Report tài liệu
Chia sẻ tài liệu
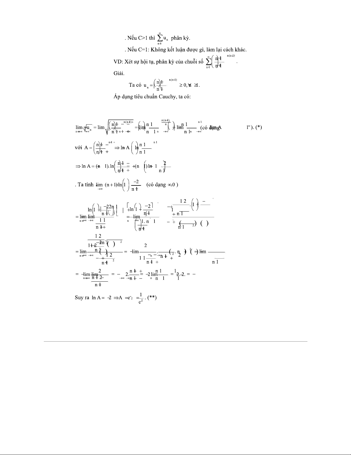
Tóm tắt Tiêu chuẩn Hội tụ và Phân kỳ của Chuỗi Số Dương
Tóm tắt Tiêu chuẩn Hội tụ và Phân kỳ của Chuỗi Số Dương
Môn: Nghiên cứu 30 tài liệu
Trường: Trường Đại học Khoa Học Xã Hội và Nhân Văn, Đại học Quốc gia Hà Nội 153 tài liệu
Tác giả:






Tài liệu khác của Trường Đại học Khoa Học Xã Hội và Nhân Văn, Đại học Quốc gia Hà Nội