



















Preview text:
MỤC LỤC
ỨNG DỤNG CỦA CÁC HỢP CHẤT ................................................................................ 1
PHƯƠNG TRÌNH TỔNG HỢP ....................................................................................... 4
CÂU HỎI LÝ THUYẾT .................................................................................................... 10
CÂU HỎI TỔNG HỢP SẢN PHẨM ............................................................................... 11
MỘT SỐ CÂU HỎI ÔN TẬP ........................................................................................... 14
PHẦN 1: KIẾN THỨC CƠ BẢN .................................................................................... 21
PHẦN 2: NGẪU NHIÊN 1 TOPIC ................................................................................. 28
PHẦN 3: CÂU HỎI TIẾNG ANH ................................................................................... 29
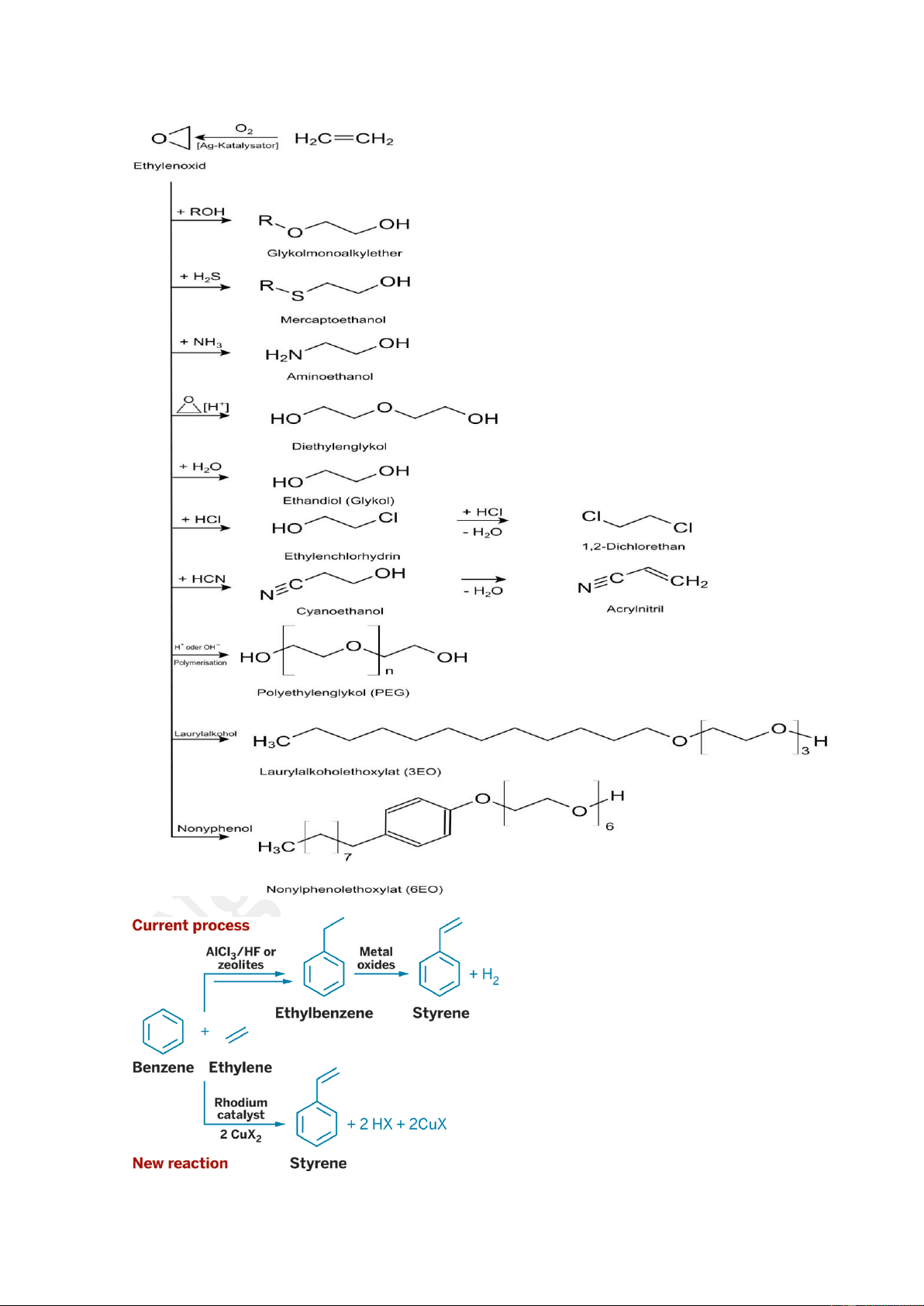
ỨNG DỤNG CỦA CÁC HỢP CHẤT
- Làm thuốc giảm đau - Hạ sốt, chống viêm
- Chống kết tập tụ tiểu cầu
- Phòng ngừa đau tim tắt nghẽn mạch máu - Dùng để gây mê - An thần - Chống co giật
- Chất tạo ngọt trong nước uống bánh kẹo - Chất độn polimer - Sử dụng trong long não
- Thuốc trừ sâu trung gian - Chất xúc tác dầu mỏ
- Tạo phức với kim loại chuyển tiếp
- Điều chế natri xianua (dung môi
để điều chế Au,Ag,. ). - Thủy phân tạo acid - Dung môi làm lạnh - Dung môi chạy sắc ký
- Chống mối mọt, khử trùng - Ướp xác
- Tiêu bản động thực vật
- Nguyên liệu sản xuất: axit axetic, anhydrid axetic, ketene, ethyl
acetate, crotonaldehyd, rượu n -butyl, rượu 2-ethylhexyl, chloral và pyridine. - Chất chống đông
- Nguyên liệu sản xuất acid
- Nguyên liệu thô trong sản xuất polyeste - Thay thế urea
- Dùng trong động cơ tên lửa 1
- Thuốc trừ sâu: carbofuran, carbaryl, natri metam
- Dược phẩm: ephedrine, theophylline
- Dung môi: N-methylformamide,N-methyl pyrrolidone
- Sản xuất natri azit, khí gas túi khí
