



















Preview text:
HỌC VIỆN NGÂN HÀNG KHOA NGÂN HÀNG
BÀI TẬP NHÓM HỌC PHẦN
NGÂN HÀNG THƯƠNG MẠI
ĐỀ TÀI: VAI TRÒ CỦA NGÂN HÀNG THƯƠNG MẠI
TRONG PHÁT TRIỂN TÀI CHÍNH TOÀN DIỆN
Giảng viên hướng dẫn: Đỗ Thị Thu Hà
Mã lớp học phần: 241FIN17A15 Số từ: 6735 Sinh viên thực hiện: Phùng Gia Linh 26A4050662 Đặng Quang Đức 26A4053336
Nguyễn Thị Anh Bình 26A4052954 Luân Thị Anh Thư 26A4051603 Hoàng Mai Phương 26A4051128 Lê Hà Phương 26A4012923
Hà Nội. tháng 11 năm 2024 MỤC LỤC
I. SỰ CẦN THIẾT VÀ XU HƯỚNG PHÁT TRIỂN TÀI CHÍNH TOÀN DIỆN
TRÊN THẾ GIỚI VÀ VIỆT NAM GẦN ĐÂY..............................................................4
1. Sự cần thiết của phát triển tài chính toàn diện.....................................................4
1.1. Khái quát về tài chính toàn diện ( Financial Inclusion - FI ).............................4
1.2. Đặc trưng của tài chính toàn diện.....................................................................4
1.3. Chỉ tiêu đánh giá và đo lường...........................................................................4
1.4. Sự cần thiết của phát triển tài chính toàn diện..................................................5
2. Xu hướng phát triển tài chính toàn diện trên thế giới.........................................6
3. Xu hướng phát triển tài chính toàn diện ở Việt Nam...........................................7
II. VAI TRÒ CỦA NGÂN HÀNG THƯƠNG MẠI TRONG PHÁT TRIỂN TÀI
CHÍNH TOÀN DIỆN.......................................................................................................8
1. Vai trò của ngân hàng đối với phát triển tài chính toàn diện..............................8
2. Vai trò của ngân hàng thương mại (NHTM) đối với phát triển tài chính toàn
diện tại Việt Nam........................................................................................................8
2.1. Phạm vi mở rộng bao phủ mạng lưới tiếp cận dịch vụ tài chính của hệ thống
ngân hàng tại Việt Nam...........................................................................................9
2.3. Các chương trình hỗ trợ tài chính cho các doanh nghiệp nhỏ và vừa...............9
2.4. Chính sách khuyến khích tiết kiệm và phát triển tín dụng bền vững..............10
III. TÁC ĐỘNG CỦA XU HƯỚNG PHÁT TRIỂN TÀI CHÍNH TOÀN DIỆN TỚI
HOẠT ĐỘNG KINH DOANH CỦA NGÂN HÀNG VIETCOMBANK...................10
1. Tổng quan về Ngân hàng Vietcombank..............................................................10
2. Tác động của việc phát triển tài chính toàn diện đến hoạt động của ngân hàng
Vietcombank.............................................................................................................11
2.1. Những hoạt động kinh doanh của Vietcombank dưới tác động của xu hướng
phát triển tài chính toàn diện.................................................................................11
2.2. Tác động tích cực...........................................................................................12
2.3. Tác động tiêu cực...........................................................................................12
3. Đề xuất giải pháp cho Vietcombank để thích ứng với những ảnh hưởng của xu
hướng phát triển tài chính toàn diện tới hoạt động kinh doanh của ngân hàng..14
KẾT LUẬN.....................................................................................................................17
TÀI LIỆU THAM KHẢO.............................................................................................18 1 MỞ ĐẦU
Trong những năm gần đây, vấn đề phát triển tài chính toàn diện đang được coi là một
trong những mối quan tâm hàng đầu của các quốc gia trên thế giới. Ở Việt Nam, phát
triển tài chính toàn diện là một trong những nội dung cơ bản để thực hiện đổi mới mô
hình tăng trưởng kinh tế thông qua xóa đói giảm nghèo, tăng cường khả năng tiếp cận và
sử dụng dịch vụ tài chính cho mọi thành viên trong xã hội.
Để hoàn thành mục tiêu trên, các ngân hàng thương mại - trung gian tài chính có vai trò
là kênh dẫn vốn cho nền kinh tế , đã có những đóng góp trong thúc đẩy tăng trưởng kinh
tế đất nước hiện nay. Và Vietcombank là một trong các ngân hàng cũng đã và đang thực
hiện chính sách về tài chính toàn diện. Nó có vai trò ra sao trong việc thực hiện, phát triển
chính sách ấy và xu hướng này tác động như thế nào tới hoạt động kinh doanh của
Vietcombank, bài tiểu luận này của nhóm chúng em sẽ trả lời cho câu hỏi đó. NỘI DUNG 2 I.
SỰ CẦN THIẾT VÀ XU HƯỚNG PHÁT TRIỂN TÀI CHÍNH TOÀN DIỆN
TRÊN THẾ GIỚI VÀ VIỆT NAM GẦN ĐÂY
1. Sự cần thiết của phát triển tài chính toàn diện
1.1. Khái quát về tài chính toàn diện ( Financial Inclusion - FI )
Theo Cổng TTĐT Bộ Tài Chính, “Tài chính toàn diện là việc mọi người dân, doanh
nghiệp được tiếp cận và sử dụng các sản phẩm, dịch vụ tài chính một cách thuận tiện, phù
hợp nhu cầu, với chi phí hợp lý, được cung cấp một cách có trách nhiệm và bền vững,
trong đó chú trọng đến nhóm người nghèo, người thu nhập thấp, người yếu thế, doanh
nghiệp nhỏ và vừa, doanh nghiệp siêu nhỏ.”
