



















Preview text:
Chương 1: Cấu trúc của các hợp chất hữu cơ Bài tập Hóa hữu cơ đại cương 3 Cấu trúc hữu cơ 1.
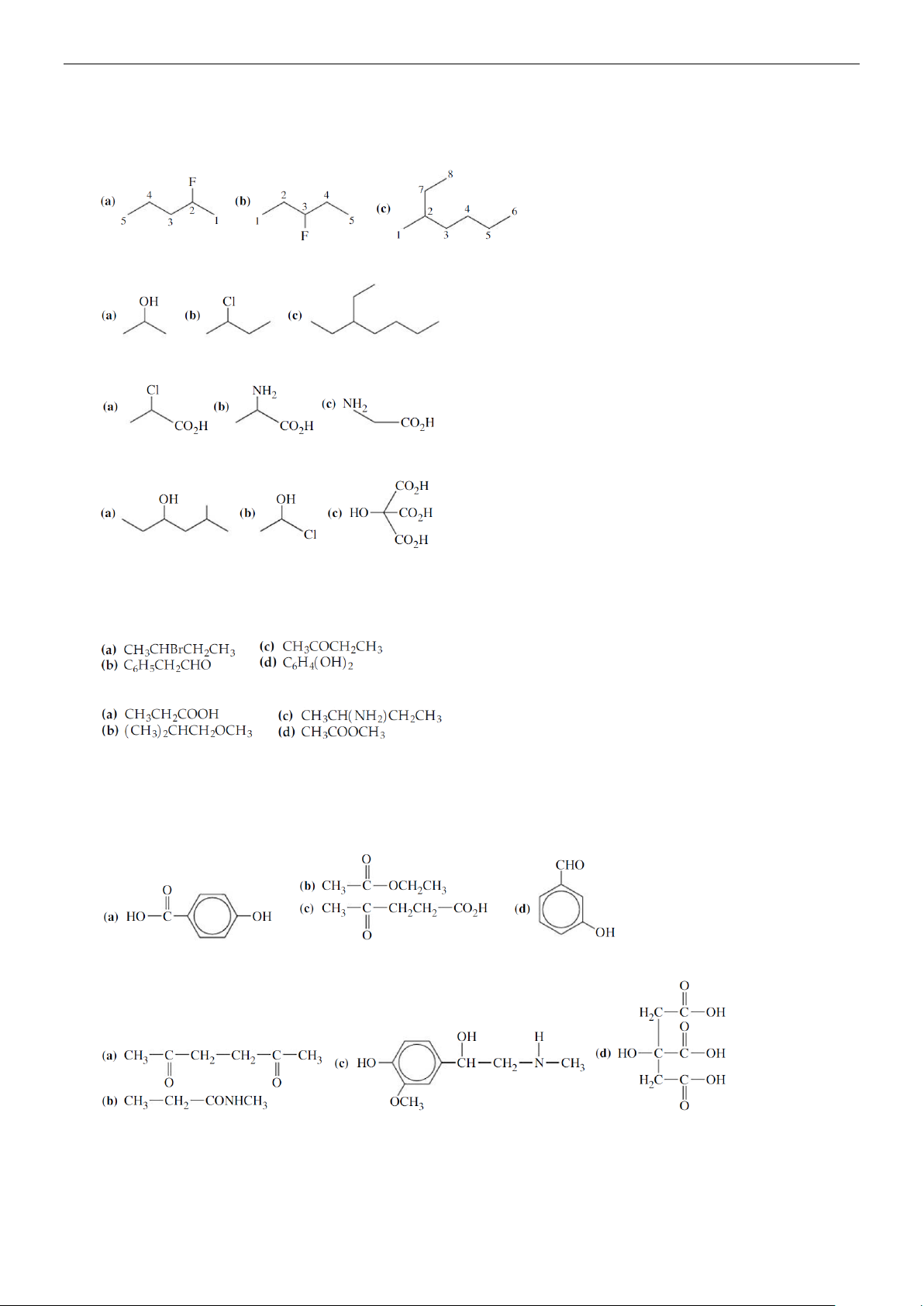
Viết công thức cấu tạo (dạng khai triển) tương ứng với các công thức rút gọn sau đây
2. Viết công thức cấu tạo cho các hợp chất sau đây
(a) 3-isopropyloctane (b) 2-chloro-3-methylpentane (c) 2-pentene (d) dipropyl ether 3.
Viết công thức cấu tạo cho các hợp chất sau đây
(a) 1,3,5-trimethylbenzene (b) p-nitrophenol (c) acid 3-amino-2,5-dichlorobenzoic 4.
Viết công thức cấu tạo (dạng khai triển) tương ứng với các công thức rút gọn sau đây 5.
Vẽ cấu trúc Lewis của các hợp chất sau
(a) CH3CHClCH3 (b) HOCH2CH2OH (c) CH3CHO 6.
Vẽ cấu trúc Lewis của các hợp chất sau
(a) CH3CH2COOH (b) CH3CN (c) CH3CH2NH2 7.
Xác định trạng thái lai hóa của các nguyên tử và nối hóa học (, ) giữa các vân đạo lai hóa, không lai hóa trong các hợp chất sau 8.
Xác định trạng thái lai hóa của các nguyên tử và nối hóa học (, ) giữa các vân đạo lai hóa, không lai hóa trong các hợp chất sau Đồng phân 9.