- Sử dụng làm chất đẩy cho phương tiện vũ trụ, tên lửa
- Tách kim loại quý, khai khoáng, thủy tinh, cao su
- Làm phụ gia octan trong xăng nhiên liệu
- Sản xuất: Metacrolein, axitMetacrylic, isopren
- Làm dung môi trong quá trình phân tích và chiết
- Sản xuất chất dẻo, sợi tổng hợp - Poly(vinyl acetat)
- Thành phần trong keo dán đồ nội thất
- Thuốc thử trong tổng hợp hữu cơ (este acetate) - Sản xuất lớp phủ
- Tiền chất của nhựa(thông qua đồng trùng hợp styren)
- Dung môi hòa tan gum, resin, cellulose acetate, vinyl
- Dung môi của thuốc nhuộm có thể tẩy - Chất hàn nhựa
- Xúc tác cho phản ứng trùng hợp (nhựa UPE) - Sản xuất sáp parafin
- Sản xuất nhựa Alkyd loại phthalic,nhựa Polyester ko bão hoà
- Sản xuất sơn phủ bề mặt, phụ gia dầu bôi trơn, Copolymer
- Sản xuất chất nông hóa, chất hóa dẻo
- Sử dụng làm chất ổn định trong dung môi hydrocacbon clo
- Sử dụng trong một số sơn lót móng tay để giúp móng acrylic bám vào tấm móng
- Sử dụng làm nguyên liệu thô cơ bản cho alkylphenol, axit isononalic, hóa chất cao su 2
CH4 + S → CS2: sản xuất cao su ứng dụng polymer, viscose fiber.
Dimetylamin (hydrazin): dùng làm khí đốt nhiên liệu, làm giảm nồng độ oxi hòa tan, làm azit acid, do
sinh ra H2+O2, làm cao su tạo polyamide, tác nhân khử trong việc tách sắt từ quặng pirit (FeS2), dược phẩm.
CH4 → CO + H2 → CH3OH → HCHO: độc nên ngăn cản sự phát triển mối mọt, vi sinh vật. Trước đây có thể
sử dụng HCHO để ươp trực tiếp vào bánh phở đồ.
HCN: acrylonitrile, thuốc trừ sâu do nó độc, còn dùng để mạ điện.
CH3NH2: làm gốc tạo màu azo
Etylen glycol: làm lạnh cần hoạt động để 10℃, phần làm lạnh cho nước thấp hơn 10℃ để làm lạnh cho
nước, lúc đó nước đóng bằng không luân chuyển đc, nên thường phối etylen glycol để giảm nhiệt độ đông
đặc xuống → ứng dụng trong xăng dầu (ở những nước có nhiệt độ thấp). Để phá điểm đẳng phí. 3
PHƯƠNG TRÌNH TỔNG HỢP
Adiponitrile: Hầu hết tất cả adiponitril đều được hydro hóa thành 1,6-diaminohexan để sản xuất nylon 6,6 và nhựa.
