Đề HK1 Toán 8
Danh sách Tài liệu
-
Đề kiểm tra học kì 1 Toán 8 năm 2021 – 2022 trường THCS Tây Sơn – Hà Nội
83 42 lượt tải 2 trangXin giới thiệu đến quý thầy, cô giáo và các em học sinh lớp 8 đề kiểm tra học kì 1 Toán 8 năm 2021 – 2022 trường THCS Tây Sơn – Hà Nội; kỳ thi được diễn ra vào thứ Ba ngày 28 tháng 12 năm 2021.
Môn: Toán 8Chủ đề: Đề HK1 Toán 8Dạng: Đề thiTác giả: Mai Nguyệt1 năm trước -
Đề tham khảo học kì 1 Toán 8 năm 2021 – 2022 trường Quốc tế Á Châu – TP HCM
124 62 lượt tải 4 trangXin giới thiệu đến quý thầy, cô giáo và các em học sinh lớp 8 đề tham khảo học kì 1 Toán 8 năm học 2021 – 2022 trường Quốc tế Á Châu, thành phố Hồ Chí Minh; đề thi có hướng dẫn giải chi tiết và thang chấm điểm.
Môn: Toán 8Chủ đề: Đề HK1 Toán 8Dạng: Đề thiTác giả: Mai Nguyệt1 năm trước -
Đề kiểm tra cuối kỳ 1 Toán 8 năm 2021 – 2022 sở GD&ĐT Quảng Nam
108 54 lượt tải 8 trangĐề kiểm tra cuối kỳ 1 Toán 8 năm 2021 – 2022 sở GD&ĐT Quảng Nam gồm 15 câu trắc nghiệm (05 điểm) và 03 câu tự luận (05 điểm), thời gian học sinh làm bài thi là 60 phút (không kể thời gian giáo viên coi thi phát đề), đề thi có đáp án trắc nghiệm và hướng dẫn giải tự luận mã đề A – mã đề B.
Môn: Toán 8Chủ đề: Đề HK1 Toán 8Dạng: Đề thiTác giả: Mai Nguyệt1 năm trước -
Đề kiểm tra học kì 1 Toán 8 năm 2021 – 2022 trường THCS Ngô Gia Tự – Hà Nội
107 54 lượt tải 10 trangĐề kiểm tra học kì 1 Toán 8 năm 2021 – 2022 trường THCS Ngô Gia Tự – Hà Nội được biên soạn theo hình thức đề thi 100% trắc nghiệm, đề gồm 09 trang với 40 câu hỏi và bài toán, thời gian học sinh làm bài thi là 90 phút, đề thi có đáp án.
Môn: Toán 8Chủ đề: Đề HK1 Toán 8Dạng: Đề thiTác giả: Mai Nguyệt1 năm trước -
Đề kiểm tra học kì 1 Toán 8 năm 2021 – 2022 trường THCS Ngọc Thụy – Hà Nội
85 43 lượt tải 7 trangĐề kiểm tra học kì 1 Toán 8 năm 2021 – 2022 trường THCS Ngọc Thụy – Hà Nội được biên soạn theo hình thức đề thi 100% trắc nghiệm, đề gồm 05 trang với 40 câu hỏi và bài toán, thời gian học sinh làm bài thi là 90 phút, đề thi có đáp án.
Môn: Toán 8Chủ đề: Đề HK1 Toán 8Dạng: Đề thiTác giả: Mai Nguyệt1 năm trước -
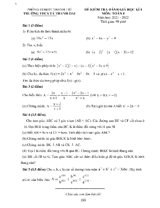
Đề thi học kì 1 Toán 8 năm 2021 – 2022 trường THCS Tả Thanh Oai – Hà Nội
130 65 lượt tải 1 trangĐề thi học kì 1 Toán 8 năm 2021 – 2022 trường THCS Tả Thanh Oai – Hà Nội gồm 01 trang với 05 bài toán dạng tự luận, thời gian học sinh làm bài thi là 90 phút (không kể thời gian giáo viên coi thi phát đề).