Xác định mối quan hệ (cùng một chất, đồng phân cấu tạo, đồng phân lập thể: đối phân hay xuyên lập thể phân, không có
mối quan hệ) giữa các chất trong mỗi cặp hợp chất sau
10. Xác định mối quan hệ (cùng một chất, đồng phân cấu tạo, đồng phân lập thể: đối phân hay xuyên lập thể phân, không có
mối quan hệ) giữa các chất trong mỗi cặp hợp chất sau 1
Chương 1: Cấu trúc của các hợp chất hữu cơ Bài tập Hóa hữu cơ đại cương 3
11. Viết công thức cấu tạo tất cả các đồng phân C7H16
12. Viết và gọi tên tất cả các đồng phân của: (a) C6H14 (b) C4H8 (c) C4H6
13. Tìm carbon thủ tính, nếu có, trong các hợp chất sau
14. Tìm carbon thủ tính, nếu có, trong các hợp chất sau
15. Tìm carbon thủ tính, nếu có, trong các hợp chất sau
16. Tìm carbon thủ tính, nếu có, trong các hợp chất sau Nhóm chức
17. Xác định nhóm chức hóa học trong mỗi hợp chất sau
18. Xác định nhóm chức hóa học trong mỗi hợp chất sau
19. Điểm khác nhau giữa các nhóm chức sau
(a) carbonyl và carboxyl (b) aldehyde và ketone (c) acid acetic và nhóm acetyl
20. Tên các nhóm chức trong hợp chất sau
21. Tên các nhóm chức trong hợp chất sau
22. Viết các đồng phân alcohol của C4H10O
23. Viết các đồng phân ether của C4H10O
24. Viết các đồng phân ether của C5H12O
25. Viết các đồng phân acid carboxylic của C5H10O2 2
Chương 1: Cấu trúc của các hợp chất hữu cơ Bài tập Hóa hữu cơ đại cương 3
26. Viết các đồng phân acid carboxylic của C4H8O2
27. Viết các đồng phân ester của C5H10O2
28. Viết các đồng phân ester của C4H8O2
29. Viết các đồng phân không phải là hợp chất vòng của C4H8O2 chứa nhiều hơn một nhóm chức
30. Viết các đồng phân của C5H10O2 chứa nhiều hơn một nhóm chức Danh pháp
31. Gọi tên các hợp chất sau
32. Gọi tên các hợp chất sau
33. Gọi tên các hợp chất sau
34. Viết công thức cấu tạo rút gọn của các hợp chất sau đây
(a) methylbutane (b) cyclohexene (c) 2-methyl-3-hexyne
(d) 2-butanol (e) ethyl isopropyl ether (f) propanal
35. Mỗi tên dưới đây có cung cấp đủ thông tin để đề nghị một cấu trúc cụ thể không ? Giải thích
(a) pentene (b) butanone (c) butyl alcohol
(d) methylaniline (e) methylcyclopentane (f) dibromobenzene
36. Vì sao các tên dưới đây sai và hãy sửa lại cho đúng?
(a) 3-pentene (b) pentadiene (c) 1-propanone
(d) bromopropane (e) 2,6-dichlorobenzene (f) 2-methyl-3-pentyne
37. Viết công thức cấu tạo rút gọn của các hợp chất sau đây
(a) 2,4,6-trinitrotoluene (thuốc nổ TNT)
(b) methyl salicylate (gợi ý: acid Salicylic là acid o-hydroxybenzoic)
(c) acid 2-hydroxy-1,2,3-propanetricarboxylic acid (acid citric)
38. Viết công thức cấu tạo rút gọn của các hợp chất sau đây
(a) o-tert-butylphenol (b) 1-phenyl-2-aminopropane
(c) 2-methylheptadecane (gợi ý: Heptadeca là 17)
39. Gọi tên các amine sau 3
Chương 1: Cấu trúc của các hợp chất hữu cơ Bài tập Hóa hữu cơ đại cương 3
40. Gọi tên các amine sau Alkane và Cycloalkane
41. Phân loại nguyên tử C (methyl, nhất cấp, nhị cấp, tam cấp, tứ cấp) trong các phân tử sau
(a) methylbutane (b) 2,2-dimethylpropane
42. Phân loại nguyên tử C (methyl, nhất cấp, nhị cấp, tam cấp, tứ cấp) trong các phân tử sau
(a) 2,4-dimethylpentane (b) ethylcyclobutane
43. Vẽ hình chiếu Newman cấu trạng lệch và che khuất cho sự quay quanh nối C2-C3 của 2-methylpentane. Cấu trạng nào có năng lượng thấp nhất?
44. Vẽ hình chiếu Newman cấu trạng lệch và che khuất cho sự quay quanh nối C2-C3 của pentane. Cấu trạng nào có năng lượng thấp nhất?
45. Vẽ cấu trạng bền nhất cho hợp chất dưới đây
46. Vẽ cấu trạng bền nhất cho hợp chất dưới đây
47. Hãy vẽ hai cấu trạng ghế ứng với mỗi cyclohexane mang nhóm thế dưới đây. Nhóm thế nào ở vị trí trục, nhóm nào ở vị
trí xích đạo và xác định cấu trạng ghế nào bền hơn.
(a) cyclohexanol (b) trans-3-methylcyclohexanol
48. Hãy vẽ hai cấu trạng ghế ứng với mỗi cyclohexane mang nhóm thế dưới đây. Nhóm thế nào ở vị trí trục, nhóm nào ở vị
trí xích đạo và xác định cấu trạng ghế nào bền hơn.