1.2. Đặc trưng của tài chính toàn diện
●Về số lượng: Sản phẩm dịch vụ đa dạng, bao gồm các dịch vụ thuộc 4 lĩnh vực cơ
bản như: tiết kiệm, tín dụng, bảo hiểm, thanh toán.
●Về chất lượng: Thuận tiện, phù hợp với khả năng chi trả, an toàn, có cam kết bảo
vệ quyền lợi khách hàng.
●Đối tượng sử dụng dịch vụ: Mọi cá nhân, tổ chức kinh tế bao gồm các doanh
nghiệp vừa và nhỏ, cá nhân thu nhập thấp, những người ở vùng nông thôn, kém
phát triển có thể dễ dàng tiếp cận dịch vụ và được cung ứng một cách công bằng, bình đẳng.
●Đối tượng cung ứng dịch vụ: Mọi tổ chức từ tư nhân cho đến Chính phủ được
phép cung ứng đa dạng các dịch vụ tài chính phù hợp với quy định pháp luật.
1.3. Chỉ tiêu đánh giá và đo lường
Với mục tiêu thiết lập tài chính toàn diện quốc gia, Hội nghị thượng đỉnh G20 tại Los
Cabos (Mexico, 2012) đã thông qua bộ chỉ số đánh giá FI gồm 24 chỉ số chia thành 3 nhóm:
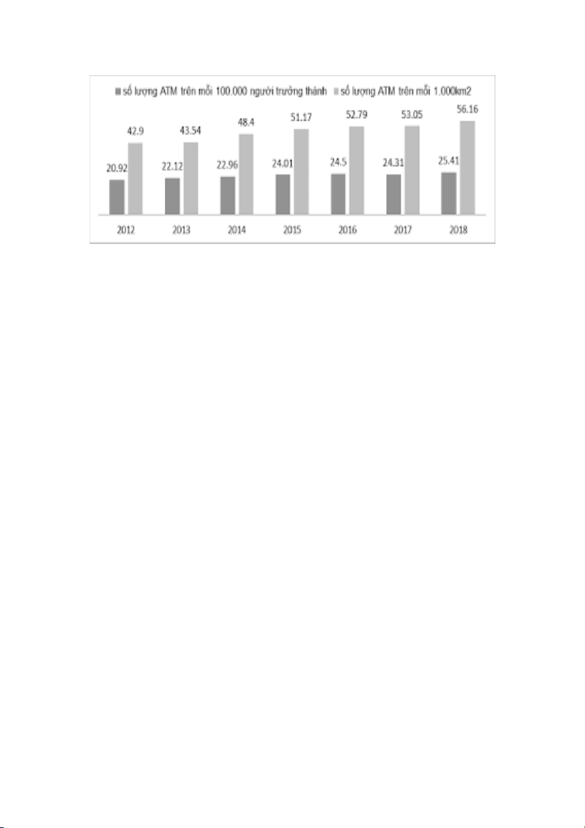
●Nhóm chỉ số tiếp cận dịch vụ tài chính: tỷ lệ số máy ATM /1000 km2, số lượng
chi nhánh/ phòng giao dịch /1000 km2… 3 Về mă u t địa lý, năm 2012 Viê u
t Nam có 42,9 cây ATM / 1.000 km2 thì đến năm 2018 con
số này là 56,16. Tương tự như vâ u
y, cứ 100.000 người trưởng thành tại Viê u t Nam năm
2012 có 20,9 cây ATM thì năm 2018 số lượng cây ATM đã lên tới 25,41.
●Nhóm chỉ số sử dụng dịch vụ tài chính: tỷ lệ tài khoản /1000 người trưởng thành,
lượng thẻ trong lưu thông /1000 người trưởng thành…
Chẳng hạn như, theo NHNN, tính đến 31/12/2020, số lượng tài khoản thanh toán của cá
nhân, tổ chức tại các tổ chức tín dụng đạt 104,2 triệu tài khoản, tăng lên so với năm 2019
khi Việt Nam trải qua đại dịch Covid-19.
●Nhóm chỉ số phản ánh chất lượng dịch vụ tài chính: chỉ số phản ánh về nhận thức
tài chính của người trưởng thành, hành vi ứng xử đối với các vấn đề tài chính…
Tỷ lệ người trưởng thành sở hữu thẻ ghi nợ và thẻ tín dụng có xu hướng tăng trong các
năm qua, cùng với ghi nhận của NHNN giá trị các giao dịch thanh toán không sử dụng
tiền mặt tăng đột biến. Điều đó chứng tỏ nhận thức về tài chính cũng như thanh toán
không dùng tiền mặt của người dân ngày càng trở nên rõ rệt.
1.4. Sự cần thiết của phát triển tài chính toàn diện
Liên Hợp Quốc đã xác định rằng FI là một giải pháp quan trọng để đạt được 7/17 mục
tiêu phát triển bền vững đến năm 2030. Và với Việt Nam, thúc đẩy tài chính toàn diện
được xem là một trong những trọng tâm phát triển kinh tế - xã hội của nước ta vì những lý do cơ bản sau: 4
● Thứ nhất, FI là nền tảng để gia tăng thu nhập, cải thiện cuộc sống của mọi chủ thể
trong nền kinh tế quốc dân. Khi người dân, đặc biệt là người thu nhập thấp, ở các
vùng kinh tế kém phát triển thì việc họ có cơ hội được tiếp cận và sử dụng các sản
phẩm dịch vụ tài chính cơ bản sẽ giúp họ dễ dàng giải quyết các vấn đề tài chính
phát sinh; từ đó nâng cao đời sống vật chất, tinh thần.
