình 2-8: Biểu đồ tỷ lệ trẻ em không đến trường do chiến tranh
Nguồn: Our World in Data
Một lý do chính là bạo lực ở các khu vực xung đột đang diễn ra trên thế giới, bao gồm
Syria, Yemen, Sudan và Nigeria. Theo UNICEF dự đoán rằng có hơn 58.4 triệu trẻ em bỏ
lỡ việc học vì chiến tranh căng thẳng leo thang. Rào cản lớn khác – thường đan xen chặt
chẽ với xung đột – là nghèo đói. Trong những trường hợp xấu nhất, nghèo đói buộc trẻ em
phải làm việc - phổ biến nhất là ở các trang trại sản xuất nhỏ - và điều này có nghĩa là chúng
phải rời trường học sớm hoặc không bao giờ đến trường ngay từ đầu.
2.2.2.2.2. Ảnh hưởng của biến đổi khí hậu và thảm họa tự nhiên
Lũ lụt ở Nam Á năm 2017 đã phá hủy hoặc làm hư hại 18.000 trường học và khiến
1.8 triệu trẻ em phải nghỉ học. Thiên tai sẽ kéo dài mãi, những thảm họa sẽ phá hủy trường
học hoặc trường học sẽ được sử dụng như một nơi trú ẩn công cộng. Sau khi thiên tai diễn
ra trường học vẫn cần một một quãng thời gian rất lâu để xây dựng và phục hồi. Tại khu
vực Châu Á Thái Bình Dương, ước tính biến đổi khí hậu sẽ dẫn đến khoảng 200 triệu trẻ
em mỗi năm sẽ bị ảnh hưởng nghiêm trọng bởi thiên tai trong những thập kỷ tới.
2.2.2.2.3. Chất lượng đầu tư cho giáo dục
Ở các quốc gia có thu nhập thấp, tài chính công cho giáo dục rất thấp: chi tiêu hàng
năm ở một quốc gia có thu nhập cao như Áo cao hơn 200 lần trên mỗi học sinh so với ở
một quốc gia có thu nhập thấp như Cộng hòa Dân chủ Congo. Các nghiên cứu đã chỉ ra
rằng bữa ăn ở trường làm tăng tỷ lệ đi học và có tác động lâu dài trong suốt cuộc đời của
trẻ. Một nghiên cứu ở Thụy Điển cho thấy những học sinh được nhận bữa ăn tại trường vào
những năm 1960 có thu nhập cả đời cao hơn 3%. 12
2.2.2.2.4. Nguồn lực giáo viên
Liên Hợp Quốc cho biết thế giới sẽ cần thêm 25.8 triệu giáo viên tiểu học vào năm
2030. Chỉ 85% giáo viên tiểu học trên toàn cầu được đào tạo bài bản - ở châu Phi cận
Sahara, con số này chỉ là 64% (và chỉ 50% giáo viên trung học). Hiện nay nhiều giáo viên
phải đối mặt với nhiều khó khăn đặc biệt ở các nước kém phát triển khi không được đào
tạo, trả lương thấp hoặc có thể trở thành mục tiêu của các xung đột.
2.2.2.2.5. Sự trợ giúp của công nghệ
Hình 2-9: Biểu đồ khoảng cách thu nhập trong việc “làm bài tập về nhà” thời kỳ Covid-19
Nguồn: Pew Research Center
Đại dịch Covid-19 bùng nổ đã tác động nhiều mặt lên đời sống con người trong đó có
giáo dục. Vì các chính sách cách ly, nỗ lực hạn chế sự lây lan dịch bệnh nên nhiều trẻ em
đã không được tới trường. Trong khi ở những nước phát triển, việc có công nghệ hỗ trợ học
tập như Internet, laptop là điều vô cùng dễ dàng nhờ vậy mà hầu như việc học tập vẫn có
thể tiếp tục được tiến hành. Tuy nhiên, trẻ em và người học ở những nước kém phát triển
lạc hậu lại khó khăn hơn với việc tiếp cận công nghệ. Điều này vô tình làm trễ nãi thời gian
học tập cũng như gia tăng khoảng cách giáo dục giữa các nước.
2.3. Phân tích chỉ số thu nhập (Income index) 2.3.1. Chỉ số GNI
Chỉ tiêu thu nhập trong HDI được đánh giá qua GNI bình quân đầu người theo sức mua tương đương (PPP). 13