



























































Preview text:
PHẢN ỨNG THẾ GỐC TỰ DO
Bài 1: Sắp xếp độ bền gốc tự do (a) > > (b) > >
Bài 2: Vẽ cấu trúc cộng h ởng (a) (b) (c) (d)
Bài 3: Dự đoán sản phẩm thu đ ợc qua quá trình Brom hóa gốc tự do của những chất sau: (a) Br2 h Br
Downloaded by VietJack TV Official (vietjackvideos@gmail.com) (b) Br Br Br2 + h Br2 (c) h + Br Br
Bài 4: Dự đoán sản phẩm của các chất sau khi tác dụng với NBS trong đk tia cực tím. (a) NBS h Br (b) NBS h Br (c) Br NBS h (d) Br NBS h + Br Br (e) Br NBS h + Br Br2
Downloaded by VietJack TV Official (vietjackvideos@gmail.com)
Bài 5: 2-Methyl-2-Butene tác dụng với NBS với tia cực tím tạo thành 5 sản phẩm mono - brom hóa,
một trong số là hỗn hợp racemic. Hãy vẽ toàn bộ sản phẩm và xác định sản phẩm nào là hỗn hợp racemic. Br (E)-1-bromo-2-methylbut-2-ene Br (Z)-1-bromo-2-methylbut-2-ene NBS h 2-methylbut-2-ene Br Br (S)-3-bromo-2-methylbut-1-ene (R)-3-bromo-2-methylbut-1-ene Hỗn hợp racemic Br 1-bromo-3-methylbut-2-ene Br 3-bromo-3-methylbut-1-ene Br Br2 Br2 Br Br2 Br Br Br2 Br2 + Br Br
Downloaded by VietJack TV Official (vietjackvideos@gmail.com)
Bài 6: Vẽ tất cả các sản phẩm (đồng phân) đ ợc hình thành của các chất sau trong quá trình Chlor hóa trong đk ánh sáng. Cl Cl (a) Cl2 h Cl Cl Cl Cl (b) Cl2 Cl Cl h Cl Cl (c) Cl2 h Cl Cl
Downloaded by VietJack TV Official (vietjackvideos@gmail.com)
Bài 7: Xác định sản phẩm chính sau quá trình mono - Brom hóa của các Alkane sau: (a) Br Br Br2 h + (b) Br2 Br h + Br (c) Br2 h + Br Br
Câu 8: 5 đồng phần của Alkane (A-E) có công thức phân tử C6H14 lần l ợt tác dụng với Cl2 + h tạo
thành Alkyl halide có công thức C6H13Cl. A tạo ra 5 sản phẩm, B tạo ra 4 sản phẩm. C tạo ra 2 sản
phẩm. D tạo thành 3 sản phẩm, 2 trong số đó có chứa tâm bất đối. E tạo ra 3 sản phẩm và chỉ một có
chứa tâm bất đối. Xác định các cấu trúc từ A-E. Cl * Cl2 h Công thức phân tử: C6H14 Cl D Cl * Cl Cl * Cl Cl 2 h Công thức phân tử: C6H14 * A * Cl Cl
Downloaded by VietJack TV Official (vietjackvideos@gmail.com) Cl Cl * * Cl2 h Công thức phân tử: C6H14 Cl B * * Cl Cl2 h * Cl * Cl Công thức phân tử: C6H14 C Cl Cl2 Cl h Công thức phân tử: C6H14 E * Cl
Bài 9: Vẽ SP chính của các phản ứng sau: Cl Cl (a) + Cl2 h Cl + Cl
Downloaded by VietJack TV Official (vietjackvideos@gmail.com) (b) Br2 Br Br + (c) Br Br HBr + Br (d) HBr ROOR' (e) Br2 Br Br Br (f) NBS h Br
Bài 10: Nếu 3,3-dimethylbut-1-ene chỉ tác dụng với HBr, sản phẩm chính sẽ là 2-bromo-2,3-
dimethylbutane. Khi cho alkene t ng tự tác dụng với HBr và Peroxide, sản phẩm duy nhất là 1- bromo-3,3-dimethylbutane.
Giải thích điều trên bằng c chế phản ứng. A + HBr Br H Br Chuyển vị Br methyl 1,2 3,3-dimethylbut-1-ene 2-bromo-2,3-dimethylbutane
Downloaded by VietJack TV Official (vietjackvideos@gmail.com) A + HBr + ROOR' GĐ 1: Kh i mào GĐ 2: Phát triển mạch Br H Br Br + Br Br Giải thích:
- Phản ứng cộng HBr không có x/t peroxide xảy ra thông qua c chế phản ứng cộng Electrophile tạo nên
một Carbocation bậc 2, sau đó carbocation này chuyển vị tạo thành một carbocation mới bậc 3 bền h n.
Phản ứng xảy ra bằng sự + H+ tr ớc sau đó mới là + Br-
- Phản ứng cộng HBr với Peroxide xảy ra thông qua c chế cộng vào gốc tự do và hình thành một gốc tự do
bậc 2 và không thể chuyển vị. Phản ứng xảy ra bằng sự + Br- sau đó là + H+.
Bài 11: Có tất cả bao nhiêu sản phẩm Di-chloride có thể hình thành trong ph ng trình sau. Bao nhiêu
trong số đó có tính quang hoạt? (A) Cl H Cl Cl Cl (B) (C) H Cl H Cl (D) Cl Cl Cl Cl Cl2 (E) (F) h H Cl H Cl H Cl (G) (H) H Cl Cl H Cl Cl (I) Cl H Cl
- Tổng cộng có 9 sản phẩm thu đ ợc
- Các sản phẩm (A), (B), (C), (F), (G), (I) có tính quang hoạt do không chứa mp đối xứng.
Downloaded by VietJack TV Official (vietjackvideos@gmail.com)
PHẢN ỨNG THẾ NUCLEOPHILIC
Bài 12: Vẽ trạng thái chuyển tiếp của các phản ứng SN2 sau: OH (a) Br OH Br OH+ Br O (b) O O O I + I I O O (c) SH SH SH Br + Br Br
Bài 13: Phản ứng nào sau đây xảy ra với tốc độ nhanh h n? Giải thích NaOH Cl H2O OH + Cl NaOH Cl DMSO OH + Cl
Phản ứng Alcohol hóa SN2 trong điều kiện DMSO xảy ra nhanh h n vì DMSO là một dung môi Aprotic phân cực nên thuận lợi đ
ể thực hiện theo c chế SN2. I Br H2O I + Br Cl Br DMSO Cl + Br
Phản ứng tác dụng với NaI xảy ra nhanh h n do I- là một nucleophile h n so với Cl- mạnh nên dễ dàng tấn công vào carbon mang nh óm thế h n.