(a) cis-1-isopropyl-3-methylcyclohexane (b) cis-4-tert-butylcyclohexanol Alkene
49. Tại sao với hợp chất ethene và propene không cần ghi rõ 1-ethene, 1-propene? Có thể làm tương tự với butene?
50. Alkene và cycloalkane đều có công thức chung là CnH2n. Hai loại hợp chất này khác nhau về cấu trúc như thế nào?
51. Xác định cấu hình E hay Z cho mỗi hợp chất sau đây
52. Xác định cấu hình E hay Z cho mỗi hợp chất sau đây 4
Chương 1: Cấu trúc của các hợp chất hữu cơ Bài tập Hóa hữu cơ đại cương 3
53. Vẽ đồng phân E và Z của hợp chất (a) 2-chloro-2-butene (b) 3-methyl-2-pentene
54. Vẽ đồng phân E và Z của hợp chất (a) 3-methyl-3-hexene (b) 3-fluoro-2-methyl-3-hexene
Hợp chất hương phương
55. Gọi tên hay vẽ cấu trúc các hợp chất sau
(a) phenylacetylene (b) m-dichlorobenzene
56. Gọi tên hay vẽ cấu trúc các hợp chất sau
(a) p-phenylphenol (b) 3-hydroxy-4-isopropyltoluene
Hóa lập thể hữu cơ
57. Vẽ 4 đồng phân cấu tạo của C3H6Cl2
58. Cặp phân tử nào sau đây không phải là đồng phân cấu tạo? Giải thích.
59. Với mỗi cặp hợp chất dưới đây hãy chỉ ra cặp nào là giống nhau, đối phân, hay là loại đồng phân khác. 5
Chương 1: Cấu trúc của các hợp chất hữu cơ Bài tập Hóa hữu cơ đại cương 3
60. Với mỗi cặp hợp chất dưới đây hãy chỉ ra cặp nào là giống nhau, đối phân, hay là loại đồng phân khác.
61. Gọi tên các hợp chất sau đây với hóa học lập thể của từng chất
62. Gọi tên các hợp chất sau đây với hóa học lập thể của từng chất
63. Gọi tên các hợp chất sau đây với hóa học lập thể của từng chất
64. Gọi tên các hợp chất sau đây với hóa học lập thể của từng chất
65. Vẽ cấu trúc các hợp chất sau
(a) (Z)-1,3,5-tribromo-2-pentene (b) (E)-1,2-dibromo-3-methyl-2-hexene
(c) (S)-1-bromo-1-chlorobutane (d) (R)-1,3-dibromohexane (e) (S)-1-chloro-2-propanol
66. Vẽ cấu trúc các hợp chất sau
(a) (R)-1-bromo-1-chloroethane (b) (E)-2-bromo-2-pentene (c) (Z)-1-chloro-3-ethyl-3-heptene (d) acid (R)-2-
hydroxypropanoic (e) (S)-2-aminopropanoate anion 6
Chương 1: Cấu trúc của các hợp chất hữu cơ Bài tập Hóa hữu cơ đại cương 3
Cấu trúc và tính chất của hợp chất hữu cơ
67. Tính độ bất bão hòa của các hợp chất (a) C4H11N (b) C4H6O (c) C9H15ClO
68. Tính độ bất bão hòa của các hợp chất (a) C5H9NO (b) C5H8O3 (c) C5H9ClO
69. Tính độ bất bão hòa của hợp chất. Công thức phân tử của hợp chất là gì?
70. Tính độ bất bão hòa của hợp chất. Công thức phân tử của hợp chất là gì?
71. Nối các hợp chất sau với tính chất hóa học thích hợp dưới đây. (a) dễ bị oxy hóa
(b) làm mất màu nước bromine
(c) sinh ra bọt khí khi phản ứng với Na2CO3
(d) sinh ra bọt khí khi thêm kim loại Na vào
72. Nối các hợp chất sau với tính chất hóa học thích hợp dưới đây. (a) tạo ester với ethanol
(b) phản ứng với H2 dưới sự hiện diện của xúc tác kim loại (c) trung hòa NaOH loãng
(d) tạo ether khi đun nóng mạnh với H2SO4
73. Hãy vẽ ít nhất 6 đồng phân cấu tạo dạng ether vòng có công thức C4H6O. (Có nhiều hơn 6)
74. Hãy vẽ ít nhất 5 đồng phân cấu tạo dạng alcohol vòng có công thức C4H6O. (Có nhiều hơn 5)
Bài tập tổng hợp và nâng cao
75. Viết công thức cấu tạo thu gọn của (a) 1,5-cyclooctadiene
(b) 3,7,11-trimethyl-2,6,10-dodecatriene-1-ol (gợi ý: Dodeca là 12)
(c) 2,6-dimethyl-5-hepten-1-al
76. Viết công thức cấu tạo thu gọn của các hợp chất liệt kê trong bảng 1.3 (tài liệu), chỉ ra mối quan hệ giữa cấu trúc và nhiệt
độ sôi của các đồng phân có cùng công thức phân tử
Bảng 1.3: Nhiệt độ sôi của một số alkane đồng phân Công Nhiệt độ Công Nhiệt độ Đồng phân Đồng phân thức sôi (oC) thức sôi (oC) C4H10 Butane -0.5 C6H14 Hexane 68.7 Methylpropane -11.7 3-Methylpentane 63.3 C5H12 Pentane 36.1 2-Methylpentane 60.3 2-Methylbutane 27.9 2,3-Dimethylbutane 58.0 2,2-Dimethylpropane 9.5 2,2-Dimethylbutane 49.7 7
Chương 1: Cấu trúc của các hợp chất hữu cơ Bài tập Hóa hữu cơ đại cương 3
77. Viết công thức cấu tạo thu gọn của hợp chất C6H13Cl (có 17 đồng phân) 78. Biểu tượng
được sử dụng cho benzene. Có thể dùng tên 1,3,5-cyclohexatriene cho hợp chất này được không? Giải thích.
79. Vẽ và gọi tên các dẫn xuất của benzene có công thức phân tử (a) C8H10 (b) C9H12
80. Có bao nhiêu dẫn xuất monochloro hóa (thay thế một nguyên tử H bằng một nguyên tử Cl) của 2-methylbutane.
81. Viết công thức cấu tạo các hợp chất sau
(a) 2,4-dimethyl-1,4-pentadiene (b) 2,3-dimethylpentane
(c) 1,2,4-tribromobenzene (d) methylethanoate (e) 2-butanone
82. Gọi tên các hợp chất sau (bao gồm hóa học lập thể nếu có)
83. Viết công thức cấu tạo cho tất cả đồng phân của C4H7Cl. Chỉ ra công thức nào có thể có đối phân hay xuyên lập thể phân.