● Thứ hai, tạo cơ hội cho doanh nghiệp nâng cao hiệu quả hoạt động kinh doanh.
Dựa trên cơ sở mọi chủ thể kinh tế được phép cung ứng sản phẩm dịch vụ tài
chính theo nguyên tắc cạnh tranh công bằng, bình đẳng, các doanh nghiệp sẽ có
động lực trong việc cải thiện quy mô kinh doanh, vấn đề điều hành quản trị, lợi nhuận doanh thu…
●Thứ ba, từ 2 lợi ích cải thiện chất lượng đời sống người dân và tạo động lực thúc
đẩy sản xuất kinh doanh sẽ là nền tảng vững chắc để các quốc gia xóa đói giảm
nghèo, xóa bỏ sự bất bình đẳng giới trong xã hội,... tiến tới phát triển kinh tế bền vững.
2. Xu hướng phát triển tài chính toàn diện trên thế giới
●Số hóa các dịch vụ tài chính: Các công nghệ số như ví điện tử, blockchain, và trí
tuệ nhân tạo đang mở rộng khả năng tiếp cận dịch vụ tài chính với chi phí thấp,
tiện lợi hơn cho người sử dụng. Các ứng dụng ngân hàng di động và ví điện tử dần
trở thành phương tiện thanh toán phổ biến ở nhiều quốc gia đang phát triển, bao gồm cả Việt Nam. 5
●Tài chính di động và ví điện tử: Tại các khu vực chưa có hạ tầng ngân hàng phát
triển như châu Phi và Nam Á, tài chính di động đang bùng nổ.
●Hỗ trợ tài chính xanh và bền vững: Nhiều tổ chức tài chính đang phát triển các sản
phẩm tài chính hỗ trợ bảo vệ môi trường và cộng đồng như trái phiếu xanh và các khoản vay bền vững.
●Chính sách hỗ trợ từ các tổ chức quốc tế: Các tổ chức như Ngân hàng Thế giới
(WB) và Quỹ Tiền tệ Quốc tế (IMF) đã và đang triển khai nhiều chương trình hỗ
trợ tài chính toàn diện, giúp rút ngắn khoảng cách tài chính giữa các quốc gia và
thúc đẩy phát triển kinh tế toàn cầu.
3. Xu hướng phát triển tài chính toàn diện ở Việt Nam
Ở Việt Nam, tài chính toàn diện là một trong những mục tiêu hàng đầu của Chính phủ
nhằm thu hẹp khoảng cách tiếp cận tài chính giữa các khu vực:
●Thực hiện Đề án thanh toán không dùng tiền mặt: Chính phủ đang thúc đẩy các
giải pháp thanh toán điện tử, đặc biệt là thanh toán qua ví điện tử như Zalopay,
Apple Pay, mã QR và ngân hàng số. Mục tiêu đến năm 2030 là 80% dân số trưởng
thành có tài khoản ngân hàng.
●Hỗ trợ tài chính cho nông thôn và người thu nhập thấp: Các ngân hàng và tổ chức
tín dụng Việt Nam đã phát triển các sản phẩm tài chính vi mô (microfinance) cho
các hộ gia đình và doanh nghiệp nhỏ. Tỷ lệ người trưởng thành có tài khoản tiết
kiệm, có khoản vay ở nước ta gia tăng, điều đó cho thấy ngân hàng đã thay đổi
phương thức giao dịch để thu hút được sự quan tâm của người dân, nhất là người
dân vùng nông thôn, vùng sâu vùng xa, miền biên giới hải đảo và người có thu
nhập không ổn định lựa chọn vay vốn ngân hàng thay vì các tổ chức tài chính
không chính thức với lãi suất cao và gửi tiết kiệm tại ngân hàng để phục vụ chi
tiêu và đầu tư trong tương lai. 6
●Ứng dụng công nghệ trong tài chính: Sự gia tăng của các Fintech ở Việt Nam đã
làm thay đổi cách tiếp cận dịch vụ tài chính, giúp cải thiện khả năng tiếp cận và
tăng cường tính minh bạch trong giao dịch tài chính. Việc tiếp cận và sử dụng dịch
vụ tại các tổ chức tài chính chính thức của người dân Việt Nam đã gia tăng trong
những năm qua, bằng chứng là tỷ lệ người trưởng thành có tài khoản tại các tổ
chức tài chính đã tăng lên đáng kể.
●Đẩy mạnh giáo dục tài chính: Chính phủ và các tổ chức tài chính tại Việt Nam
đang đẩy mạnh các chương trình giáo dục tài chính nhằm nâng cao nhận thức của
người dân về các dịch vụ tài chính, đồng thời khuyến khích tiết kiệm và đầu tư
II. VAI TRÒ CỦA NGÂN HÀNG THƯƠNG MẠI TRONG PHÁT TRIỂN TÀI CHÍNH TOÀN DIỆN
1. Vai trò của ngân hàng đối với phát triển tài chính toàn diện
Hiện nay, có rất nhiều nghiên cứu, báo cáo chỉ ra rằng: Ngân hàng đóng vai trò quan
trọng trong phát triển tài chính toàn diện. Một số vai trò nổi bật của ngân hàng trong tài chính toàn diện bao gồm:
●Thứ nhất, cung cấp tài khoản giao dịch cơ bản. Các ngân hàng tạo điều kiện cho
mọi người dễ dàng tiếp cận tài khoản thanh toán với mức phí thấp và thủ tục đơn
giản. Điều này giúp người dân ở khắp các khu vực có cơ hội tiếp cận dịch vụ, quản
lý tài chính cá nhân hiệu quả hơn và tham gia vào nền kinh tế một cách chủ động.