Bài 14: Dự đoán sản phẩm của các phản ứng sau: Br OEt EtOH, EtOH, S + N1 SN1 Br OEt OEt
Downloaded by VietJack TV Official (vietjackvideos@gmail.com) H2O, S H + 2O, Cl N1 OH SN1 Cl OH OH Br OH MeOH, SN1 Cl OH OH MeOH, SN1 +
Bài 15: Xét toàn bộ các đồng phân của Alkyl Chloride có công thức phân tử là C5H11Cl. Đồng phân
nào sẽ u tiên phản ứng thế theo c chế SN1 với tốc độ phản ứng nhanh nhất. Vì sao? Cl Cl (A) (B) Cl (G) Cl Cl (C) (D) Cl Cl (H) Cl (E) (F)
Công thức phân tử: C5H11Cl
Đồng phân (E) u tiên phản ứng theo c chế SN1 với tốc độ nhanh nhất vì bậc của Carbon phản ứng là bậc 3.
Downloaded by VietJack TV Official (vietjackvideos@gmail.com)
Bài 17: Xác định sản phẩm tạo thành của phản ứng SN2 (xác định rõ lập thể) OCH3 H Cl H OMe D D Cl OCH2CH3 OEt Br CN CN
Bài 18: Chọn chất phản ứng hoặc dung môi mà có thể giúp phản ứng SN2 xảy ra với tốc độ nhanh h n? (a) Br + OH Phản ứng nhanh h n Cl + OH
So với Cl- thì Br- là nhóm xuất tốt h n nên sẽ dễ dàng phản ứng với tốc độ cao h n Cl-. (b) Cl NaOH Phản ứng nhanh h n Cl NaOCOCH3
So với CH3COO- thì OH- là nucleophile tốt h n (có tính base mạnh h n)nên sẽ dễ dàng phản ứng với tốc độ cao h n. (c) CH O I 3OH + OCH3 S DMSO I + OCH3 Phản ứng nhanh h n Dimethyl sulfoxide (DMSO)
Phản ứng thế c chế SN2 u tiên phản ứng nhanh h n trong các dung môi không chứa các nguyên tử Hydro có thể phân ly.
Vì DMSO không chứa nguyên tử Hydro phân li trong khi CH3OH thì có nên phản ứng trong dung môi DMSO sẽ cho phản
ứng với tốc độ cao h n.
Downloaded by VietJack TV Official (vietjackvideos@gmail.com)
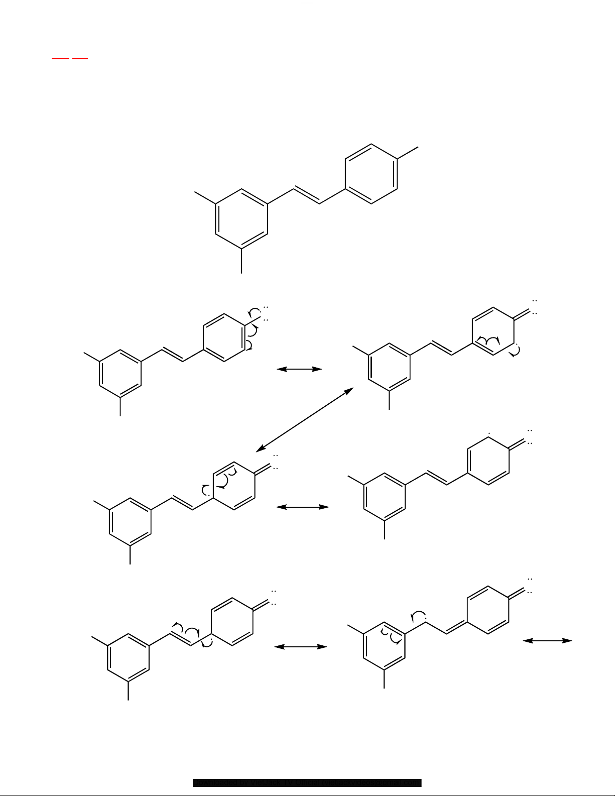
Bài 19: Resveratrol (A)là một antioxidant tìm thấy trong vỏ của nho đỏ. Nó có công dụng chống ung
th , chống viêm và có nhiều tác dụng đối với tim mạch trong các nghiên cứu gần đây.
(a) Vẽ tất cả các công thức cộng h ởng gốc tự do của (A) sau quá trình phân cắt đồng ly của nhóm
OH đ ợc tô đỏ và in đậm.
(b) Giải thích vì sao nhóm OH đ ợc tô đỏ và in đậm lại u tiên quá trình phân cách đồng ly h n
các nhóm OH khác trong vòng Benzene khác. OH HO OH (A) resveratrol (a) O O Gốc tự do 1 HO HO OH OH O O HO HO OH OH O O HO HO OH OH
Downloaded by VietJack TV Official (vietjackvideos@gmail.com) O O HO HO OH OH O HO OH Gốc tự do 2 OH O OH
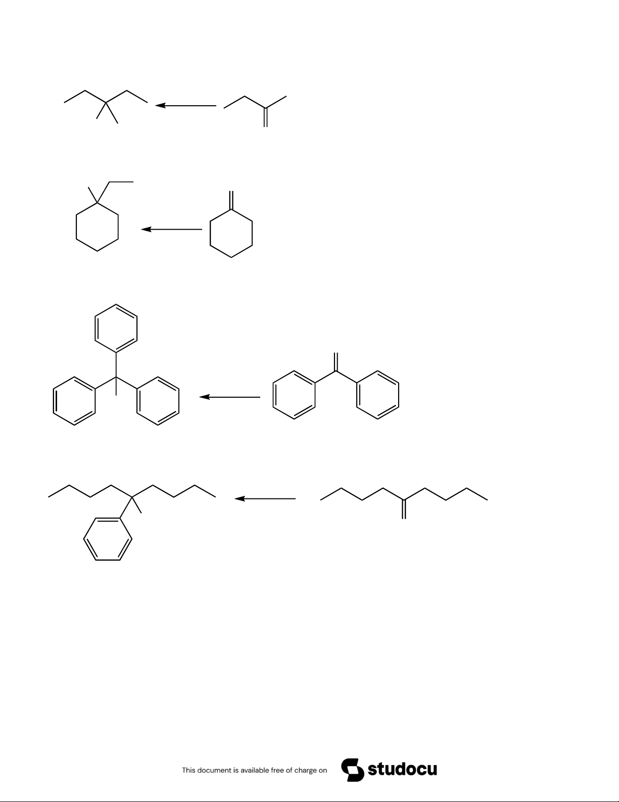
Downloaded by VietJack TV Official (vietjackvideos@gmail.com) PHẢN ỨNG TÁCH
Bài 1: Xác định tất cả các đồng phân cấu tạo có thể đ ợc hình thành sau quá trình tách Hydro -
Halogen của các Akyl Halide sau: (a) Br -HBr (b) Br -HBr + (c) Cl -HCl + (d) I -HI
Bài 2: Những Alkyl Halide nào có thể tạo thành các Alkene sau nh là sản phẩm duy nhất của quá trình tách.
