Report tài liệu
Chia sẻ tài liệu
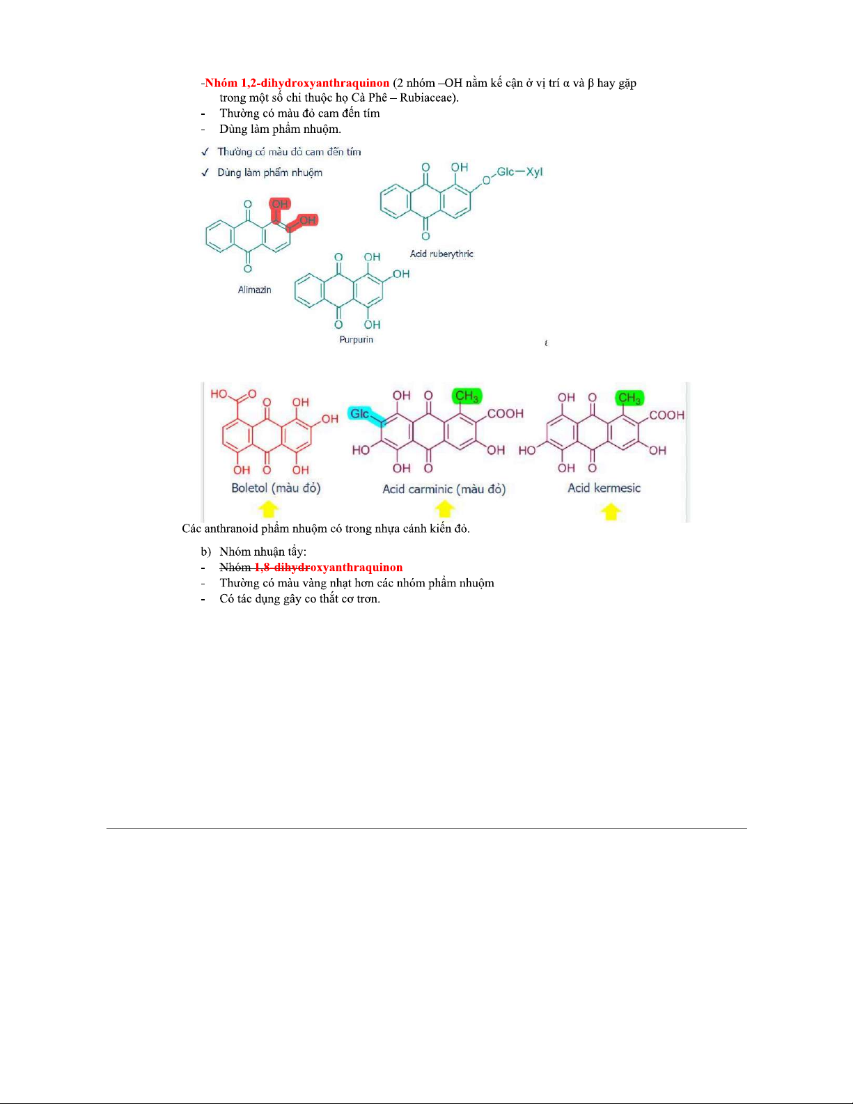
Tổng Quan về Anthranoid: Cấu Trúc, Tính Chất và Công Dụng
Tổng Quan về Anthranoid: Cấu Trúc, Tính Chất và Công Dụng
Chủ đề: Tài liệu chung Hóa Học 12 255 tài liệu
Môn: Hóa Học 12 716 tài liệu
Tác giả:
Tài liệu liên quan:
-
SINH HÓA - Phản Ứng Ninhydrin và Biuret trong Định Tính Protein
7 4 -
Sơ đồ tư duy về Nhóm Halogen - Tóm tắt lý thuyết và ứng dụng
6 3 -
Phản ứng diazo hóa - các lưu ý khi thực hành
11 6 -
Chương 4: Liên Kết Hóa Học - Lý Thuyết Cơ Bản và Đặc Trưng
10 5 -
Các Chất Kết Tủa Thường Gặp Trong Hóa Học - Bazo - Tài Liệu Ôn Tập
11 6