●Thứ hai, phát triển các dịch vụ tài chính dựa trên công nghệ. Nhờ kết hợp với công
nghệ như ngân hàng di động, người dân ở các khu vực không có chi nhánh ngân
hàng vẫn có thể tiếp cận dịch vụ tài chính. Chẳng hạn như, tại Kenya, dịch vụ M-
PESA đã cho phép hàng triệu người dân quản lý tiền qua điện thoại di động, giúp
họ gửi và nhận tiền một cách dễ dàng và an toàn.
●Thứ ba, hỗ trợ thanh toán số. Ngân hàng khuyến khích người dân thanh toán số,
không dùng tiền mặt để giảm chi phí, tăng tính an toàn và tiện lợi trong giao dịch. 7
Ở nhiều quốc gia, các giao dịch kỹ thuật số đã giúp tiết kiệm chi phí vận hành và
nâng cao hiệu quả phân phối phúc lợi xã hội.
●Thứ tư, đưa ra các chính sách tài chính phù hợp. Ngân hàng phối hợp với Chính
phủ để xây dựng các chính sách tài chính phù hợp với nhu cầu của từng nhóm dân
cư, chẳng hạn như ưu đãi tài khoản tiết kiệm cho nhóm thu nhập thấp hoặc cung
cấp tài khoản không yêu cầu số dư tối thiểu. Những chính sách này không chỉ mở
rộng khả năng tiếp cận mà còn thúc đẩy tính bền vững trong tài chính toàn diện.
2. Vai trò của ngân hàng thương mại (NHTM) đối với phát triển tài chính toàn diện tại Việt Nam
NHTM có vai trò rất quan trọng trong phát triển tài chính toàn diện tại Việt Nam, đóng
góp vào việc giảm nghèo và thúc đẩy sự phát triển kinh tế và hỗ trợ các nhóm yếu thế tiếp
cận dịch vụ tài chính. Để đánh giá vai trò của NHTM trong việc phát triển tài chính tại
Việt Nam, nhóm chúng em nhìn nhận dựa trên bốn nhóm tiêu chí: Thứ nhất, phạm vi mở
rộng bao phủ mạng lưới tiếp cận dịch vụ tài chính của hệ thống ngân hàng tại Việt Nam.
Thứ hai, mức độ phát triển xây dựng dịch vụ ngân hàng số. Thứ ba, các chương trình hỗ
trợ tài chính cho các doanh nghiệp nhỏ và vừa. Thứ tư, chính sách khuyến khích tiết kiệm
và phát triển tín dụng bền vững.
2.1. Phạm vi mở rộng bao phủ mạng lưới tiếp cận dịch vụ tài chính của hệ
thống ngân hàng tại Việt Nam
Ngân hàng Nhà nước Việt Nam (NHNN) đã triển khai nhiều chính sách để khuyến khích
các NHTM mở rộng mạng lưới chi nhánh và phòng giao dịch tại các khu vực nông thôn,
vùng sâu vùng xa hỗ trợ người dân tiếp cận các dịch vụ như thanh toán, tiết kiệm, và tín
dụng. Ngoài ra, công nghệ ngân hàng số giúp tiếp cận dịch vụ từ xa, hỗ trợ giao dịch
không dùng tiền mặt, và khuyến khích tiết kiệm thông qua các khoản tín dụng nhỏ.
Tính đến cuối năm 2023, Việt Nam có khoảng 49 ngân hàng, bao gồm NHTM, ngân
hàng liên doanh, chi nhánh ngân hàng nước ngoài, và ngân hàng 100% vốn nước ngoài. 8
Sự đa dạng này giúp người dân có nhiều lựa chọn hơn về dịch vụ tài chính. Cụ thể, các
ngân hàng lớn như Agribank, BIDV và Vietcombank đã nỗ lực mở rộng số lượng chi
nhánh tại các khu vực khó tiếp cận (Agribank có hơn 2,200 chi nhánh trên toàn quốc, đặc
biệt là ở các vùng nông thôn, kém phát triển ).
2.2.Mức độ phát triển xây dựng dịch vụ ngân hàng số
Mức độ phát triển dịch vụ ngân hàng số tại Việt Nam đã đạt được những bước tiến đáng
kể trong những năm gần đây. Hầu hết các ngân hàng đã phát triển hệ sinh thái số đa dạng
với nhiều sản phẩm dịch vụ số đem lại lợi ích và hiệu quả lớn cho cả ngân hàng và khách
hàng. Theo thống kê, nhiều tổ chức tín dụng hiện có tỷ lệ giao dịch qua kênh số vượt quá
90%, tính đến năm 2023, khoảng 70% dân số trưởng thành đã sử dụng dịch vụ ngân hàng
số, cho thấy sự gia tăng mạnh mẽ so với con số 29% vào năm 2018. Các ngân hàng ghi
nhận rằng, việc phát triển hoạt động kinh doanh trên nền tảng số đang có ảnh hưởng tích
cực đến lợi nhuận trong 6 tháng đầu năm. Sự gia tăng sử dụng dịch vụ ngân hàng số
không chỉ nâng cao khả năng tiếp cận dịch vụ tài chính cho các nhóm dân cư khác nhau
mà còn hỗ trợ quá trình chuyển đổi số trong nền kinh tế Việt Nam, góp phần vào mục
tiêu phát triển bền vững và giảm nghèo.
2.3. Các chương trình hỗ trợ tài chính cho các doanh nghiệp nhỏ và vừa
Tại Việt Nam, nhiều chương trình hỗ trợ tài chính đã được triển khai để thúc đẩy sự phát
triển của các doanh nghiệp nhỏ và vừa (DNNVV). Một trong những chương trình quan
trọng là Quỹ Phát triển DNNVV, được thiết lập để cung cấp vốn tín dụng ưu đãi với lãi
suất thấp, giúp các doanh nghiệp này có thể đầu tư vào sản xuất và kinh doanh một cách
hiệu quả hơn. Chương trình này không chỉ giúp giảm áp lực tài chính mà còn tạo điều
kiện cho DNNVV mở rộng quy mô hoạt động.