Để quá trình tách thu đ ợc một sản phẩm duy nhất thì Alkyl Halide chỉ đ ợc phép có một loại Carbon với các nguyên tử Hydro t ng ứng. (a) Br -HBr (b) -HBr Br (c) -HBr Br
Downloaded by VietJack TV Official (vietjackvideos@gmail.com) (d) Br -HBr
Bài 3: Xác định tất cả các đồng phân cấu tạo của sản phẩm đ ợc hình thành qua quá trình tách E2 và
dự đoán sản phẩm chính sử dụng quy tắc Zaitsev. (a) Cl t-BuO SPC (b) DBU Cl SPC O O O O I (c) OH SPC (d) Br OH + SPC
Downloaded by VietJack TV Official (vietjackvideos@gmail.com)
Bài 4: Xác định sản phẩm chính khi các chất sau tác dụng với t-BuOK.
t-BuOK là một Base cồng kềnh, nên khi tách sẽ u tiên các Carbon bậc thấp để tạo liên kết (nh ng vẫn phải bền) Br (a) t-BuOK (b) t-BuOK Cl
Bài 5: Hãy xắp xếp theo thứ tự tăng dần khả năng phản ứng theo c chế E2 của các Alkyl Halide sau.
Làm t ng tự với c chế E1. Đối với c chế E2: > > Br Cl Cl (C) (A) (B)
(C) có khả năng phản ứng nhanh nhất vì Br- là nhóm xuất tốt h n so với Cl-. (A) phản ứng theo c chế E2 tốt h n so với (B)
vì Carbon mang nhóm xuất của (A) là carbon bậc ba có khả năng phản ứng nhanh h n so với carbon bậc 2 của (B) do phản
ứng E2 u tiên thứ tự nhóm thế : 3o > 2o > 1o
T ng tự đối với c chế E1 trong tr ờng hợp này
Bài 6: Giải thích vì sao khi 2 - bromopropane tác dụng với NaOCOCH3 ta thu đ ợc
(CH3)2CHOCOCH3là sản phẩm duy nhất. Nh ng c ng chất đó khi tác dụng với NaOCH2CH3 thì lại
thu đ ợc hỗn hợp có (CH3)2CHOCH2CH3 (20%) và CH3CH=CH2 (80%). O O O Nucleophile tốt O (100%) Br O Base mạnh O + (20%) (80%)
Downloaded by VietJack TV Official (vietjackvideos@gmail.com)
Ở tr ờng hợp đầu tiên ta có CH3COO- là một Nu tốt và là một Base yếu nên sẽ u tiên phản ứng thế theo c chế SN2.
Ở tr ờng hợp thứ hai ta có EtO- là một Base mạnh nên u tiên cả phản ứng thế SN2 và phản ứng tách E2 nh ng do nhóm
xuất ở vị trí Carbon bậc 2 (bị cản trở phản ứng thế) nên sản phẩm tách E2 là sản phẩm chính.
Bài 7: Các ph ng trình sau không đ ợc viết đúng sản phẩm chính của chúng. Giải thích vì sao và xác
định chính xác sản phẩm chính đ ợc hình thành. (a) Br O t-BuO + Halide bậc 3 E2 + SPC SPP
t-BuO- là một base mạnh cồng kềnh kèm với việc Carbon chứa nhóm thế là bậc 3 nên vị trí đó quá khó để có thể thế một
nhóm cồng kềnh vào đ ợc. Vì vậy phản ứng thế SN2 không thể diễn ra mà phản ứng tách E2 diễn ra thay thế. (b) Br + OCH3 Halide bậc 1 Nu mạnh SN2 OMe
Tốc độ phản ứng tách của các Halide bậc 1 là rất thấp kể cả với các Nu mạnh nên phản ứng thế SN2 sẽ diễn ra nhanh h n và thay thế. (c) Cl + OH E2 Nu mạnh Halide bậc 3 SPP E2
Phản ứng tách E2 theo qui tắc Zaitsev u tiên các Alkene có nhiều nhóm thế
Downloaded by VietJack TV Official (vietjackvideos@gmail.com) (d) + I E2 Cl Nu mạnh Halide bậc 2 Base yếu SPP SN2 I
Halide bậc 2 có thể phản ứng cả theo c chế SN2 và E2. Với việc I- là một base yếu thì phản ứng sẽ u tiên xảy ra theo SN2
Bài 8: Giả sử rằng phản ứng chỉ xảy ra theo c chế E2, hãy xác định toàn bộ sản phẩm tách có thể của các Alkyl Halide sau: (a) Cl E2 + SPC SPP (b) Cl E2 + + SPP SPC SPP (c) Br E2 + (d) Cl E2
Downloaded by VietJack TV Official (vietjackvideos@gmail.com)
Bài 9: Cho các ph ng trình phản ứng sau, hãy chọn giữa OH- và t-BuO- để hoàn thành ph ng trình phản ứng. OH Cl
OH- là một Base mạnh, không cồng kềnh và có một Halide bậc 3 nên phản ứng tách E2 theo qui tắc Zaitsev. t-BuO Br
t-BuO- là một Base mạnh, cồng kềnh và có một Halide bậc 3 nh ng sẽ tách tạo Alkene bậc thấp do bị cản trở lập thể.
Bài 10: Xác định sản phẩm chính và phụ của các chất sau khi tách E2 với base mạnh: (a) Br E2 H H Br H E2 H H Ph Ph (b) Br Br E2 H H
Downloaded by VietJack TV Official (vietjackvideos@gmail.com) (c) Br E2 H (d) Cl E2 H Cl E2 H (f) Cl Cl E2 H H Cl (g) E2 H H Cl H E2 H
Downloaded by VietJack TV Official (vietjackvideos@gmail.com) (h) Cl E2 H H Cl H E2 H
Bài 11: Hợp chất A và B là các đồng phân cấu tạo với công thức phân tử là C3H7Cl. Khi hợp chất
A tác dụng với NaOMe, sản phẩm của phản ứng thế chiếm u thế. Khi hợp chất B tác dụng với
NaOMe, sản phẩm phản ứng tách chiếm u thế. Hãy xác định cấu tạo của A và B
C3H7Cl có 2 đồng phân cấu tạo sau: Cl Cl
Công thức phân tử: C3H7Cl
Công thức phân tử: C3H7Cl Phân tích:
+ NaOMe là một Base mạnh và là một Nu tốt.
+ Khi NaOMe tác dụng nh một Nu:
- Phản ứng thế sẽ diễn ra, và nh vậy thì một Nu tốt h n (nhóm xuất tốt) phải xuất ra khỏi chất chính và Nu sẽ đ ợc thế chỗ.