84. Alcohol (A) có công thức phân tử C5H12O có thể phân tích thành đối phân.
(a) Vẽ 3 cấu trúc có thể có của hợp chất (A).
(b) Cho (A) phản ứng với CrO3/pyridine tạo hợp chất (B) có tính quang hoạt. Cho biết công thức cấu tạo của (A) và (B).
Gọi tên các đối phân của (A) và (B).
85. Levomethadyl acetate được sử dụng trong điều trị nghiện ma túy
(a) Gọi tên các nhóm chức của hợp chất này
(b) Trạng thái lai hóa của các carbon được đánh số và nguyên tử N là gì? (c) Carbon nào thủ tính?
86. Thiamphenicol là chất kháng khuẩn
(a) Gọi tên các nhóm chức của hợp chất này
(b) Trạng thái lai hóa của các carbon được đánh số là gì? (c) Carbon nào thủ tính?
87. Ephedrine được sử dụng làm chất thông mũi trong thuốc trị cảm 8
Chương 1: Cấu trúc của các hợp chất hữu cơ Bài tập Hóa hữu cơ đại cương 3
(a) Gọi tên các nhóm chức của hợp chất này
(b) Trạng thái lai hóa của các carbon được đánh số và nguyên tử N là gì? (c) Carbon nào thủ tính?
(d) pH của dung dịch chứa 1g ephedrine trong 200g nước là 10,8. Tính pKb của ephedrine?
88. Trong mỗi phân tử dưới đây, xác định trạng thái lai hóa của mỗi C, tổng số liên kết , tổng số liên kết . Trong số các
carbon sp3 carbon nào là nhất cấp (1o), 2o, 3o?
89. Xác định cấu hình R, S của mỗi C trong phân tử dưới đây
90. Trong số các đồng phân ether có công thức C4H6O, hãy vẽ
(a) hai ether có 2C sp2 và 2C sp3.
(b) một ether có 4C sp2.
(c) một ether có 2C sp và 2C sp3.
91. Có bao nhiêu carbon thủ tính trong phân tử cholesterol dưới đây? Xác định cấu hình R hay S của carbon nối với nhóm -
OH? Xác định cấu hình E hay Z của nối đôi.
92. Với mỗi hợp chất sau đây
(a) Hãy vẽ hai cấu trạng ghế và chỉ ra cấu trạng nào bền hơn.
(b) Xác định tổng số carbon thủ tính và cấu hình R hay S của mỗi carbon. 9
Chương 2: Phản ứng của các hợp chất hữu cơ Bài tập Hóa hữu cơ đại cương 3
Loại phản ứng hữu cơ 1.
Nêu định nghĩa và cho ví dụ các khái niệm sau: a) phản ứng thế thân hạch; b) phản ứng thế thân điện tử; c) phản ứng
cộng; d) phản ứng tách loại; e) phản ứng chuyển vị. 2.
Nêu định nghĩa và cho ví dụ các khái niệm sau: a) phản ứng hydrate hóa; b) thủy giải; c) dung môi giải; d) phản ứng hydrate hóa alkene. 3.
Xác định loại phản ứng 4.
Xác định loại phản ứng
PCC là pyridinium chlorochromate 5.
Viết phương trình phản ứng và phân loại: phản ứng thế, phản ứng tách loại, phản ứng cộng, phản ứng chuyển vị.
(a) Ethene và Br2 phản ứng trong dung môi carbon tetrachloride tạo thành 1,2-dibromoethane.
(b) Iodoethane phản ứng với KOH (aq) tạo ra ethene, nước, và potassium bromide.
(c) Chloromethane phản ứng với NaOH (aq) tạo thành methanol và sodium chloride. 6.
Viết phương trình phản ứng và phân loại: phản ứng thế, phản ứng tách loại, phản ứng cộng, phản ứng chuyển vị.
(a) 3,3-Dimethyl-1-buten phản ứng trong dung dịch acid cho ra 2,3-dimethyl-2-buten.
(b) 1-Iodo-2,2-dimethylpropane phản ứng với nước cho ra 2,2-dimethyl-1-propanol và HI (aq).
(c) 2-Chloro-2-methylpropane phản ứng với NaOH (aq) tạo thành 2-methyl-1-propene, sodium chloride, và nước.
Phản ứng thế và phản ứng tách loại 7.
Viết phương trình phản ứng thế của n-bromobutane (haloalkane 1o) với các tác chất sau: a) NaOH; b) NH3; c) NaCN; d) CH3CH2ONa. 8.
Viết phương trình phản ứng thế của n-bromopentane (haloalkane 1o) với các tác chất sau: a) NaN3; b) N(CH3)3 ; c) CH3CH2CCNa; d) CH3CH2SNa. 9.
Trả lời các câu hỏi cho phản ứng SN2 sau
a) Trình bày công thức tính vận tốc phản ứng?
(b) Vẽ sơ đồ phản ứng, giả sử rằng các sản phẩm có năng lượng thấp hơn chất phản ứng.
(c) Tăng nồng độ n-butyl bromide lên gấp đôi ảnh hưởng như thế nào đến vận tốc phản ứng?
(d) Giảm một nửa nồng độ sodium hydroxide ảnh hưởng thế nào đến vận tốc phản ứng? 1
Chương 2: Phản ứng của các hợp chất hữu cơ Bài tập Hóa hữu cơ đại cương 3
10. Trả lời các câu hỏi cho phản ứng SN1 sau
a) Trình bày công thức tính vận tốc phản ứng?