Ngoài ra, Ngân hàng Chính sách xã hội cũng đóng vai trò quan trọng trong việc hỗ trợ tài
chính cho DNNVV thông qua các gói vay ưu đãi. Đặc biệt, ngân hàng này tập trung vào
việc hỗ trợ các lĩnh vực nông nghiệp, công nghiệp và dịch vụ, giúp các doanh nghiệp dễ 9
dàng tiếp cận nguồn vốn cần thiết để phát triển. Những gói vay này thường có thủ tục đơn
giản, linh hoạt, phù hợp với nhu cầu của các doanh nghiệp nhỏ.
Bên cạnh đó, dịch vụ tài chính vi mô đã trở thành một nguồn tài chính quan trọng cho
nhiều DNNVV khi học có thể dễ dàng tiếp cận vốn mà không phải trải qua quy trình
phức tạp. Theo báo cáo của Bộ Kế hoạch và Đầu tư, các chương trình hỗ trợ tài chính này
đã giúp hàng triệu doanh nghiệp tiếp cận nguồn vốn với tổng giá trị lên đến hàng trăm
triệu USD. Tỷ lệ DNNVV tiếp cận tín dụng cũng đã tăng từ 40% vào năm 2015 lên 60% vào năm 2022.
2.4. Chính sách khuyến khích tiết kiệm và phát triển tín dụng bền vững
Năm 2023, NHNN đã thực hiện nhiều chính sách nhằm khuyến khích tiết kiệm và phát
triển tín dụng bền vững. Một trong những chính sách quan trọng là điều chỉnh lãi suất,
giúp giảm chi phí vay mượn cho doanh nghiệp và cá nhân. Đặc biệt, NHNN đã giảm lãi
suất điều hành 4 lần liên tiếp, với mức giảm tổng cộng từ 0,5-2%/năm, điều này đã góp
phần đáng kể vào việc hạ lãi suất cho vay. NHTM cũng đã cung cấp nhiều sản phẩm tiết
kiệm với lãi suất hấp dẫn, tạo động lực cho người dân gửi tiền vào ngân hàng, góp phần
ổn định nguồn vốn cho nền kinh tế.
Theo số liệu từ Ngân hàng Nhà nước, tính đến tháng 9 năm 2023, tổng dư nợ tín dụng
toàn nền kinh tế ước đạt khoảng 13,5 triệu tỷ đồng, tăng 14% so với cùng kỳ năm trước.
Điều này cho thấy sự hiệu quả của chính sách phát triển tín dụng bền vững trong việc
thúc đẩy hoạt động kinh doanh và đầu tư. Hơn nữa, tỷ lệ nợ xấu đã được duy trì ở mức
khoảng 2,7%, cho thấy khả năng kiểm soát rủi ro trong hoạt động tín dụng vẫn ổn định.
III. TÁC ĐỘNG CỦA XU HƯỚNG PHÁT TRIỂN TÀI CHÍNH TOÀN DIỆN TỚI
HOẠT ĐỘNG KINH DOANH CỦA NGÂN HÀNG VIETCOMBANK
1. Tổng quan về Ngân hàng Vietcombank
Ngân hàng Ngoại thương Việt Nam, hiện nay là Ngân hàng Thương mại Cổ phần Ngoại
thương Việt Nam (Vietcombank) chính thức đi vào hoạt động từ ngày 1/4/1963, là một 10
trong những ngân hàng hàng đầu của Việt Nam, ban đầu trực thuộc Sở Quản lý Ngoại hối
Trung ương, thuộc Ngân hàng Quốc gia Việt Nam.
Qua 60 năm phát triển, Vietcombank đã chuyển từ vai trò chuyên cung cấp dịch vụ tài
chính cho lĩnh vực kinh tế đối ngoại sang thành một ngân hàng đa năng. Hiện tại,
Vietcombank cung cấp các dịch vụ toàn diện trong lĩnh vực tài chính, từ tín dụng, tài trợ
thương mại, huy động vốn, kinh doanh ngoại tệ đến các sản phẩm ngân hàng số hiện đại.
Với cơ sở hạ tầng công nghệ tiên tiến, đặc biệt sau khi hoàn thiện hệ thống Core Banking
vào năm 2020, Vietcombank đã mở rộng mạnh mẽ các dịch vụ số như VCB Digibank,
VCB-iB@nking, VCB CashUp và VCB DigiBiz, đem đến trải nghiệm nhanh chóng, an
toàn và tiện lợi cho khách hàng cá nhân và doanh nghiệp, luôn dẫn đầu trong ngành ngân hàng Việt Nam
2. Tác động của việc phát triển tài chính toàn diện đến hoạt động của ngân hàng Vietcombank
2.1. Những hoạt động kinh doanh của Vietcombank dưới tác động của xu
hướng phát triển tài chính toàn diện
Tài chính toàn diện nhấn mạnh việc cung cấp các dịch vụ tài chính đến mọi tầng lớp xã
hội, đặc biệt là những người chưa có điều kiện tiếp cận dịch vụ tài chính chính thống. Với
xu hướng này, Vietcombank đã có những điều chỉnh và phát triển các hoạt động kinh
doanh nhằm đáp ứng nhu cầu của thị trường mới:
●Phát triển sản phẩm và dịch vụ phù hợp cho các nhóm khách hàng chưa được
phục vụ: Vietcombank tập trung vào việc thiết kế các gói sản phẩm và dịch vụ đơn
giản, dễ tiếp cận cho các khách hàng có thu nhập thấp và sinh sống tại vùng nông
thôn, vùng sâu vùng xa. Các sản phẩm bao gồm tài khoản ngân hàng cơ bản, thẻ
ghi nợ không yêu cầu số dư tối thiểu, và các khoản vay nhỏ với lãi suất ưu đãi.