Hexamethylene diamine: Sản xuất nilon6,6, tạo ra hexamethylene diisocyanate (HDI) là nguyên liệu để tổng hợp polyurethane
Adipic Acid: Sản xuất nilon 6,6, sản xuất polyurethane và các este của nó, làm chất hỗ trợ tạo vị và tạo bọt
Butanediol: Làm dung môi và trong sản xuất một số loại nhựa, sợi đàn hồi và polyurethan, sử dụng để
tổng hợp γ-butyrolactone (GBL)
Chloroprene: Sử dụng như một loại nhựa cơ bản trong chất kết dính, chất cách điện và lớp phủ, Tấm
chloroprene được sử dụng để sản xuất các mối nối và lớp phủ cách điện để bảo vệ môi trường tiếp xúc với
dầu và các sản phẩm hóa học khác.
Poly-butadiene: Sử dụng trong các bộ phận khác nhau của lốp ô tô, quả bóng gôn, có thể được pha trộn
với cao su nitrile để dễ dàng chế biến , làm chất kết dính kết hợp với chất ôxy hóa. 4
Acetic acid/Acetic anhydire: Tạo ra polyme ứng dụng trong sơn, chất kết dính, là dung môi hòa tan các
chất hóa học, sản xuất và bảo quản thực phẩm.
MEK: Làm dung môi trong hòa tan gum, resin, cellulose acetate, nitrocellulose, vinyl, Chất tẩy rửa. Keo
dán và mực in, sử dụng trong sản xuất dầu nhờn.
Maleic anhydride: Sản xuất nhựa Alkyd loại phthalic, sản xuất vinyl copolymer, sơn phủ bề mặt, phụ gia
dầu bôi trơn, chất hoá dẻo, copolymer.
Butylene oxide: Butylene glycol và các dẫn xuất của chúng (polybutylen glycol, polyglycol hỗn hợp,
glycol ete, glycol este). Chất ổn định cho dung môi halogen hóa, sản xuất butandomine, chất hoạt động bề
mặt, xăng, chất phụ gia.
Sec-butanol: Sử dụng trong dược phẩm sản xuất penicillin. Được sử dụng làm môi trường trong một số
phản ứng như trong tổng hợp trialkylamine oxit, sử dụng trong nước hoa và hương vị nhân tạo
Propylene: tham gia quá trình tổng hợp polime propylen. 5 6
Methacrolein: sản xuất polyme và nhựa tổng hợp, Là chất trung gian trong sản xuất metacrylonitril hoặc axit metacrylic.
Methacrylic acid: sử dụng trong mỹ phẩm (sơn lót móng tay), phụ gia sơn, sản xuất dược phẩm và thuốc,
chất cảm quang, bột giấy và giấy.
MEK: sử dụng trong các quá trình liên quan đến lợi, nhựa, cellulose axetat và chất phủ nitrocellulose và
dung môi cho keo, sơn, chất phủ và mực in.
Maleic anhydride: Sản xuất polyester, nhựa nhân tạo, Tổng hợp chất hữu cơ (lactic, malonic và acrylic),
chất tẩy rửa, chất tạo bọt.
Iso-Butylene oxide: sử dụng trong sản xuất methacrolein, được sử dụng như một chất khởi đầu để điều chế polyisobutylen.
MTBE: sử dụng làm chất phụ gia cho xăng không chì. MTBE làm tăng chỉ số octan và ôxy trong xăng
(oxygenat) và giảm lượng khí thải ô nhiễm, là chất chống nổ.
ETBE: sử dụng làm phụ gia xăng oxygenat trong sản xuất xăng từ dầu thô để tăng thêm chỉ số octan.
Tert-butyl alcohol: sử dụng để sản xuất hương liệu và nước hoa, làm dung môi cho dược phẩm, chất tẩy
sơn và làm chất phụ gia trong xăng không chì, chất tăng trị số octan trong xăng.
Neo-peotanoic acid: sử dụng làm chất trung gian trong sản xuất hương liệu nước hoa, chất bôi trơn loại
este, và muối kim loại, chất làm dẻo và chất ổn định vinyl
Di-isobutylene: hóa chất cao su, phụ gia bôi trơn và chất phủ. 7 Chất tẩy rửa không ion 8 Adiponitrile Cyclohexanone Hexane Methanol Gamma- Butyrolactone
Nguyên liệu để tổng hợp NMP, pyrrolidone dung làm dung môi cho một số loại polymer, Dimethyl acetylenedicarboxylate. Diethyl Maleate
Sản xuất thuốc trừ sâu Malathion, chất phụ gia thực phẩm, Trong hóa học hữu cơ tổng hợp, nó là một
dienophile và được sử dụng trong phản ứng Diels-Alder. 9
CÂU HỎI LÝ THUYẾT
Câu 1: Phân biệt Thermal Cracking, Catalytic cracking, Formation of carbocations cơ chế?