(b) Vẽ sơ đồ phản ứng, giả sử rằng các sản phẩm có năng lượng thấp hơn chất phản ứng.
(c) Tăng nồng độ 2-bromo-2-methylpentane lên gấp đôi ảnh hưởng như thế nào đến vận tốc phản ứng?
(d) Dung môi phản ứng là ethanol. Thêm nhiều ethanol ảnh hưởng thế nào đến vận tốc phản ứng?
11. Trả lời các câu hỏi cho phản ứng E2 sau
a) Trình bày công thức tính vận tốc phản ứng?
b) Vẽ sơ đồ phản ứng, giả sử rằng các sản phẩm có năng lượng thấp hơn chất phản ứng.
c) Tăng nồng độ CH3CH2CH2Br lên gấp đôi ảnh hưởng như thế nào đến vận tốc phản ứng?
d) Giảm một nửa nồng độ NaOH ảnh hưởng thế nào đến vận tốc phản ứng?
12. Trả lời các câu hỏi cho phản ứng E1 sau
a) Trình bày công thức tính vận tốc phản ứng?
b) Vẽ sơ đồ phản ứng, giả sử rằng các sản phẩm có năng lượng thấp hơn chất phản ứng.
c) Tăng nồng độ CH3CH2C(CH3)2Br lên gấp đôi ảnh hưởng như thế nào đến vận tốc phản ứng?
d) Tăng nồng độ CH3OH lên gấp đôi ảnh hưởng như thế nào đến vận tốc phản ứng?
13. Xác định chất thân hạch, thân điện tử và nhóm xuất trong các phản ứng thế sau đây. Dự đoán cân bằng nghiêng về phía tác chất hay sản phẩm
14. Xác định chất thân hạch, thân điện tử và nhóm xuất trong các phản ứng thế sau đây. Dự đoán cân bằng nghiêng về phía tác chất hay sản phẩm
15. Giải thích vì sao chất (a) phản ứng nhanh hơn chất (b) trong phản ứng SN2. (Gợi ý: vẽ cấu trạng ghế bền của hai phân tử).
16. Giải thích vì sao chất (a) phản ứng nhanh hơn chất (b) trong phản ứng SN2. (Gợi ý: vẽ cấu trạng ghế bền của hai phân tử). 2
Chương 2: Phản ứng của các hợp chất hữu cơ Bài tập Hóa hữu cơ đại cương 3
17. Một mẫu (S)-CH3CH2CH(CH3)Cl bị thủy giải bởi nước và dung dịch tạo thành không có tính quang hoạt.
a) Viết sản phẩm tạo thành
b) Phản ứng xảy ra theo cơ chế phản ứng thế nào?
18. Một mẫu (R)-CH3CH2CH(CH3)Cl phản ứng với CH3O- trong dimethyl sulfoxide [(CH3)2SO] và dung dịch tạo thành có tính quang hoạt.
a) Viết sản phẩm tạo thành
b) Phản ứng xảy ra theo cơ chế phản ứng thế nào?
19. Một mẫu (S)-CH3CH2CH(Cl)CH3 được hòa tan vào ethanol, và dung dịch tạo thành không có tính quang hoạt.
a) Viết sản phẩm tạo thành
b) Phản ứng xảy ra theo cơ chế phản ứng thế nào?
20. Một mẫu (R)-CH3CH2CH(Cl)CH3 phản ứng với CH3S- trong dimethyl sulfoxide [(CH3)2SO], và dung dịch tạo thành có tính quang hoạt.
a) Viết sản phẩm tạo thành
b) Phản ứng xảy ra theo cơ chế phản ứng thế nào?
21. Viết sản phẩm chính và cơ chế của các phản ứng sau
22. Viết sản phẩm chính và cơ chế của các phản ứng sau Alcohol và alkene
23. Dự đoán sản phẩm chính cho mỗi phản ứng sau, ([O] biểu diễn Na2Cr2O7 trong H2SO4)
24. Dự đoán sản phẩm chính cho mỗi phản ứng sau, ([O] biểu diễn Na2Cr2O7 trong H2SO4)
25. Giải thích làm thế nào bạn có thể thực hiện biến đổi như sau. Viết một cơ chế cho phản ứng: 3
Chương 2: Phản ứng của các hợp chất hữu cơ Bài tập Hóa hữu cơ đại cương 3
26. Giải thích làm thế nào bạn có thể thực hiện biến đổi như sau. Viết một cơ chế cho phản ứng:
27. Sự chuyển vị trong carbocation có thể xảy ra trong phản ứng thế và tách loại. Sản phẩm tách loại nào được mong đợi
trong phản ứng sau nếu không có sự chuyển vị trong carbocation? Thực nghiệm cho thấy sản phẩm chính là 2,3-dimethyl-
2-pentene. Đề nghị cơ chế cho sự tạo thành 2,3-dimethyl-2-pentene. (Gợi ý: Xem xét việc tạo thành và chuyển vị của carbocation).
28. Phân tử là 2,2-dimethyl-1-propanol dưới đây là alcohol 1o. Vì không có nguyên tử H liên kết với cacbon nên phản ứng
dehydrate hóa dường như không xảy ra. Tuy nhiên, khi 2,2-dimethyl-1-propanol được đun nóng với chất xúc tác acid, thu
được 2-methyl-2-butene. Đề nghị cơ chế cho phản ứng tạo thành 2-methyl-2-butene. (Gợi ý: Xem xét sự hình thành và
chuyển vị của carbocation)
29. Viết sản phẩm của phản ứng sau
30. Dự đoán sản phẩm của phản ứng
31. Cho biết cấu trúc sản phẩm chính trong các phản ứng sau
32. Cho biết cấu trúc sản phẩm chính trong các phản ứng sau
33. Cho biết các sản phẩm chính tạo thành khi (Z)-3-methyl-2-pentene phản ứng với mỗi tác chất sau: a) HI; b) H2 với sự có
mặt của chất xúc tác Pt; c) H2O trong H2SO4; d) Br2 trong CCl4.