●Ứng dụng công nghệ tài chính và số hóa dịch vụ: Để mở rộng khả năng tiếp cận
cho khách hàng, Vietcombank đẩy mạnh việc áp dụng công nghệ ngân hàng số,
phát triển các ứng dụng ngân hàng trên điện thoại di động và ví điện tử. Điều này 11
giúp các khách hàng không có điều kiện tiếp cận chi nhánh truyền thống vẫn có
thể sử dụng các dịch vụ ngân hàng như chuyển khoản, thanh toán hóa đơn, gửi tiết kiệm online, v.v.
●Tăng cường hợp tác với các tổ chức phi chính phủ và các đối tác tài chính vi mô:
Vietcombank hợp tác với các tổ chức phi chính phủ (NGO) và tổ chức tài chính vi
mô để tiếp cận sâu hơn vào các cộng đồng yếu thế. Điều này giúp Vietcombank
vừa có thể mở rộng quy mô kinh doanh, vừa có thể thực hiện trách nhiệm xã hội,
đồng thời góp phần thúc đẩy tài chính toàn diện.
●Phát triển các chương trình giáo dục tài chính: Để giúp người dân hiểu biết hơn
về các dịch vụ tài chính, Vietcombank tổ chức các chương trình giáo dục tài chính
tại các địa phương nhằm nâng cao nhận thức và kỹ năng quản lý tài chính cá nhân.
Việc này không chỉ nâng cao sự hiểu biết của khách hàng mà còn giúp tăng tỷ lệ
sử dụng dịch vụ tài chính.
2.2. Tác động tích cực
Việc phát triển tài chính toàn diện mang lại nhiều lợi ích cho Vietcombank, đặc biệt là
trong việc nâng cao hiệu quả kinh doanh và hình ảnh thương hiệu:
●Mở rộng quy mô khách hàng và gia tăng doanh thu: Khi tiếp cận được các khách
hàng chưa được phục vụ, Vietcombank có thể tăng lượng khách hàng tiềm năng,
mở rộng thị phần và gia tăng doanh thu từ các dịch vụ ngân hàng cơ bản. Ngoài ra,
việc phục vụ các đối tượng này có thể tạo ra sự gắn bó lâu dài với ngân hàng, giúp
duy trì nguồn thu ổn định trong tương lai.
●Tăng cường uy tín và cải thiện hình ảnh thương hiệu: Tham gia vào tài chính toàn
diện giúp Vietcombank xây dựng hình ảnh là một ngân hàng có trách nhiệm với xã
hội, chú trọng đến việc phát triển cộng đồng. Qua đó, không chỉ thu hút sự quan
tâm của các nhà đầu tư mà còn giúp ngân hàng tạo dựng lòng tin từ phía khách hàng và xã hội. 12
●Đa dạng hóa danh mục sản phẩm và dịch vụ, giảm rủi ro hệ thống: Khi mở rộng
đến các nhóm khách hàng mới, Vietcombank giảm sự phụ thuộc vào một số phân
khúc khách hàng chính. Điều này giúp giảm thiểu rủi ro khi một nhóm khách hàng
gặp khó khăn kinh tế, đồng thời tạo điều kiện để ngân hàng phát triển ổn định
trong các điều kiện thị trường khác nhau.
●Thúc đẩy đổi mới sáng tạo trong dịch vụ tài chính: Tài chính toàn diện đòi hỏi các
ngân hàng phải đưa ra các giải pháp sáng tạo nhằm đáp ứng nhu cầu đa dạng của
các đối tượng khách hàng. Việc đầu tư vào công nghệ và ứng dụng Fintech giúp
Vietcombank gia tăng năng lực cạnh tranh, đồng thời mở ra cơ hội để ngân hàng
tích hợp các dịch vụ thông minh vào quá trình cung cấp sản phẩm.
2.3. Tác động tiêu cực
Bên cạnh những lợi ích, xu hướng tài chính toàn diện cũng đặt ra không ít thách thức và
tác động tiêu cực đối với hoạt động kinh doanh của Vietcombank:
●Tăng chi phí vận hành và đầu tư công nghệ: Việc triển khai các dịch vụ tài chính
đến các vùng nông thôn hoặc đối tượng chưa được phục vụ đòi hỏi Vietcombank
phải đầu tư lớn vào cơ sở hạ tầng, công nghệ, nhân sự, chi phí cho các chương
trình giáo dục tài chính, ảnh hưởng đến chi phí hoạt động và lợi nhuận của ngân hàng trong ngắn hạn.
●Gia tăng rủi ro tín dụng và nợ xấu: Nhóm khách hàng chưa được phục vụ thường
là các khách hàng có thu nhập thấp và ít kinh nghiệm về tài chính, dẫn đến khả
năng hoàn trả nợ thấp hơn. Điều này có thể làm gia tăng rủi ro tín dụng và tỷ lệ nợ
xấu cho ngân hàng, gây ảnh hưởng đến chất lượng tài sản và tăng thêm gánh nặng quản lý rủi ro.
●Khó khăn trong việc quản lý rủi ro và kiểm soát gian lận: Việc phục vụ các nhóm
khách hàng yếu thế, không có hoặc ít hồ sơ tín dụng, đặt ra thách thức lớn trong
việc đánh giá rủi ro và đảm bảo các khoản vay được quản lý hiệu quả. Bên cạnh 13
đó, việc triển khai các dịch vụ ngân hàng số mở rộng cũng làm tăng nguy cơ gian
lận và an ninh mạng, đòi hỏi ngân hàng phải tăng cường các biện pháp bảo mật.