Điểm giống: là phương pháp chính trong quá trình cracking, được sử dụng để phá vỡ các phân tử
hydrocarbon no thành các phân tử nhỏ hơn Điểm khác:
Thermal cracking: quá trình sử dụng nhiệt độ cao (600 - 900oC) và áp suất cao (70 atm) để phá vỡ các
liên kết trong phân tử hydrocarbon. Phản ứng theo cơ chế góc tự do. Sản phẩn: C2-C3 và hợp chất có chỉ số octane thấp
Catalytic Cracking: Sử dụng xúc tác acid (zeolite), nhiệt (450-800 oC), áp 20 atm , cần giai đoạn tiền xử
lý, phản ứng theo cơ chế carbocations. Sản phẩm: Gasoline và hợp chất có chỉ số octane cao
Steam Cracking: Sử dụng hơi quá nhiệt trong quá trình Cracking. Nguyên liệu Ankane nhẹ và hợp chất
khác. Sản phẩm: Ethylene, Propene , Butylene, Butadiene, Benzene Toluen Xylene, sản phẩm phụ (có CO2, CO, H2) Thermal Cracking Catalytic Cracking Steam Cracking Tiết kiệm năng lượng Hiệu quả sản xuất Ưu điểm Không cần xúc tác
Tạo Gasoline chất lượng cao ethylene cao.
Tạo sản phẩn có chỉ số octane cao Nhiệt cao, áp cao
Cần xúc tác, hoàn nguyên xúc tác Nhược điểm Cần nhiều năng lượng
Thải ra nhiều than cốc Cần Giai đoạn tiền phản ứng 10
CÂU HỎI TỔNG HỢP SẢN PHẨM
Câu 1: Phương pháp tổng hợp mạch carbon sau CH3-(CH2)16-CH3. VIẾT PTPU
Câu 2: Viết PTPU tổng hợp CH3-(CH2)16-CH=CH2.
Câu 3: Cho nguyên liệu đầu vào là C2H4, đề xuất 1 quy trình tổng hợp 1 chất hoạt động bề mặt với gốc là
sulfunate và gốc R có 17C?
Câu 4: Sản xuất nylong 6-6 từ benzen: 11
Câu 5: Để tổng hợp poly vinyl chloride từ khí hóa lỏng, những quy trình hóa học nào được áp dụng, hãy
viết PTPU cho quy trình này? Cracking
Cracking LPG (C3H8, C4H10): LPG → CH4 + C2H4
Quy trình tạo monomer từ Etylen: t°,P,xt
Polymer hóa: nCH2=CHCl → (CH2=CHCl)n
Câu 6: Acid adipic và hexamethylene diamino là hai nguồn nguyên liệu quan trọng trong tổng hợp nylon
6-6. Hãy cho biết PTPU tổng hợp nylon 6-6 từ butadien? 12
Câu 7: Quá trình tổng hợp Linear alcohol và ứng dụng để sx ra chất hđ bề mặt?
Quá trình oligomerization hóa ethylene cơ chế? 13
MỘT SỐ CÂU HỎI ÔN TẬP Câu 1: Nguyên liệu sơ cấp Nguyên liệu thứ cấp
Có sẵn trong tự nhiên, bền Khái
hóa học (Khí tự nhiên, dầu
Là nguyên liệu trung gian được tổng hợp từ các PTPU từ niệm mỏ, than đá,…) nguyên liệu sơ cấp
Cellulose (vì Cellulose trong gỗ tự nhiên không tinh khiết phải
Gỗ, khoáng chất, khí tự
qua quá trình loại bỏ tạp chất mới xử dụng được) Ví dụ nhiên, muối,… tinh chế Sắt: Fe2O3, FeS2 → Fe Hydrocarbon
Câu 2: Nylon-6,6 bắt nguồn từ nguồn liệu sơ cấp và thứ cấp nào?
Nguyên liệu thứ cấp: hexamethylenediamine và adipic acid
Nguyên liệu sơ cấp: dầu mỏ và khí thiên nhiên
Câu 3: Aspirin bắt nguồn từ nguồn liệu sơ cấp và thứ cấp nào?
Nguyên liệu thứ cấp: salicylic acid và acetic anhydride
Nguyên liệu sơ cấp: dầu mỏ và khí thiên nhiên
Câu 4: 3 nguyên liệu hóa thạch để Cracking ra CH4 là: Dầu mỏ, than, khí đốt.
Câu 5: Kể tên 1 chất thay thế cho nguyên liệu hóa thạch. Kể ra 3 sản phẩm mà chất đó tạo ra.
Nhiên liệu Hidro. VD: Hydro được sử dụng trong pin nhiên liệu, Hydro được đốt để tạo ra nhiệt cho lò hơi, Sản xuất NH3.