34. Cho biết các sản phẩm chính tạo thành khi 1-ethylcyclohexene phản ứng với mỗi tác chất sau: a) HI; b) H2 với sự có mặt
của chất xúc tác Pt; c) H2O trong H2SO4; d) Br2 trong CCl4.
Phản ứng thế thân điện tử hương phương
35. Phác thảo sơ đồ phản ứng được mô tả trong Hình 2.21, giả sử phản ứng tổng là tỏa nhiệt. Ngoài ra, thực nghiệm cho thấy
năng lượng hoạt hóa cho bước đầu tiên lớn hơn năng lượng hoạt hóa cho bước thứ hai. Vẽ cấu trúc các trạng thái trung gian và chuyển tiếp. 4
Chương 2: Phản ứng của các hợp chất hữu cơ Bài tập Hóa hữu cơ đại cương 3
36. Phản ứng chlorine hóa benzene có thể được thực hiện bằng cách cho benzene phản ứng Cl2 với sự có mặt của AlCl3. Như
đã trình bày trong tài liệu, Cl -
2 và AlCl3 phản ứng với nhau tạo thành Cl+AlCl4 . Phác thảo sơ đồ phản ứng của benzene với
Cl+AlCl -4. Sử dụng các giả định tương tự bài 35.
37. Phản ứng alkyl hóa benzene có thể được thực hiện bằng cách cho benzene phản ứng với haloalkane (RX) với sự có mặt
của AlCl3. Phản ứng này được gọi là phản ứng Friedel-Crafts. Một số phản ứng Friedel-Crafts được trình bày như dưới đây:
Cơ chế phản ứng này bao gồm các bước sau. Đầu tiên, (CH3)2CHCl phản ứng với AlCl3 theo phản ứng acid-base Lewis
tạo thành sản phẩm cộng, (CH3)2CH-Cl-AlCl3, trong đó một nguyên tử chlorine nối với cả carbon và aluminum. Sản
phẩm cộng sau đó phân tách thành carbocation (CH -
3)2CH+ và AlCl4 . Carbocation hoạt động như một chất thân điện tử
trong phản ứng với benzene, tạo thành một ion arenium. Cuối cùng, một proton được loại bỏ khỏi ion arenium bởi AlCl - 4 ,
tạo thành alkylbenzene, HCl và AlCl3. Viết phương trình phản ứng cho quá trình tạo thành 1-methyl-1-phenylethane và
HCl từ (CH3)2CHCl và benzene. Sử dụng mũi tên cong cho thấy sự di chuyển của điện tử.
38. Trình bày cơ chế phản ứng sau. Sử dụng mũi tên cong cho thấy sự di chuyển của điện tử. Biết rằng
39. Dự đoán sản phẩm chính của phản ứng: a) mono nitrate hóa chlorobenzene; b) mono sulfate hóa nitrobenzene; c) mono
chlorine hóa 1-methyl-2-nitrobenzene.
40. Dự đoán sản phẩm chính của phản ứng: a) mono nitrate hóa acid benzoic; b) mono sulfate hóa phenol; c) mono bromine hóa 2-nitrobenzaldehyde.
Phản ứng của alkane
41. Sản phẩm chính của phản ứng mono bromine hóa 2,2,3-trimethylpentane?
42. Sản phẩm chính của phản ứng mono bromine hóa methylcyclohexane?
43. a) Trình bày giai đoạn khơi mào, giai đoạn truyền và kết thúc trong phản ứng mono fluorine hóa 2,3-dimethylbutane tạo
ra 1-fluoro-2,3-dimethylbutane.
b) Giải thích vì sao trong phản ứng mono fluorine hóa 2,3-dimethylbutane sản phẩm chính là 1-fluoro-2,3-
dimethylbutane, mà không phải là 2-fluoro-2,3-dimethylbutane.
44. Trình bày giai đoạn khơi mào, giai đoạn truyền và kết thúc trong phản ứng mono bromine hóa 2,3-dimethylbutane tạo ra 2-bromo-2,3-dimethylbutane. 5
Chương 2: Phản ứng của các hợp chất hữu cơ Bài tập Hóa hữu cơ đại cương 3
Phản ứng trùng hợp
45. Khi đề cập đến khối lượng phân tử của một polymer, chúng ta chỉ có thể chỉ nói khối lượng phân tử trung bình. Giải thích
tại sao khối lượng phân tử của một polymer là không phải là một số xác định.
46. Giải thích tại sao Dacron được gọi là polyester. Thành phần % oxygen (theo khối lượng) ở Dacron?
47. Nylon 66 được tạo ra bởi phản ứng của 1,6-hexanediamine với acid adipic. Một loại polymer nylon khác được tạo thành
nếu sebacyl chloride được thay thế cho acid adipic. Đơn vị cơ bản lặp lại của cấu trúc nylon này là gì?
48. Có Polymer nào được hình thành bởi phản ứng của acid terephthalic với alcohol ethyl thay cho ethylene glycol hay
không? Tương tự với glycerol thay cho ethylene glycol? Giải thích.
Tổng hợp hợp chất hữu cơ
49. Với nguyên liệu đầu là acetylene (nguồn carbon duy nhất), cùng với một số chất vô cơ, hãy đề nghị một phương pháp tổng hợp acetaldehyde.
50. Với nguyên liệu đầu là acetylene (nguồn carbon duy nhất), cùng với một số chất vô cơ, hãy đề nghị một phương pháp
tổng hợp 1,1,2,2-tetrabromoethane.
51. Đề nghị một phương pháp tổng hợp (E)- và (Z)-3-heptene từ acetylene và những hóa chất khác.