=> Cl- phải xuất ra khỏi phân tử => Alkyl Halide bậc 1 sẽ phản ứng dễ dàng vì không có sự cản trở lập thể. => Vì vậy A là: 1o Cl NaOMe SN2 OMe
Công thức phân tử: C3H7Cl
+ Khi NaOMe tác dụng nh một Base:
- Phản ứng tách sẽ diễn ra, vì vậy một Electrophile tốt sẽ xuất ra khỏi phân tử và hình thành nối đôi.
=> Do H+ là một Electrophile tốt nên sẽ tách ở Alkyl halide bậc 2/3, phản ứng thế khó xảy ra do có sự cản trở lập thể. => Vì vậy B là: Cl 2o NaOMe E2
Công thức phân tử: C3H7Cl
Downloaded by VietJack TV Official (vietjackvideos@gmail.com)
Bài 12: Hợp chất A và B là đồng phân cấu tạo với công thức phân tử là C4H9Cl. Hợp chất A tác dụng
với NaOMe tạo thành Trans - 2 - Butene là sản phẩm chính. Trong khi B phản ứng với NaOMe thì lại
tạo thành một Alkene "disubsituted" nh là sản phẩm chính. Xác định cấu tạo của A và B
C4H9Cl có 4 công thức cấu tạo nh sau: Cl Cl Cl Công thức phân tử: C Công thức phân tử: C 4H9Cl
Công thức phân tử: C4H9Cl 4H9Cl Cl
Công thức phân tử: C4H9Cl Phân tích: - T ng tự Bài 11:
+ NaOMe là một Nu tốt và một Base mạnh nên có thể tham gia cả vào phản ứng SN2 hoặc E2. + Đối với chất A:
- Đây là phản ứng tách E2 nên chất nền sẽ là Halide bậc 2 hoặc 3.
=> Từ công thức thức của sản phẩm ta có cấu tạo của A là: Cl NaOMe (E) - 2 - butene
Công thức phân tử: C4H9Cl + Đối với chất B:
- Đây c ng là phản ứng tách E2 nên chất nền sẽ là Halide bậc 2 hoặc 3.
- Vì đây c ng là một Alkene "disubsituted" nên tổng các Carbon liên kết với nối đôi phải là 2
- Từ đó ta xác định đ ợc công thức cấu tạo của sản phẩm là: 2-methylprop-1-ene
=> Từ đó ta có đ ợc công thức cấu tạo của B là: Cl NaOMe
Công thức phân tử: C4H9Cl 2-methylprop-1-ene
Downloaded by VietJack TV Official (vietjackvideos@gmail.com)
Bài 13: Một hợp chất không xác định (A) với công thức phân tử là C6H13Cl khi tác dụng với NaOMe
thu đ ợc 2,3 - dimethyl - 2 - butene là sản phẩm chính. Xác định Công thức cấu tạo của A
Ta có công thức của sản phẩm nh sau: 2,3-dimethyl-2-butene Phân tích: - T ng tự Bài 11, 12:
+ NaOMe là một Nu tốt và một Base mạnh nên có thể tham gia phản ứng SN2 và E2.
+ Ở sản phẩm ta thấy Alkene đ ợc tạo thành nên đây là phản ứng E2 => Halide bậc 2,3.
+ Ở sản phẩm ta thấy đây là một "tetrasubsituted" Alkene nên xung quanh 2 Carbon đ ợc tách ra phải có đủ 4 Carbon.
=> Từ đó ta có cấu tạo của A nh sau: NaOMe Cl
Công thức phân tử: C6H13Cl 2,3-dimethyl-2-butene
Bài 14: Viết c chế phản ứng thích hợp cho các phản ứng sau: (a) OH OH Br H Br 2 Br 3o SN1 O H O SH (b) O 3o OH OH2 O H O SH O E1
Downloaded by VietJack TV Official (vietjackvideos@gmail.com) (c) 1o H Br OH OH2 Br Br SN2 (d) OH - H H OSO 2O 3H OH2 2o Chuyển vị 3o Methyl - 1,2 H OSO3H E1
Bài 15: Viết tất cả các công thức cấu tạo của phân tử C4H9Br, sắp xếp chúng theo thứ tự:
a) Tăng dần khả năng phản ứng SN2
b) Tăng dần khả năng phản ứng E2
C4H9Br có các công thức cấu tạo sau: (B) (A) Br Br Br Br (C) (D)
Công thức phân tử: C4H9Br Phân tích:
a) Giả sử các phản ứng xảy ra với cùng 1 tác chất (RO-) và cùng 1 điều kiện.
- Phản ứng SN2 u tiên các Alkyl Halide theo thứ tự bậc 1o > 2o > 3o
- Vì vậy (A) và (C) sẽ u tiên phản ứng SN2 h n vo với (B) và (D) * Đối với (A) và (C):
+ Cả 2 đều là các Akyl Halide bậc 1
+ (C) bị án ngữ không gian ở vị trí Carbon do nhóm thế lớn trong khi (A) thì không.
=> (C) sẽ có thể có sản phẩm tách E2 do bị án ngữ không gian.
=> Vì vậy (A) u tiên phản ứng SN2 h n (B)
=> (A) > (C) > (B) > (D)
Downloaded by VietJack TV Official (vietjackvideos@gmail.com) S E2 N2 Br OR (A) (B) OR OR Br SN2 OR SPC Br OR Br E2 (C) E2 (D) OR OR SPP
b) Giả sử các phản ứng xảy ra với cùng 1 tác chất (RO-) và cùng 1 điều kiện.
- Ng ợc lại với SN2, thứ tự u tiên phản ứng E2 của các Alkyl Halide là: 3o > 2o > 1o
- Vì vậy (B) và (D) là các chất u tiên phản ứng nhanh h n với (D) phản ứng nhanh nhất
- (C) có sự án ngữ lập thể nhiều h n ở (A) nên (C) u tiên E2 h n (A)
=> (D) > (B) > (C) > (A)
Bài 16: Trong các đồng phân của một Akyl Halide có công thức Phân tử là C5H11Cl. Hãy xác định:
a) Chất nào phản ứng SN1 tốt nhất
b) Chất nào không thể phản ứng theo c chế E2.
c) Chất nào chỉ tạo ra 1 Alkene khi phản ứng E2.
d) Chất nào phản ứng tạo ra 2 Alkene nh ng không phải đồng phân cấu tạo qua c chế E2.
e) Chất nào tạo ra những hỗn hợp (nhiều chất) phức tạp nhất của Alkene qua c chế E2.
C5H11Cl có các công thức cấu tạo sau: Cl Cl (A) (B) (C) Cl Cl Cl (D) (E) Cl (F) Cl Cl (G) (H)
Công thức phân tử: C5H11Cl
Downloaded by VietJack TV Official (vietjackvideos@gmail.com)
a) Thứ tự u tiên phản ứng SN1 của các Akyl Halide là : 3o > 2o > 1o
=> Chất phản ứng theo c chế SN1 với tốc độ nhanh nhất là (E) SN1 (E) Cl (E) Nu Nu
b) Để phản ứng theo c chế E2 xảy ra thì Carbon tại vị trí phải còn các Hydro tự do.