Câu 6: Hãy cho biết vì sao cùng là nguyên liệu thứ cấp chứa 2C nhưng việc sử dụng ethelene trong sản
xuất alkylbenzen và sulfunate lại phổ biến hơn ethene và acetylene?
Ethane gần như là một khí trơ nên việc tổng hợp sẽ rất khó khăn (có thể tham gia vào 2 phản ứng chính
đó là phản ứng cháy và phản ứng thế dựa trên cơ chế gốc tự do, nhưng 2 phản ứng này khó kiểm soát)
Acetylene thì có giá thành cao và độ chọn lọc thấp
→ Người ta ưu tiên sử dụng ethylene trong sản xuất (do có nối đôi dễ tham gia nhiều phản ứng hóa học
→ Dễ tổng hợp nhiều sản phẩm trung gian → sản phẩm hữu ích hơn). Tính chọn lọc cao, ít tạo sp phụ so với
phản ứng đi từ olefin khác.
Câu 7: Quá trình tiền xử lý dầu mỏ khác gì so với khí thiên nhiên?
Dầu mỏ: qua tháp chưng nhiều tầng để thu đc sản phẩm khác nhau ở từng mâm.
Khí thiên nhiên: qua quá trình loại bỏ acid nhiều phân đoạn để giảm sự ăn mòn, sau đó được ngưng tụ
làm lạnh để tạo thành sản phẩm.
Câu 8: Ba lý do chuyển đổi về các sản phẩm C1-C4, C5-C9? 14
Hydrocacbon no là những chất khó phản ứng, không kiểm soát được nên cần chuyển hóa thành những
dạng sản phẩm dễ phản ứng hơn.
Giá trị sử dụng cao về mặt kinh tế: C1-C4, C5-C9 chuyển đổi từ mạch C lớn về mạch C nhỏ để dễ dàng sử
dụng cũng như nâng cao giá trị sử dụng.
Lượng dầu mỏ C1-C4 ít ỏi nên chuyển từ dầu nặng sang dầu nhẹ.
Câu 9: Tại sao quá trình OXH không hoàn toàn thu được N2 và H2 rồi không tổng hợp trực tiếp NH3 mà
phải qua quá trình water gas shift và methanation?
Quá trình water gas shift để tăng cường hàm lượng khí H2 và tạo ra khí CO2. Ở methanation, lấy khí CO2
và H2 này để tạo thành CH4 hoàn lưu làm dồi dào nguyên liệu đầu vào → quá trình sản xuất NH3 được diễn
ra một cách liên tục, đồng thời loại bỏ được khí CO2 ở bước này.
Câu 10: Vì sao ở quy trình tổng hợp amoniac, qua 2 quy trình (1) và (2) đã có đầy đủ H2 và N2 mà không đem đi tổng hợp NH3?
Dùng CO và H2 để tổng hợp CH4 bổ sung nguồn nguyên liệu đầu vào → tiết kiệm được dòng CO
Làm tăng hàm lượng H2 để cho quy trình tổng hợp NH3
CO2 có tính acid còn NH3 lại có tính bazo. Nếu trong dòng đầu tổng hợp NH3 có khí acid thì nó sẽ tác dụng
với NH3 tạo muối vô cơ rắn
Câu 11: Nêu ưu nhược điểm việc hơi nước đc bổ sung trực tiếp từ dòng đầu vào của QT Steam-cracking? Ưu điểm:
- Vật lý: giảm nhiệt độ của quá trình phản ứng (800,900℃ → 500,600℃), giảm độ nhớt, tăng khả năng
phân tán của hydrocacbon và hơi nước → QT vận chuyển dễ dàng hơn.
- Hóa học: Giảm lượng than cốc. Do C trong than cốc có số OXH trung gian là 0 nên sẽ khử nước tạo ra
CO2 và H2 → than cốc nằm ở trạng thái rắn, còn pha khí sẽ dễ dàng đẩy theo dòng chính và không cần
tốn thời gian tháo liệu.
Nhược điểm: Khí CO2 sinh ra mang tính acid nên phải được loại bỏ để đi vào thiết bị chưng cất và các
thiết bị khác → Phía sau dòng luôn có thiết bị loại bỏ acid (không sử dụng NaOH để loại acid mà sử dụng các bazo hữu cơ).
Câu 12: Trong QT Cracking dưới tác dụng của xúc tác – FCC, làm sao để thu hồi xúc tác bị đầu độc bởi than cốc?
Thiết kế sao cho phần đáy của thiết bị có bộ phận tháo liệu xúc tác. Khi xúc tác được tháo ra nó sẽ đi qua
1 bộ phận hoàn nguyên xúc tác. Tại đây, thổi dòng KK vào, đưa nhiệt độ lên 650 − 750℃, dòng KK gặp nhiệt
độ và than sẽ sinh ra khí CO và CO2 → đuổi khí ra ngoài, phần còn lại là xúc tác → hoàn nguyên. 15
Câu 13: Cách giảm lượng than cốc?