52. Đề nghị một phương pháp tổng hợp (R)-2-butanamine từ (S)-2-butanol.
53. Anion azide là một chất thân hạch và khi được nối vào nguyên tử carbon, nó trải qua phản ứng khử tạo nhóm amino và
nitơ tự do. Đề nghị một phương pháp điều chế propanamine.
54. Anion cyanide là một chất thân hạch và R-CN có thể bị khử để tạo amine nhất cấp RCH2NH2. Đề nghị một phương pháp
điều chế propanamine từ chloroethane.
Bài tập tổng hợp và nâng cao
55. Vẽ cấu trúc sản phẩm chính của các phản ứng sau đây
56. Sản phẩm chính của phản ứng mono bromine hóa: a) m-dinitrobenzene; b) aniline; c) p-bromoanisole.
57. Sản phẩm chính của phản ứng giữa propene với: a) H2; b) Cl2; c) HCl; d) H2O (trong acid).
58. Sản phẩm chính của phản ứng giữa 2-butene với: a) H2; b) Cl2; c) HCl; d) H2O (trong acid).
59. Nối các chất (1, 2, 3) với phản ứng (a, b, c)? Viết cấu trúc các sản phẩm của phản ứng. a) trung hòa HCl loãng
b) thủy giải trong môi trường base c) trung hòa NaOH loãng
60. Nối các chất (1, 2, 3) với phản ứng (a, b, c)? Viết cấu trúc các sản phẩm của phản ứng. a) trung hòa HCl loãng b) thủy giải 6
Chương 2: Phản ứng của các hợp chất hữu cơ Bài tập Hóa hữu cơ đại cương 3 c) trung hòa NaOH loãng
61. Viết sản phẩm nếu phương trình phản ứng xảy ra
62. Viết sản phẩm nếu phương trình phản ứng xảy ra
63. Chất nào trong các chất sau: 2-propanol, 1-butanol, 2-butanol, hoặc alcohol tert-butyl được sử dụng tham gia phản ứng
oxy hóa để điều chế methyl ethyl ketone? Giải thích.
64. Viết sản phẩm chính của các phản ứng sau:
a) cho CH3CH2CH=CH2 phản ứng với H2SO4 loãng
b) Chiếu ánh sáng cực tím vào hỗn hợp khí gồm Cl2 và propan
c) làm nóng hỗn hợp alcohol isopropyl và acid benzoic
d) oxy hóa alcohol sec-butyl với Cr2O7 trong dung dịch acid
65. Nối hợp chất sau đây với tính chất hóa học bên dưới. Viết phương trình phản ứng xảy ra. a) dễ dàng bị oxy hóa b) trung hòa NaOH (aq)
c) tạo thành ester với ethanol
d) có thể bị oxy hóa thành acid carboxylic
e) có thể bị dehydrate hóa thành alcohol
66. Nối hợp chất sau đây với tính chất hóa học bên dưới. Viết phương trình phản ứng xảy ra. a) trung hòa HCl (aq) b) trung hòa NaOH (aq)
c) tạo thành amide với acid ethanoic d) phản ứng với ammonia
e) phản ứng với -CN (aq)
67. Viết các sản phẩm đồng phân của phản ứng mono nitrate hóa m-methoxybenzaldehyde
68. Trong phản ứng chlorine hóa CH4, thu được một số sản phẩm CH3CH2Cl. Giai thích?
69. Ba đồng phân tribromobenzene A, B, C tham gia phản ứng mono nitrate hóa lần lượt tạo 3 sản phẩm
mononitrotribromobenzene, 2 sản phẩm mononitrotribromobenzene, 1 sản phẩm mononitrotribromobenzene. Xác định A,
B, C và các sản phẩm tương ứng tạo thành. 7
Chương 2: Phản ứng của các hợp chất hữu cơ Bài tập Hóa hữu cơ đại cương 3
70. Gọi tên và cấu trúc các dẫn xuất benzene được mô tả dưới đây:
a) C8H10; tạo 3 sản phẩm mono chlorine hóa khi phản ứng với Cl2 với sự hiện diện của FeCl3
b) C9H12; tạo 1 sản phẩm mono chlorine hóa khi phản ứng với Cl2 với sự hiện diện của FeCl3
c) C9H12; tạo 4 sản phẩm mono chlorine hóa khi phản ứng với Cl2 với sự hiện diện của FeCl3
71. Đối với phản ứng mono chlorine hóa hydrocacbon, tỷ lệ phản ứng là: 3o > 2o > 1o, 4.3 : 3.0 : 1.0. Có thể có bao nhiêu dẫn
xuất mono chlorine khác nhau của 2-methylbutane, và tỷ lệ phần trăm của mỗi dẫn xuất?
72. Anion cyanide là một chất thân hạch và R-CN có thể bị thủy giải trong điều kiện base tạo anion carboxylate RCOO-. Đề
nghị một phương pháp điều chế sodium butanoate từ chloropropane. Và làm thế nào để chuyển hóa sodium butanoate thành acid butanoic.
73. Ion iodine không thể thế được nhóm -OH trong ethanol, nhưng lượng thừa HI sẽ phản ứng với ethanol để tạo thành ethyl iodide. Giải thích.
74. Từ các nguyên liệu đầu chloromethane, chloroethane, sodium azide NaN3, sodium cyanide NaCN, và các chất khử đề
nghị cách tổng hợp các hợp chất sau
75. Dự đoán và gọi tên các sản phẩm thu được từ các phản ứng sau. Viết cơ chế phản ứng, sử dụng mũi tên cong để chỉ sự di chuyển của điện tử.
76. Dự đoán và gọi tên các sản phẩm thu được từ các phản ứng sau. Viết cơ chế phản ứng, sử dụng mũi tên cong để chỉ sự di chuyển của điện tử.
