Report tài liệu
Chia sẻ tài liệu
Giới hạn của hàm số và các định lý về giới hạn - Bài giảng môn Giải tích 1 | Đại học Bách Khoa Hà Nội
Giới hạn của hàm số và các định lý về giới hạn - Bài giảng môn Giải tích 1 | Đại học Bách Khoa Hà Nội. Tài liệu giúp bạn tham khảo, ôn tập và đạt kết quả cao. Mời đọc đón xem!
Môn: Giải tích 1 132 tài liệu
Trường: Đại học Bách Khoa Hà Nội 5.6 K tài liệu
Tác giả:




















Tài liệu khác của Đại học Bách Khoa Hà Nội
Preview text:
ThS Huỳnh Ái Triều
2.1 GIỚI HẠN CỦA HÀM
SỐ VÀ CÁC ĐỊNH LÝ VỀ GIỚI HẠN Giải Tích I uềirT iÁ hnỳuH S Th
Định nghĩa giới hạn
uềirT iÁ hnỳuH S Lưu ý Th uềirT iÁ Ví dụ 1 hnỳuH S Th Giải uềirT iÁ hnỳuH S Th Ví dụ 2 uềirT iÁ hn Giải ỳuH S Th
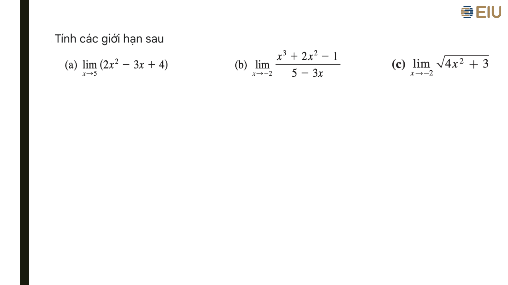
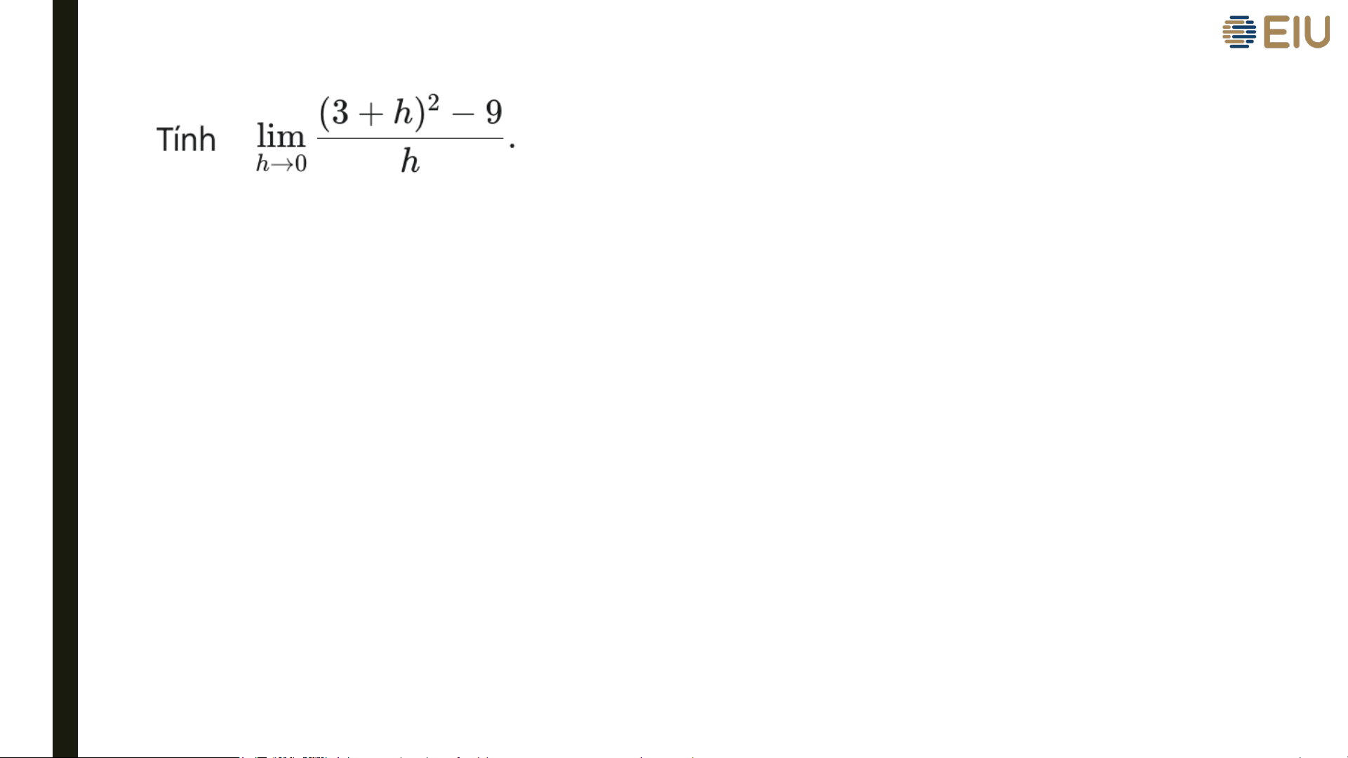
Các quy tắc giới hạn uềirT iÁ hnỳuH S Th Ví dụ 3 u Giải ềirT iÁ hnỳuH S Th uềirT iÁ hnỳuH S Th Ví dụ 4 u Giải ềirT iÁ hnỳuH S Th uềirT iÁ hnỳuH S Th Lưu ý uềir Ví dụ 5 T iÁ hnỳuH S Th Lưu ý uề Ví dụ 6 irT iÁ hnỳuH Giải S Th Ví dụ 7 Giải uềirT iÁ hnỳuH S Th Định lý kẹp uềirT iÁ hnỳuH S Th Ví dụ 8 uềirT iÁ h Giải nỳuH S Th Ví dụ 9 Giải uềirT iÁ hnỳuH S Th
Giới hạn đặc biệt uềirT iÁ hnỳuH S Th Ví dụ 10 Giải uềirT iÁ hnỳuH S Th Đặt vấn đề uềirT iÁ hnỳuH S Th