Giảm nhiệt độ quá trình Cracking → bụi than giảm
Trong quá trình Steam Cracking bổ sung hơi nước vào dòng đầu vào, lượng Cacbon có trong than cốc
vừa có tính khử, vừa có tính oxh sẽ Oxh H2O → CO2, CO pha khí bị đẩy theo dòng khí sản phẩm thoát ra →
giảm lượng hình thành than cốc.
Câu 14: Khí tổng hợp CO và H2 là nguồn nguyên liệu thứ cấp quan trọng để tổng hợp các hợp chất quan
trọng, điểm hình trong đó là methanol. Nguồn khí tổng hợp thường được thu từ quá trình steam reforming
khí thiên nhiên CH4, viết quy trình và PTPU để điều chế dòng khí tổng hợp có tỷ lệ phù hợp để sản xuất METHANOL. Quy trình:
- Methane có nguồn gốc từ dầu mỏ, khí thiên nhiên; lên men yếm khí sinh khối của VSV hoặc điện phân CO2 và H2O
- Sau đó loại bỏ những tạp chất không cần thiết trong khí thiên nhiên
- Tiến hành quá trình reforming xúc tác hơi nước thu được nguồn khí tổng hợp
Câu 15: Dòng đầu vào là C5, nếu cracking nhiệt ra sp gì? cracking xt ra sp gì? Nhiệt Xúc tác
Quá trình tổng hợp không cân xứng, các sản phẩm
Sự có mặt của các chất xúc tác axit rắn, thường là
giàu hiđrô "nhẹ" được hình thành; đổi lại các phân silica-alumina và zeolit, thúc đẩy sự hình thành
tử nặng hơn ngưng tụ và bị tách hydro. Phản ứng
thực tế được gọi là đồng ly và tạo ra các anken. cacbocation.
Không chất xúc tác
Yêu cầu xúc tác và
Nhiệt độ: 600-900℃
Nhiệt độ: 450-500 đến 800℃
Áp suất khoảng 70 atm
Áp suất khoảng 20 atm Gốc tự do Carbocation
Khuyến khích tiền xử lý
Yêu cầu tiền xử lý
Lượng than thải cao
Lượng than thải thấp
C2-C3 và các hợp chất có trị số octane thấp
Xăng và các hợp chất có trị số octane cao
Dòng đầu vào là C5, cracking nhiệt ra C2 và C3, cracking xúc tác ra C4 và C1. 16
Câu 16: Quy trình tổng hợp LABS? (Linear alkylbenzene sulfonate)
Câu 17: LABS là một chất hoạt động bề mặt trong môi trường nước. Từ etilen có thể sản xuất ra LABS
dưới dạng ion không? Lấy ví dụ và viết PT
CH3(CH2)14CH=CH2 + C6H6 → CH3-(CH2)14-CH(C6H6)-CH3
Câu 18: Bên cạnh sử dụng để tổng hợp LABS, etylene được sử dụng để sản xuất các chất hoạt động thế
hệ mới có khả năng phân hủy sinh học tốt hơn (linear alkyl sulfonate). Lấy ví dụ và viết PT
CH3(CH2)14CH2-CH2OH + H2SO4 → CH3(CH3)14CH2-CH2O-OSO3-H+ + H2O
Câu 19: Mỗi loại nhựa thường được đánh số 1-7. Hãy cho biết ý nghĩa chuỗi số này? Và cho biết số thứ
tự của các loại nhựa sau như nhựa phenolic, nhựa polycarbonate, nhựa polypropylene, nhựa HDPE?
1. Nhựa số 1 - PET: Các chai nhựa đựng đồ uống khi tái sử dụng nếu đựng nước nóng quá 70 độ C không
chỉ biến dạng mà còn giải phóng ra các chất có hại cho sức khỏe. Các nhà khoa học cũng phát hiện ra
rằng, chế phẩm nhựa này nếu sử dụng quá 10 tháng có thể sinh ra các chất gây ung thư.
2. Nhựa số 2: Nhựa HDPE – Polyethylene tỷ trọng cao. Các chai nhựa này có khả năng chịu nhiệt tới 110
độ C, thường được dùng đựng thực phẩm, sữa tắm hoặc các vật có độ tinh khiết cao. Khi tái sử dụng cần hết
sức lưu ý vì loại nhựa này khó làm sạch, các chất còn sót lại rất dễ trở thành ổ vi khuẩn.