Trong tr ờng hợp này chất (H) không còn Hydro tự do tại Carbon nên không thể tách E2 đ ợc. H Nu X E2 CH3 Cl C (H) CH E2 3 CH3 SN1 Nu Nu
c) Để phản ứng c chế E2 tạo duy nhất một sản phẩm thì chất nền chỉ đ ợc có 1 loại Carbon mang các Hydro.
Nếu có nhiều h n 1 loại Carbon mang Hydro thì sẽ tạo ra nhiều h n 1 sản phẩm.
=> Các chất (A); (C); (D); (G) phù hợp với điều kiện trên. H Nu Cl E2 (A) H (C) Nu E2 Cl H (D) Cl Nu E2 H (G) Cl Nu E2
Downloaded by VietJack TV Official (vietjackvideos@gmail.com)
c) Hóa học lập thể của phản ứng tách E2 là: "anti periplaner" - Nguyên tử Hydro trên Carbon phải nằm ở phía đối với nhóm xuất. H H Nu X E2 Cấu hình E H H H3C H X H X Nu 3C H E2 Cấu hình Z
- Vì vậy, nếu trên Carbon chỉ có 1 Hydro thì sẽ chỉ tách đ ợc 1 sản phẩm.
- Ngoài ra nếu nhóm xuất nằm ở trên Carbon bậc 1 thì sẽ không tạo ra đ ợc các đồng phân hình học.
- Nếu Alkyl Halide là Carbon bậc 3 thì Carbon phải là Carbon bất đối.
=> Trên nguyên tử Carbon cần có 2 Hydro để tách và Alkyl Halide phải là Bậc 2 hoặc 3 để tạo các đồng phân hình học.
Các cấu trúc phù hợp với điều kiện trên là: (B); (C). Cl (B) E2 Nu H H Cl H E2 Nu H H H (C) E2 Nu Cl H E2 H Nu Cl
Downloaded by VietJack TV Official (vietjackvideos@gmail.com)
d) Phản tứng tách c chế E2 ngoài tạo ra các đồng phân hình học còn tạo ra các đồng phân cấu tạo khác nhau d ới các xúc tác khác nhau.
Chất (B) phù hợp với các điều kiện đó. Cl E2 (B) Nu
Downloaded by VietJack TV Official (vietjackvideos@gmail.com) PHẢN ỨNG CỦA ALKENE
Bài 1: Xác định sản phẩm khi (CH3)2C=CH2 tác dụng với các chất sau: (a) (d) Br HBr Cl Cl 2 CCl4 Cl (b) (e) OH H2O Br OH 2 H2SO4 H2O Br (c) (f) OEt EtOH NBS H2SO4 DMSO Br
Bài 2: Alkene nào có thể đ ợc sử dụng đề điều chế các Halide hoặc Dihalide sau nh là sản phẩm
chính hoặc duy nhất của phản ứng cộng: (a) Cl Cl2 CCl4 Cl (b) HBr Br (c) HCl Cl
Downloaded by VietJack TV Official (vietjackvideos@gmail.com) (d) HBr Br
Bài 3: Xác định ít nhất 3 Alkene (ngoại trừ các đồng phân hình học) có thể đ ợc sử dụng để điều chế
3-chloro-3-methylhexane khi tác dụng với HCl HCl Cl 3-chloro-3-methylhexane
Bài 4: Alkene nào phản ứng với HBr nhanh h n, giải thích? H Br (B)
Downloaded by VietJack TV Official (vietjackvideos@gmail.com) H Br (A) Phân tích:
-Ta biết khả năng phản ứng của Alkene phụ thuộc vào độ bền của các cộng h ởng. Trong phản ứng này giai đoạn ion
hóa là quá trình tạo ra Carbocation, quyết định tốc độ phản ứng.
-Vì vậy bất cứ yếu tố nào làm bền hóa các Carbocation nh sự phân tán điện tích d ng bằng các nhóm điển tử sẽ làm
bền Carbocation (cộng h ởng) và làm tăng tốc độ phản ứng.
-Ở cấu trúc (B) ta thấy khi hình thành Carbocation thì sẽ có sự cộng h ởng từ các gốc Benzyl tạo nên các cộng h ởng
bền, vì vậy (B) phản ứng với HBr nhanh.
-Ở cấu trúc (A) ta thấy khi hình thành Carbocation thì không có sự cộng h ởng, vì vậy (A) phản ứng với HBr chậm h n.
Bài 5: "Caryophyllene" là hợp chất đ ợc tìm thấy trong cây Đinh H ng với công thức phân tử là
C15H24 và không có liên kết ba. Phản ứng Hydro hóa xúc tác Pd/C của chất này cho sản phẩm có công thức C15H28.
a) Xác định số liên kết đôi trong "Caryophyllene".
b) Xác định số vòng trong "Caryophyllene".
a) C15H24 : Công thức của Caryophyl ene
C15H32 : Công thức của Alkane t ng ứng.
=> có 8 nguyên tử Hydro đ ợc thêm vào => 4 phân tử H2
=> Độ bất bão hòa (Index of Hydrogen deficiency) = 4
Nh ng 1 mol Caryophyllene chỉ tác dụng với 2 mol H2 (chênh 4 Hydro) => Trong hợp chất có 2 liên kết đôi.
b) Index of Hydrogen deficiency (IHD): = Số liên kết + số vòng = (C+1) - (H-N+X)/2
=> 4 = 2 + số vòng => số vòng = 2 => trong hợp chất có 2 vòng O H H Caryophyl ene
Downloaded by VietJack TV Official (vietjackvideos@gmail.com)
Bài 5: "Squalene" là một hợp chất trung quan quan trọng trong các quá trình tổng hợp Sinh học của
các Steroid với công thức phân tử là C30H50 và không có liên kết ba.
a) Xác định độ bất bão hòa trong "Squalene".
b) "Squalene" phản ứng Hydro hóa xúc tác tạo thành hợp chất có công thức phân tử là C30H62
Xác định số liên kết đôi trong "Squalene"
c) Xác định số vòng trong "Squalene"
a) = (C+1) - (H-N+X)/2 = (30+1) - (50/2) = 6 H CH 3C 3
b)C30H50 : Công thức của Squalene
C30H62 : Công thức của Alkane t ng ứng.