Môn: Toán 8Chủ đề: Đề HK1 Toán 8Dạng: Đề thiTác giả: Mai Nguyệt1 năm trước -
Đề kiểm tra cuối kỳ 1 Toán 8 năm 2021 – 2022 trường THCS Kiêu Kỵ – Hà Nội
121 61 lượt tải 1 trangĐề kiểm tra cuối kỳ 1 Toán 8 năm 2021 – 2022 trường THCS Kiêu Kỵ – Hà Nội gồm 01 trang với 05 bài toán dạng tự luận, thời gian học sinh làm bài thi là 90 phút (không tính thời gian giáo viên coi thi phát đề).
Trích dẫn đề kiểm tra cuối kỳ 1 Toán 8 năm 2021 – 2022 trường THCS Kiêu Kỵ – Hà Nội:
+ Cho hai biểu thức: A và B 1) Tìm điều kiện của x để biểu thức A có nghĩa; 2) Tính giá trị của biểu thức A khi x = 2; 3) Tìm các giá trị của x để A = 2/3; 4) Rút gọn biểu thức C = A + B (với x khác 2).
+ Cho ABC vuông tại A. Gọi D là trung điểm của cạnh BC. Qua D vẽ DE vuông góc với AB (E thuộc AB), DF vuông góc AC (F thuộc AC). a) Chứng minh tứ giác AEDF là hình chữ nhật. b) Cho AB = 6 cm, AC = 8 cm. Tính diện tích ABC. c) Gọi G là điểm đối xứng với D qua E. Chứng minh tứ giác ADBG là hình thoi. d) Gọi I là giao điểm của tia CE và đoạn thẳng BG. Chứng minh IB = 2IG.
+ Cho a, b, c khác nhau đôi một và 1/a + 1/b + 1/c = 0. Tính giá trị biểu thức: C.Môn: Toán 8Chủ đề: Đề HK1 Toán 8Dạng: Đề thiTác giả: Mai Nguyệt1 năm trước -
Đề kiểm tra cuối học kì 1 Toán 8 năm 2021 – 2022 sở GD&ĐT Bắc Giang
139 70 lượt tải 2 trangĐề kiểm tra cuối học kì 1 Toán 8 năm 2021 – 2022 sở GD&ĐT Bắc Giang được biên soạn theo hình thức 50% trắc nghiệm + 50% tự luận (theo điểm số), phần trắc nghiệm gồm 20 câu, phần tự luận gồm 04 câu, thời gian học sinh làm bài thi là 90 phút (không kể thời gian giám thị coi thi phát đề).
Môn: Toán 8Chủ đề: Đề HK1 Toán 8Dạng: Đề thiTác giả: Mai Nguyệt1 năm trước -
Đề kiểm tra học kỳ 1 Toán 8 năm 2021 – 2022 phòng GD&ĐT Trực Ninh – Nam Định
131 66 lượt tải 2 trangĐề kiểm tra học kỳ 1 Toán 8 năm 2021 – 2022 phòng GD&ĐT Trực Ninh – Nam Định gồm 02 trang với 20 câu trắc nghiệm (04 điểm) và 04 câu tự luận (06 điểm), thời gian học sinh làm bài thi là 90 phút (không kể thời gian giáo viên coi thi phát đề).
Môn: Toán 8Chủ đề: Đề HK1 Toán 8Dạng: Đề thiTác giả: Mai Nguyệt1 năm trước -
Đề kiểm tra học kỳ 1 Toán 8 năm 2021 – 2022 phòng GD&ĐT Mỹ Lộc – Nam Định
86 43 lượt tải 2 trangĐề kiểm tra học kỳ 1 Toán 8 năm 2021 – 2022 phòng GD&ĐT Mỹ Lộc – Nam Định gồm 02 trang với 20 câu trắc nghiệm (04 điểm) và 04 câu tự luận (06 điểm), thời gian học sinh làm bài thi là 90 phút (không kể thời gian giáo viên coi thi phát đề).
Môn: Toán 8Chủ đề: Đề HK1 Toán 8Dạng: Đề thiTác giả: Mai Nguyệt1 năm trước