3. Nhựa số 3: Nhựa PVC. Hình tam giác với số 3 bên trong có thể gặp ở các sản phẩm như áo mưa, vật liệu
xây dựng, ống nước nhựa hoặc hộp nhựa. Nhựa PVC giá rẻ, có độ dẻo cao, song chỉ chịu được 81 độ C. Có 2
con đường khiến loại nhựa này trở nên độc hại: quá trình sản xuất chưa trùng hợp hoàn toàn đơn phân tử
vinyl clorua, và chất độc có trong bản thân chất hóa dẻo. Các chất độc này sẽ hòa tan ra khi gặp nhiệt độ cao
và chất béo, nếu tích tụ lâu trong cơ thể sẽ gây ung thư. 17
4. Nhựa số 4: Nhựa LDPE - Polyethylene tỷ trọng thấp. Khả năng chịu nhiệt không cao, nhất là các bao bì
thực phẩm sẽ bị tan chảy nếu nhiệt độ quá 110 độ C, ngấm vào thực phẩm sẽ để lại trong cơ thể người chất
dẻo không phân giải được. Bên cạnh đó, chất béo trong thực phẩm cũng sẽ khiến các chất độc hại trong bao
bì hòa tan ra. Vì vậy, khi dùng lò vi sóng, hãy nhớ bóc lớp màng bọc bên ngoài.
5. Nhựa số 5: Nhựa PP: Chịu nhiệt cao lên tới 167 độ C. Được dùng để sản xuất hộp đựng thực phẩm. Có
thể tái chế. An toàn cho sức khỏe.
6. Nhựa số 6: Nhựa PS: Thường có ở các hộp mì ăn liền, hộp đựng đồ ăn nhanh. Dù chúng có khả năng
chịu nhiệt và lạnh cao, nhưng không được dùng trong lò vi sóng vì khi bị nóng sẽ giải phóng ra các chất hóa
học. Bên cạnh đó, cũng không được dùng đựng đồ có chất acid mạnh, chất kiềm mạnh, vì sẽ phân giải ra chất
styrene có hại cho cơ thể.
7. Nhựa số 7: Nhựa PC: Bao gồm nhựa PC (Polycarbonate) và các loại nhựa khác. Sản xuất: bình đựng
nước, thùng nhựa đựng hóa chất, hộp đựng thực phẩm. Nhựa số 7 đại điện cho ký hiệu các loại nhựa không
an toàn cho sức khỏe, độc hại.
Câu 20: Chiều dài mạch alcohol khác nhau → tính chất nhựa khác nhau?
Thay đổi chiều dài của polyme thường được sử dụng để thay đổi điểm nóng chảy của polyme. Khi các
chuỗi polyme dài hơn, chúng trở nên rối hơn, có nghĩa là chúng dính với nhau tốt hơn. Vì vậy, việc phá vỡ
liên kết giữa các chuỗi trở nên khó khăn hơn, điều này làm tăng nhiệt độ nóng chảy. Ngoài ra khi có các chuỗi
bên hoặc nhánh cản trở, các chuỗi polyme không thể trượt qua nhau dễ dàng vì có nhiều tương tác hơn giữa
các chuỗi. . . Các chuỗi có các phân tử nhỏ giữa chúng trượt qua nhau dễ dàng hơn. Điều này làm cho nhựa dẻo hơn.
Câu 21: 1 yếu tố khiến nhựa phân hủy sinh học có thể phân hủy sinh học được.
Do thành phần polymer có nguồn gốc từ nguyên liệu tái tạo tự nhiên, như tinh bột, cellulose, hoặc axit
polylactic (PLA). Các polymer này có cấu trúc hóa học dễ bị các vi sinh vật trong môi trường (vi khuẩn, nấm)
tấn công, phá vỡ thành các hợp chất đơn giản hơn như nước, CO₂, và sinh khối, góp phần giảm ô nhiễm nhựa.
Câu 22: Tại sao HDPE có khả năng tái sử dụng còn LDPE thì không?
Về mặt kỹ thuật: Sản phẩm làm từ LDPE, có xu hướng bị rối trong máy móc tái chế. Công nhân thường
phải dừng máy và loại bỏ tất cả nhựa trước khi tiếp tục. Điều đó làm ngốn thời gian của nhân viên và có thể
gây hư hỏng thiết bị. Cuối cùng, tái chế LDPE ko đáng kể về mặt tài chính trong những điều kiện đó. Về mặt cấu trúc:
- HDPE có cấu trúc mạch thẳng dài, không phân nhánh nên khi tác dụng nhiệt các sản phẩm HDPE có
thể dùng lại để đúc khuôn lại được một sản phẩm khác từ các vỏ HDPE cũ.