77. Từ các nguyên liệu đầu benzene, methane, và các chất vô cơ thích hợp, đề nghị cách tổng hợp hợp chất sau 8
Chương 3: Hóa học của sự sống Bài tập Hóa hữu cơ đại cương 3 Lipid 1.
Gọi tên các hợp chất sau 2.
Viết công thức cấu tạo các hợp chất sau.
(a) glyceryl palmitolauroeleostearate (b) tripalmitin (c) potassium myristate (d) butyl oleate 3.
Viết phản ứng của quá trình xà phòng hóa tripalmitine với NaOH (aq). 4.
Tính khối lượng tối đa của xà phòng natri có thể được điều chế từ 105 g glyceryl trimyristate. Carbohydrate 5.
Viết cấu trúc cho dạng mạch thẳng của L-glucose 6.
Từ cấu trúc của L-(+)-arabinose dưới đây, vẽ cấu trúc của (a) D-(-)-arabinose
(b) Một xuyên lập thể phân của L-(+)-arabinose 7.
Dạng tinh khiết - và - của D-glucose xoay mặt phẳng ánh sáng phân cực sang phải với độ quay riêng có giá trị lần lượt
là +112 và +18.7. Hai dạng đồng phân này của glucose là đối phân hay xuyên lập thể phân? 8.
Khi một hỗn hợp của dạng tinh khiết - và - của D-glucose đạt trạng thái cân bằng trong dung dịch, góc quay quan sát
được là +52,7. Hãy tính tỷ lệ phần trăm của các dạng trong hỗn hợp ở trạng thái cân bằng?
Hình chiếu Fischer và danh pháp R, S 9.
Xác định cấu hình R, S của các tâm thủ tính và xác định các cặp chất sau là cùng một chất, đối phân hay xuyên lập thể phân. 1
Chương 3: Hóa học của sự sống Bài tập Hóa hữu cơ đại cương 3
10. Xác định cấu hình R, S của các tâm thủ tính và xác định các cặp chất sau là cùng một chất, đối phân hay xuyên lập thể phân.
11. Vẽ lại các phân tử sau đây theo hình chiếu Fischer; sau đó xác định cấu hình R, S cho mỗi tâm lập thể.
12. Vẽ lại các phân tử sau đây theo hình chiếu Fischer; sau đó xác định cấu hình R, S cho mỗi tâm lập thể.
Amino acid, polypeptide và protein
13. Viết cấu trúc của amino acid phenylalanine (pI = 5.74) trong (a) dung dịch HCl 1.0 M; (b) dung dịch NaOH 1,0 M; (c)
một dung dịch đệm với pH = 5.74
14. Viết cấu trúc của amino acid histidine (pI = 7.6) tại (a) pH = 3.0; (b) pH = 7.6; (c) pH = 12.0
15. Viết cấu trúc của (a) alanylcysteine; (b) threonylvalylglycine.
16. Cho polypeptide Met-Val-Thr-Cys, (a) viết công thức cấu tạo; (b) gọi tên polypeptide.
17. Một hỗn hợp của các amino acid: lysine, proline, và acid aspartic được đặt trong đệm gel ở pH 6.3. Áp một dòng điện
giữa một cực dương và một cực âm nhúng trong gel. Mỗi amino acid sẽ di chuyển về điện cực nào?
18. Một hỗn hợp của các amino acid: histidine, acid glutamic, và phenylalanine được đặt trong đệm gel ở pH 5.7. Áp một
dòng điện giữa một cực dương và một cực âm nhúng trong gel. Mỗi amino acid sẽ di chuyển về điện cực nào?
19. Viết cấu trúc của (a) các tripeptide khác nhau được tạo thành từ sự kết hợp của alanine, serine, và lysine; (b) các
tetrapeptide có chứa hai đơn vị serine và hai đơn vị alanine.
20. Thủy phân hoàn toàn một polypeptide tạo ra các amino acid Gly, Leu, Ala, Val, Ser, Thr. Thủy phân từng phần tạo ra các
mảnh Ser-Gly-Val, Thr-Val, Ala-Ser, Leu-Thr-Val, Gly-Val-Thr. Biết rằng Ala là amino acid đầu N-cuối. Hãy xác định
trình tự chuỗi amino acid và gọi tên polypeptide.
21. Thủy phân hoàn toàn một polypeptide tạo ra các amino acid Ala, Gly, Lys, Ser, Phe. Thủy phân từng phần tạo ra các
mảnh Ala-Lys-Ser, Gly-Phe-Gly, Ser-Gly, Gly-Phe, Lys-Ser-Gly. Biết rằng Ala là amino acid đầu N-cuối. Hãy xác định
trình tự chuỗi amino acid và gọi tên polypeptide.
22. Amino acid (R)-alanine được tìm thấy trong ấu trùng côn trùng. Vẽ hình chiếu Fischer của amino acid này.
23. Amino acid (R)-serine được tìm thấy trong giun đất. Vẽ hình chiếu Fischer của amino acid này.
24. Vẽ cấu trúc phối cảnh hợp chất (S)-alanine và (S)-phenylalanine. 2
Chương 3: Hóa học của sự sống Bài tập Hóa hữu cơ đại cương 3
25. Vẽ cấu trúc phối cảnh hợp chất (R)-proline và (S)-valine. Acid nucleic
26. Nếu một sợi của phân tử DNA có trình tự base AGC, thì trình tự base trên sợi đối diện là gì? Vẽ cấu trúc đoạn này của
chuỗi xoắn kép, thể hiện tất cả các liên kết hydrogen.
27. Nếu một sợi của phân tử DNA có trình tự base TCT, thì trình tự base trên sợi đối diện là gì? Vẽ cấu trúc đoạn này của
chuỗi xoắn kép, thể hiện tất cả các liên kết hydrogen. 3