●Áp lực cạnh tranh từ các công ty Fintech và tổ chức tài chính phi ngân hàng: Xu
hướng tài chính toàn diện không chỉ thu hút các ngân hàng mà còn tạo điều kiện
cho các công ty Fintech và các tổ chức tài chính phi ngân hàng phát triển. Những
tổ chức này thường có khả năng cung cấp dịch vụ tài chính đơn giản, chi phí thấp
và dễ dàng tiếp cận hơn so với các ngân hàng truyền thống. Điều này tạo ra áp lực
cạnh tranh lớn đối với Vietcombank trong việc giữ vững thị phần và thu hút khách hàng.
Như vậy, xu hướng tài chính toàn diện mang lại cả cơ hội và thách thức cho
Vietcombank. Để tận dụng tốt cơ hội này, Vietcombank cần có chiến lược phát triển dịch
vụ đa dạng, tập trung vào việc tối ưu hóa các sản phẩm và dịch vụ phù hợp với từng
nhóm khách hàng, đồng thời đầu tư vào công nghệ để đảm bảo chất lượng và tính an toàn
trong giao dịch. Các nỗ lực này không chỉ giúp Vietcombank phát triển bền vững mà còn
khẳng định vị thế của ngân hàng trong việc thúc đẩy sự phát triển tài chính toàn diện, góp
phần vào sự phát triển chung của xã hội và nền kinh tế.
3. Đề xuất giải pháp cho Vietcombank để thích ứng với những ảnh hưởng của
xu hướng phát triển tài chính toàn diện tới hoạt động kinh doanh của ngân hàng
Để Vietcombank tận dụng tối đa các cơ hội và vượt qua thách thức từ xu hướng phát triển
tài chính toàn diện, một số giải pháp có thể được thực hiện bao gồm:
3.1. Tăng cường ứng dụng công nghệ số và phát triển sản phẩm mới
●Đẩy mạnh chuyển đổi số: Vietcombank cần đầu tư mạnh mẽ vào công nghệ số,
phát triển các nền tảng ngân hàng số, ứng dụng ngân hàng di động, ví điện tử,....
Điều này giúp giảm chi phí, nâng cao trải nghiệm khách hàng và dễ dàng mở rộng
dịch vụ đến các vùng xa. 14
●Phát triển sản phẩm tài chính vi mô và tiết kiệm nhỏ: Tạo ra các sản phẩm tài
chính như tài khoản tiết kiệm nhỏ, khoản vay vi mô, và các gói tín dụng ưu đãi
cho đối tượng khách hàng có thu nhập thấp, doanh nghiệp vừa và nhỏ, giúp họ dễ
dàng tiếp cận dịch vụ tài chính và tín dụng.
3.2. Xây dựng hệ thống quản lý rủi ro hiện đại và hiệu quả
●Áp dụng phân tích dữ liệu và trí tuệ nhân tạo: Sử dụng dữ liệu lớn (Big data) và trí
tuệ nhân tạo (AI) để đánh giá khả năng tín dụng và quản lý rủi ro. Những công
nghệ này giúp đánh giá chính xác hơn về khả năng chi trả của khách hàng, đặc biệt
là những khách hàng mới hoặc ít có lịch sử tín dụng.
●Phát triển mô hình quản lý rủi ro linh hoạt: Để hạn chế nguy cơ nợ xấu từ nhóm
khách hàng có thu nhập thấp và khách hàng nhỏ lẻ, ngân hàng cần xây dựng các
mô hình rủi ro phù hợp, đảm bảo các khoản vay vi mô được quản lý chặt chẽ.
3.3. Mở rộng mạng lưới và phát triển kênh phân phối linh hoạt
●Phát triển ngân hàng đại lý và hợp tác với các doanh nghiệp Fintech:
Vietcombank có thể hợp tác với các tổ chức tài chính phi ngân hàng, công ty
Fintech để tận dụng kênh phân phối mới, đưa dịch vụ ngân hàng đến gần hơn với
người dân. Ngân hàng đại lý giúp giảm chi phí vận hành và tạo cơ hội mở rộng
dịch vụ tới các vùng nông thôn, vùng sâu vùng xa.
●Phát triển dịch vụ ngân hàng không chi nhánh (branchless banking): Xây dựng
các sản phẩm và dịch vụ dựa trên nền tảng di động và trực tuyến giúp khách hàng
tiếp cận dịch vụ mà không cần đến chi nhánh vật lý, giảm bớt chi phí vận hành và tối ưu hóa dịch vụ.
3.4. Đẩy mạnh hoạt động giáo dục và truyền thông tài chính
●Tổ chức các chương trình giáo dục tài chính cộng đồng: Cung cấp thông tin, nâng
cao kiến thức tài chính cho người dân và các doanh nghiệp nhỏ thông qua hội
thảo, khóa đào tạo,... Điều này giúp khách hàng hiểu rõ hơn về lợi ích của các dịch
vụ tài chính và biết cách sử dụng chúng an toàn, hiệu quả. 15
●Phát triển chiến dịch truyền thông hướng đến cộng đồng: Để xây dựng niềm tin và
tiếp cận khách hàng mới, Vietcombank có thể tổ chức các chương trình truyền
thông hướng đến các cộng đồng chưa tiếp cận nhiều với dịch vụ ngân hàng, đặc
biệt ở các khu vực nông thôn.
3.5. Đổi mới mô hình dịch vụ và nâng cao trải nghiệm khách hàng
●Cá nhân hóa dịch vụ: Sử dụng phân tích dữ liệu khách hàng để đưa ra các sản
phẩm và dịch vụ cá nhân hóa, phù hợp với nhu cầu và thói quen của từng nhóm khách hàng.