=> Chênh 12 Hydro => 6 phân tử H2. CH3 CH3 CH3
=> 1 mol Squalene phản ứng với 6 mol H2
=> Hợp chất có 6 nối đôi = 6 liên kết
c) = Số liên kết + số vòng = 6 + số vòng = 6 => số vòng = 0 CH3
=> Hợp chất không chứa vòng H3C CH3 Squalene
Bài 7: Hợp chất (A) có công thức C7H15Br, không phải là một Alkyl Bromide bậc 1, phản ứng tách chỉ
tạo ra một Alkene là hợp chất (B) khi tác dụng với NaOEt/EtOH. Hydro hóa hợp chât (B) thu đ ợc
2,4-dimethylpentane. Xác định A) và (B) H2 EtO xt EtOH (B) 2,4-dimethylpentane Br
Công thức phân tử: C7H15Br (A)
Bài 8: Xét các cấu trúc của các hợp chất từ E - H. Hợp chất E có công thức phân tử là C5H8 và có tính
quang hoạt. Hydro hóa xúc tác E ta thu đ ợc F có công thức phân tử là C5H10 không tính quang hoạt,
không thể đ ợc tách thành các đối phân khác nhau. Hợp chất G có công thức phân tử là C6H10 và có
tính quang hoạt, không có liên kết ba. Hydro hóa xúc tác G ta thu đ ợc H có công thức là C6H14 không
có tính quang hoạt và không thể tách thành các đối phân. Xác định các cấu trúc E - H. Phân tích:
- Ta xét độ bất bão hòa của chất (E): = (C+1) - (H-N+X)/2 = (5+1) - (8/2) = 2
=> Các tr ờng hợp có thể : + 2 liên kết đôi + 1 liên kết ba
+ 1 liên kết đôi và 1 vòng + 2 vòng - TH1: 2 liên kết đôi
+ Khi xét toàn bộ các đồng phân C5H8 là diene thì ta chỉ thấy có Penta-2,3-diene có tính quang hoạt
+ Tuy nhiên sản phẩm khi Hydro hóa của Penta-2,3-diene không tạo thành sản phẩm có công thức C5H10
Downloaded by VietJack TV Official (vietjackvideos@gmail.com) H C 2 xt pentane penta-2,3-diene Công thức phân tử: C5H12 Công thức phân tử: C5H8 => Loại TH1: - TH2: 1 liên kết ba:
+ Không có Alkyne nào có công thức C5H8 có tính quang hoạt => Loại TH2.
- TH3: 1 liên kết đôi và 1 vòng:
+ Khi xét toàn bộ sản phẩm ta thấy 3-methylcyclobut-1-ene phù hợp với các điều kiện => Nhận TH3 (E) (F) H H * H2 xt 3-methylcyclobut-1-ene methylcyclobutane - TH4: 2 vòng:
+ Không có công thức nào phù hợp => Loại TH4
=> Vậy ta kết luận (E) là 3-methylcyclobut-1-ene và (F) là methylcyclobutane
- T ng tự, ta có độ bất bão hòa của (G) là = (C+1) - (H-N+X)/2 = (6+1) - (10/2) = 2
=> Các tr ờng hợp có thể : + 2 liên kết đôi + 1 liên kết ba
+ 1 liên kết đôi và 1 vòng + 2 vòng
Lặp lại quá trình trên ta kết luận đ ợc (G) là một Allene, (G): hexa-2,3-diene và (F): hexane (G) (F) C H2 xt hexane hexa-2,3-diene Công thức phân tử: C6H14 Công thức phân tử: C6H10
Bài 9: Viết sản phẩm chính của các phản ứng sau: (a) HBr Br (b) Cl HCl (c) KI I H3PO4
Downloaded by VietJack TV Official (vietjackvideos@gmail.com) (d) HCl Cl (e) HBr Br (f) I KI H3PO4
Bài 10: Viết c chế phản ứng cho các phản ứng sau: (a) H Br Br Br (b) Cl H Cl Cl (c) H Cl Cl Cl
Bài 11: Viết c chế phản ứng cho các phản ứng sau: H H H (a) O H OH O O O H H H H H H H (b) O O H OH OSO H OSO 3H 3H H
Downloaded by VietJack TV Official (vietjackvideos@gmail.com) H H H O O O H H O H H OH H H
Bài 12: Có bao nhiêu Alkene có công thức C7H12 mà khi tác dụng với H2/Pt thu đ ợc Methylcyclohexane Phân tích:
-Ta xét độ bất bão hòa của C7H12: = (C+1) - (H-N+X)/2 = (7+1) - (12/2) = 2
=> Các tr ờng hợp có thể : + 2 liên kết đôi + 1 liên kết ba
+ 1 liên kết đôi và 1 vòng + 2 vòng
- Do trong Methylcyclohexane có chứa 1 vòng nên:
= Số liên kết + số vòng = Số liên kết + 1 = 2 => Số liên kết = 1 => Có 1 liên kết đôi
- Xét các công thức C7H12 có chứa 1 vòng và 1 liên kết đôi ta thu đ ợc 4 chất thỏa mãn yêu cầu.
=> Vậy có tổng cộng 4 Alkene có công thức C7H12 phù hợp với điều kiện. H2 Pt
Downloaded by VietJack TV Official (vietjackvideos@gmail.com)
Bài 13: Xác định sản phẩm chính trong các phản ứng sau, xác định lập thể của từng sản phẩm. (a) H H HBr + Ph Ph Ph Br Br Đối phân (b) NO Cl Cl 2 HCl NO2 NO2 + H H Xuyên lập thể phân
Bài 14: Đề xuất cấu trúc của (A), (B), (C) dựa vào các phản ứng sau: Br (A) (B) (C) EtO + EtOH 3-ethylpent-2-ene 3-ethylpent-1-ene 2-bromo-3-ethylpentane Công thức phân tử: C7H14 Công thức phân tử: C7H14
Công thức phân tử: C7H15Br H2/Pt 3-ethylpentane Công thức phân tử: C7H16
Downloaded by VietJack TV Official (vietjackvideos@gmail.com)
Bài 15: Hợp chất (A) và (B) là các đồng phân có công thức C9H19Br. Cả (A) và (B) đều cho ra sản
phẩm tách duy nhất là (C) khi tác dụng tới t-BuOK trong DMSO. Hydro hóa xúc tác Alkene (C)
thu đ ợc 2,3,3,4-tetramethylpentane. Xác định các cấu trúc (A), (B), (C). Phân tích: C9H19Br ≡ C9H18-HBr tách C9H18 + HBr (A) + (B) (C)
-Ta xét độ bất bão hòa của C9H19Br: = (C+1) - (H-N+X)/2 = (9+1) - ((19+1)/2) = 0
=> Trong phân tử không có liên kết đôi/ba và không có chứa vòng. (hợp chất no)
- t-BuOK là một Base mạnh nh ng cồng kềnh nên tính Nu yếu.