- LDPE thì ngược lại, với cấu trúc mạch phân nhánh đã gây bất lợi cho LDPE về mặt hóa học. LDPE khi
bị nhiệt tác dụng sẽ chảy, không tái tạo cấu trúc, không thể tái chế được. 18
Câu 23: Tại sao Teflon được dùng làm chảo chống dính?
Teflon là 1 hợp chất hydrocacbon và các H được thay thế bằng các phân tử F → moment lưỡng cực giữa
C và F lớn, tính chất phân cực của teflon khá thấp. Mà 2 chất có khả năng tương tác tốt với nhau là do tính
phân cực của 2 chất (chất PC thương tương tác tốt với các chất PC và ngược lại) nên teflon hạn chế được gốc
thấm ướt của đồ ăn lên bề mặt chảo.
Câu 24: Trong quá trình sản xuất epoxy, nhà sản xuất thường cung cấp 1 tuýp keo epoxy (thường là sự
kết hợp epoxy và chất nền bisphenol-A) và 1 tuýt đóng rắn. Cho biết vai trò của từng tuýt keo.
Lọ A: Còn được gọi là nhựa Epoxy, tồn tại dưới dạng dung dịch. Tác dụng của Epoxy là tạo sự kết dính,
đảm bảo độ bền cho mối nối ngay cả trong điều kiện môi trường khắc nghiệt, nhiệt độ cao, có hóa chất… bởi
loại nhựa này có khả năng kháng mòn, kháng hóa chất rất cao.
Lọ B: Làm cho keo nhanh chóng kết rắn lại, mối nối khô nhanh hơn và giúp keo thành dạng bền và khả
năng chống ăn mòn. Chất đóng rắn khác nhau cũng có tác động khác nhau đến thời gian khô keo và một phần
khả năng bám dính của keo, không những vậy, mỗi loại chất đóng rắn cũng sẽ hợp với loại bề mặt VL riêng.
Câu 25: Để điều chỉnh khả năng kết dính của các loại keo họ formaldehyde, các nhà sản xuất có thể thay
đổi điều gì trong quá trình tổng hợp các loại keo này? Cho ví dụ hai loại keo đó.
Để điều chỉnh khả năng kết dính của các loại keo, nhà sản xuất có thể dựa vào điều chỉnh các yếu tố: pH
(trong khoảng 7-7.5). Hàm lượng formaldehyde. Hàm lượng nhựa đóng rắn. Chất xúc tác và lượng xúc tác
sử dụng. Thành phần polymer phụ gia. Keo
- Có thời gian đóng rắn lâu, chất lượng dính kém → thêm các chất đơn tổ phần như NH4Cl, UF
(NH4)2SO4 hoặc chất đa tổ phần như NH4Cl/ urea; NH4Cl/ NH4OH
- Tránh hiện tượng khuyết keo trên bề mặt gỗ: thêm tinh bột, bột mì
- Tăng độ bền: do bị chảy keo bởi hiện tượng điện ly nên thêm polyvinyl alchohol 1-5%
- Tăng độ chịu nước: thêm C6H6O hoặc C6H6O2 Keo
- Keo MF có màn keo giòn -> bổ sung thêm chất trợ dẻo C2H5OH tạo liên kết ete, C7H9NO2S MF
- Keo MF có tính ổn định không cao thêm dung dịch 5% C60H90O5
- Giảm giá thành: dùng melanin thay thế một vài nguyên liệu Keo
- Tăng tốc độ đóng rắn: thêm bột máu động vật, C6H6O2 PF
- Cải thiện tính giòn: thêm melanin, trộn thêm với keo PVA
Câu 26: Tại sao tất cả các acid béo, acid amin trong tự nhiên thường là số C chẵn?
Quá trình tổng hợp acid béo bão hoà từ acetylCoA xảy ra ở tất cả các mô. Acetyl-CoA trong tế bào chất
được cacboxyl hóa bởi acetyl-CoA carboxylase thành malonyl-CoA. Malonyl-CoA sau đó tham gia vào một
loạt phản ứng lặp lại kéo dài chuỗi axit béo đang phát triển thêm hai nguyên tử cacbon tại một thời điểm.
Do đó, hầu hết tất cả các axit béo tự nhiên đều có số nguyên tử cacbon chẵn.
Câu 27: Trong quá trình sản xuất methanol và ethanol từ gỗ, các nhà sản xuất thường phải tiền xử lý
nguồn nguyên liệu. Cho biết mục đích của quá trình này? Vì sao không trực tiếp sử dụng enzyme để thủy phân cellulose trong gỗ?
Cellulose có mạng lignin bao bọc xung quanh nên muốn thu được các loại đường cấu thành cellulose và
hemicellulose, đầu tiên sinh khối lignocellulose phải được loại bỏ cấu trúc lignin, gọi là giai đoạn tiền xử lý 19