=> Phản ứng tách Hoffman (E2)
=> Từ các dữ kiện và phản ứng trên ta có thể xác định đ ợc các chất (A), (B), (C) (C) H2 xt 2,3,3,4-tetramethylpentane Công thức phân tử: C9H18 Công thức phân tử: C9H20 t-BuOK DMSO Br (A) (B) Br
Công thức phân tử: C9H19Br
Công thức phân tử: C9H19Br
Downloaded by VietJack TV Official (vietjackvideos@gmail.com) BÀI TẬP CH NG 4:
Bài 1: Dự đoán sản phẩm chính của các phản ứng sau: NH2 (a) O OH 1. KCN, HCN 2. LiAlH4 3. H2O (b) O CN H 1. KCN, HCl H 2. H3O+ (c) O HO 1. EtMgBr 2. H2O (d) O OH H 1. PhMgBr 2. H2O (e) O O 1. PhMgBr HO HO O 2. H3O+ O O Hoặc O
Downloaded by VietJack TV Official (vietjackvideos@gmail.com)
Bài 2: Chọn c Grignard và Ketone phù hợp để điều chế các chất sau đây: (a) 1. EtMgBr 2. H2O HO O 3-methylpentan-3-ol butan-2-one (b) HO O 1. EtMgBr 2. H2O 1-ethylcyclohexan-1-ol cyclohexanone (c) O 1. PhMgBr OH 2. H2O triphenylmethanol benzophenone (d) 1. PhMgBr 2. H2O OH O nonan-5-one 5-phenylnonan-5-ol
Downloaded by VietJack TV Official (vietjackvideos@gmail.com)
Bài 3: Xác định cấu trúc các chất từ A - E: H OH Br MgBr O 1. Fe Mg H H FeBr3 2. H2O (A) (B) (C) PCC H O O O HO OH H+ (D) (E)
Bài 4: Dự đoán sản phẩm chính của các phản ứng sau: O OH LAH (C) O O AgNO3 NH4OH H H 2O OH (D) O HO CN COOH 1. NaCN H2SO4, 2. H2SO4, H2O
Downloaded by VietJack TV Official (vietjackvideos@gmail.com) OH O 1. PhMgBr 2. H2O (F) CH3OH, H+ O MeO OMe (G) H PCC H OH O (H) O O HO OH H+ O O O (M) OH O O O H+ OH OH (N) OH PhMgBr O Ph OH (O) O HO MgBr (Q)
Downloaded by VietJack TV Official (vietjackvideos@gmail.com) O MeO OMe CH3OH, H+ (R)
Bài 5: Xác định cấu trúc các chất từ A - E: OH O HO H2CrO4 1. MeMgI HX O 2. H2O (C) (A) (B) 1. O3 2. DMS O 1. Ag2O, OH- O O 2. H3O+ O (E) OH (D)
Bài 6: Chọn cấu trúc Carbonyl và Alcohol phù hợp để tạo thành các hemiacetal không bền sau đây: (a) HO OMe O CH3OH (1eq) Cl HCl Cl (b) O EtOH (1eq) HO O HCl OH (c) O OH O HO OH H+
Downloaded by VietJack TV Official (vietjackvideos@gmail.com) MeO OH O (d) CH3OH (1eq) HCl
Bài 7: Dự đoán sản phẩm chính của các phản ứng sau: (a) O NH2 N + H+ (b) O NH + H+ N (c) O NH2 H + H+ N (d) O H + NH H+
Bài 8: Dự đoán sản phẩm chính của các phản ứng sau khi các hợp chất Carbonyl bị khử bởi NaBH4 trong môi tr ờng cồn: O OH O (a) OH (b) 1. NaBH4 2. ROH 1. NaBH4 H H 2. ROH (c) O O OH O H OEt 1. NaBH4 H OEt 2. ROH
Downloaded by VietJack TV Official (vietjackvideos@gmail.com)
Bài 9: D ới đây là s đồ tổng hợp Glyceraldehyde. Xác định những hợp chất trung gian A - C và cấu
trúc không gian nào của Glyceraldehyde mà bạn muốn tạo thành? OMe CH OH O PCC 3OH, HX CH OMe 2Cl2 Công thức phân tử: C3H4O Côn thức phân tử: C (A) 5H10O2 (B) KMnO4 (loãng), OH-,lạnh OH OH OMe H3O+ O H2O OH OMe OH
Công thức phân tử: C5H12O4 Glyceraldehyde (C)
- Phân tích: Lập thể ở Glyceraldehyde là ở dạng trans-diol bởi vì bản chất phản ứng với KMnO4, OH-, lạnh sẽ tạo diol ở 2 mặt
phẳng khác phía của liên kết đôi.
Bài 10: Đề xuất 3 ph ng pháp tổng hợp Diphenylmethanol từ các hợp chất Carbonyl và c Grignard. Cách 1: OH O OH O 1. PhMgBr 1. PhMgBr PCC 2. H2O 2. H2O H H diphenylmethanol
Downloaded by VietJack TV Official (vietjackvideos@gmail.com)
Bài 11: Đề xuất cách tổng hợp Ketoalcohol từ Keto ester sau: O O OEt OH 1. Ethyleneglycol, H+ 2. LAH O 3. H2O 4. H3O+ HO OH H H+ 3O+ O O O O OEt OH 1. LAH 2. H2O O
Bài 12: Tổng hợp Benzaldehyde từ các hợp chất sau đây: (a) O OH H PCC benzaldehyde Benzyl Alcohol (b) O O H PCC OH 1. LAH OH 2. H2O benzaldehyde LiAlH(O benzoic acid t- O Bu)3 OH benzoic acid (c) O H 1. O3 H2, Lindlar 2. DMS benzaldehyde PhenylEthyne
Downloaded by VietJack TV Official (vietjackvideos@gmail.com) (d) O H 1. O3 2. DMS benzaldehyde styrene O OH (e) O H 1. O3 EtO- 1. LAH 2. DMS EtOH 2. H2O benzaldehyde acetophenone O (e) CN 1. DIBAL-H H 2. H+ benzaldehyde benzonitrile
Bài 13: Bắt đầu từ Benzyl Bromide, hãy tổng hợp các chất sau đây. (a) O 1. Br MgBr Mg H Ether 2. H3O+ OH khan Benzylbromide (b) O Br Mg MgBr 1. OH Ether 2. H khan 2O Benzylbromide PCC O H
Downloaded by VietJack TV Official (vietjackvideos@gmail.com) (c) Br (C6H5)3P P(Ph)3 C6H5Li Benzylbromide O H (d) 1. Br Mg MgBr O Ether 2. H khan 3O+ OH Benzylbromide PCC O
Downloaded by VietJack TV Official (vietjackvideos@gmail.com) BÀI TẬP CH NG 5
Bài 1: Viết sản phẩm Aldol hóa của các chất sau: O O (a) O NaOH H 25oC H H2O, lạnh H HO Butanal (b) Ph O Ph NaOH 25oC O H2O, lạnh Ph O HO Ph phenylethanal (c) O O O NaOH 25oC H OH 2O, lạnh cyclohexanone
Bài 2: Viết c chế phản ứng cho sự Keto hóa enol của Cyclohexanone với xúc tác acid và base a) xúc tác acid H O O OH OH H H OH2 H2O b) xúc tác base O O O OH H H OH OH
Downloaded by VietJack TV Official (vietjackvideos@gmail.com)
Bài 3: Vẽ dạng hỗ biến enol cho các hợp chất sau: (a) O OH (b) O OH O O (c) H O O HO O O OH
Bài 4: Bromide hóa xúc tác acid của Pentane-2-one tạo thành 2 sản phẩm: BrCH2COCH2CH2CH3 (A)
và CH3COCH(Br)CH2CH3 (B). Giải thích tại sao sản phẩm chính lại là B. O (A) O Br H Br2 HBr O H H (B) H Br
Phân tích: Tính acid của proton 2 cao h n của proton 1 nên sẽ dễ mất hydrogen tạo enol bền h n so với proton 1 vì vậy dễ dàng tạo chất (B) h n.
Bài 5: Xác định sản phẩm đ ợc tạo thành trong các phản ứng sau: (b) O O 1. LDA OEt 2. OEt I
Downloaded by VietJack TV Official (vietjackvideos@gmail.com) (c) O N Br Br NH2 O O (d) 1. LDA 2. I (f) O O I2 d OH- O + HCI3 CN (g) NaH Cl CN (g) O O Br2 d OH- Br Br
Downloaded by VietJack TV Official (vietjackvideos@gmail.com)
Bài 6: Xác định cấu trúc từ A - E của các chất trong quá trình tổng hợp thuốc giảm đau ibuprofen sau từ p-isobutylbenzaldehyde. O (A) H NaBH OH 4 MeOH 1. PBr3 2. NaCN (C) 1. LDA CN CN 2. MeI (B) H3O+ OH O ibuprofen
Bài 7: Viết sản phẩm cho các phản ứng aldol hóa sau: (a) O O OH 1. LDA O 2. H 3. H2O (b) O OH O 1. LDA OEt 2. O O H O O OEt O 3. H2O
Downloaded by VietJack TV Official (vietjackvideos@gmail.com)
Bài 8: Viết sản phẩm khi các hợp chất Dicarbonyl sau phản ứng aldol nội phân tử và tách n ớc: HO SPC O O O (a) O O SPP H O HO O O H SPP OH OH O O (b) O O H H O HO O SPC (c) O O O O HO
Downloaded by VietJack TV Official (vietjackvideos@gmail.com)
Bài 9: Dự đoán sản phẩm chính cho các phản ứng sau: (a) O O O 1. EtO- OEt 2. H+ OEt O OH O (b) O OH- H H 2O H H O (c) OH O O O H OH- H + H H H2O EtO O (d) O OEt 1. EtO- EtO O 2. H+ O O (e) O O O OEt 1. EtO- OEt + OEt 2. H+ H O (f) H O O H OH- H OH H2O O
Downloaded by VietJack TV Official (vietjackvideos@gmail.com)
Bài 10: Điền vào các ô trống trong s đồ tổng hợp sau: O 1. OH MgBr O HO 2. H3O+ PCC MgBr H 1. O3 2. DMS HO H O
Bài 11: Xác định sản phẩm chính cho các phản ứng sau: O (a) O O OH NaOH H H H2O H O O SPC OH (b) O NaOH O O H2O O SPP HO
Bài 12: Vẽ sản phẩm cho quá trình ng ng tụ Aldol cho các phản ứng sau: (a) O O O OH O NaOH + H H H2O propanone methanal
Downloaded by VietJack TV Official (vietjackvideos@gmail.com) (b) O O O OH O H + NaOH H2O
Bài 13: Hợp chất Keto - Aldehyde sau có thể tạo ra 3 enolate khác nhau nh ng sản phẩm chính trong
quá trình ng ng tụ Aldol nội phân tử là sản phẩm d ới đây. Viết các sản phẩm có thể khác và giải thích sự chọn lọc. O O H NaOH H2O, O O H O OH- OH- OH- O O O H H H O O O O OH O OH O H HO O O O H (A) (B) (C) SPC SPP SPP
Downloaded by VietJack TV Official (vietjackvideos@gmail.com) Phân tích:
+ Khi phản ứng ng ng tụ Aldol nội phân tử, chất có xu h ớng đóng thành vòng 6 cạnh hoặc 5 cạnh bền h n là các vòng 7 do có sức
căng bề mặt lớn nên khó tacoj thành
=> Sản phẩm (A) không u tiên.
+ Các Aldehyde th ờng có tính Electrophil mạnh h n so với Ketone (Vì nhóm Carbonyl ở Ketone nhận nhiều điện tích h n
từ hai nhóm Alkyl nên mang điện âm nhiều h n so với Aldehyde + áng ngữ lập thể do 2 nhóm Alkyl) nên th ờng sẽ là
Electrophile. Vì vậy nhóm Ketone sẽ bị hỗ biến thành Enolates.
=> Sản phẩm (C) không u tiên.
Bài 14: Viết sản phẩm cho các quá trình ng ng tụ Aldol sau: O O (A) - (A) OEt (a) O O (A) - (B) O O OEt + EtONa OEt OEt EtOH (A) O O (B) (B) - (A) OEt O O (B) - (B) OEt (b) O O O O + EtONa EtOH OEt EtO OEt EtO OEt (c) O O O O + Ph EtONa H OEt OEt EtOH OEt Ph
Downloaded by VietJack TV Official (vietjackvideos@gmail.com) O (A) - (A) O O (d) O (A) - (B) O + EtONa EtOH OEt (B) O (A) (B) - (A) OEt O O (B) - (B) OEt
Bài 15: Xác định các cấu trúc từ A-E trong các phản ứng sau: O OEt NaOEt EtOH O O O O O NaOH HCl OEt H2O H OH 2O, (C) (A) (B) 1. PhCH2Br,NaOEt, EtOH 2. H3O+ O O O OEt HCl H Ph 2O, Ph (D) (E)
Downloaded by VietJack TV Official (vietjackvideos@gmail.com)
Bài 16: Xác định các cấu trúc từ A-C trong các phản ứng và đề xuất c chế phản ứng cho từng phản ứng: N O NH N O Br HX OEt (B) (A) O OEt H3O+ H2O O (C) O OH chế
Downloaded by VietJack TV Official (vietjackvideos@gmail.com) C chế phản ứng: H X H H X O H O N HO N HO N H X N H N 2O N O (A) X H Br Tạo chất (A) OEt H H Br N O N O N H H H H OEt OEt OEt Tạo chất(B) H (B) O O O H H H O N OH H H H O N OH H OEt N O H OEt OEt O O H O O H H O O OEt OEt O O
Downloaded by VietJack TV Official (vietjackvideos@gmail.com) H O O O O OEt OEt H OH H O OEt O OH OH H H O O (C) OH OH Tạo chất (C) O O H OEt
Downloaded by VietJack TV Official (vietjackvideos@gmail.com)