●Phát triển dịch vụ khách hàng đa kênh: Đảm bảo khách hàng có thể dễ dàng liên
hệ và nhận hỗ trợ từ Vietcombank qua nhiều kênh như điện thoại, email, website,
ứng dụng di động, và các trang mạng xã hội, tạo sự thuận tiện và nhanh chóng trong hỗ trợ khách hàng.
3.6. Đảm bảo tuân thủ quy định và tăng cường quản lý tuân thủ
●Nâng cao công tác tuân thủ: Đảm bảo tất cả các dịch vụ mới đều đáp ứng các quy
định của Ngân hàng Nhà nước và các tiêu chuẩn an toàn tài chính. Điều này giúp
bảo vệ quyền lợi của khách hàng và giữ vững uy tín của ngân hàng.
●Đào tạo nhân viên về các chính sách IF: Để đảm bảo sự thống nhất trong việc
cung cấp dịch vụ và đáp ứng các tiêu chuẩn quản lý, Vietcombank cần đào tạo và
nâng cao năng lực của nhân viên về kiến thức tài chính toàn diện và các quy định mới của ngành.
3.7. Thực hiện trách nhiệm xã hội và phát triển bền vững
●Gắn IF với các mục tiêu phát triển bền vững: Phát triển các sản phẩm và dịch vụ
tài chính thân thiện với môi trường và mang tính xã hội, đặc biệt là các khoản tín
dụng xanh và các chương trình hỗ trợ kinh tế bền vững. Điều này vừa đóng góp
cho sự phát triển kinh tế vừa tạo dựng hình ảnh ngân hàng thân thiện và bền vững. 16
●Khuyến khích hoạt động tài trợ và hợp tác cộng đồng: Đầu tư vào các dự án cộng
đồng và tổ chức tài chính, giúp cải thiện điều kiện kinh tế cho nhóm đối tượng khó
khăn, từ đó tạo động lực phát triển toàn diện và bền vững cho cộng đồng.
Những giải pháp này sẽ giúp Vietcombank không chỉ tăng trưởng ổn định mà còn trở
thành một ngân hàng đi đầu trong việc cung cấp các dịch vụ tài chính toàn diện, đáp ứng
nhu cầu của một thị trường đang phát triển nhanh và ngày càng đa dạng. 17 KẾT LUẬN
Qua chủ đề nghiên cứu của chúng em, có thể thấy xu thế phát triển tài chính toàn diện
đang rất được quan tâm và được Chính phủ các nước đưa ra nhiều chính sách, mục tiêu
để thực hiện. Đồng thời ta cũng có thể thấy rõ hơn về vai trò của các ngân hàng thương
mại trong việc hỗ trợ phát triển tài chính toàn diện, đặc biệt là khi nền kinh tế dần ổn định
nhưng gặp không ít thách thức từ thị trường, tác động của biến đổi khí hậu,... Ngân hàng
thương mại thông qua việc hỗ trợ doanh nghiệp thực hiện các hoạt động kinh doanh, vừa
có thể tiếp cận đến mọi chủ thể kinh tế, vừa ứng dụng được chuyển đổi số nhằm giảm
thiểu tác động tiêu cực đến môi trường, kinh tế và xã hội. Qua đó, nhóm đã ứng dụng để
phân tích tác động của xu hướng phát triển tài chính toàn diện tới hoạt động kinh doanh của Ngân hàng Vietcombank. 18 TÀI LIỆU THAM KHẢO
1. Giáo trình môn Ngân hàng thương mại (Học viện Ngân Hàng), các tài liệu liên
quan đến môn học, tài liệu tham khảo của các anh chị khóa trên.
2. Ngân hàng TMCP Ngoại thương Việt Nam (Vietcombank). (2023, April 1). Quá
trình hình thành và phát triển. Vietcombank. Retrieved November 2, 2024, from portal.vietcombank.com.vn
3. Nguyễn Minh (Ngân Hàng Nhà Nước Việt Nam). (2024, 08 13). Ngân hàng tiếp
tục đẩy mạnh hệ sinh thái số. www.sbv.gov.vn. Retrieved 11 2, 2024, from
https://www.sbv.gov.vn/webcenter/portal/vi/menu/sm/chitiet/inbaiviet?
centerWidth=100%25&dDocName=SBV612213&leftWidth=0%25&pageTemplat
e=%2Foracle%2Fwebcenter%2Fsiteresources%2FscopedMD
%2Fs8bba98ff_4cbb_40b8_beee_296c916a23ed%2FsiteTemplate %2Fgsreb7f299f_0d8
4. Nguyễn Thị Như Quỳnh Khoa Tài chính ( Trường ĐH Ngân hàng TP. HCM ).
(2019, 09 18). Tiếp cận tài chính toàn diện tại Việt Nam. hvnh.edu.vn. Retrieved 11 02, 2024, from
https://hvnh.edu.vn/medias/tapchi/vi/04.2021/system/archivedate/023956ed_Bài
%20của%20Tác%20giả%20Nguyễn%20Thị%20Như%20Quỳnh.pdf
5. Nguyễn Thùy Dương, Nguyễn Thị Thu Trang ( Khoa Ngân Hàng, Học viện Ngân
Hàng ). (2019, 12 20). Vai trò của ngân hàng trong phát triển tài chính toàn diện
tại Việt Nam: Thực trạng và khuyến nghị. Vietnam Journals Online. Retrieved November 2, 2024, from
https://vjol.info.vn/index.php/HVNH-KHDAOTAONH/article/download/72357/6 1347/
6. PGS., TS. Lê Thị Diệu Huyền - Học viện Ngân hàng. (2021, September 20). Phát
triển tài chính toàn diện hướng tới ổn định tài chính tại Việt Nam.
tapchinganhang.gov.vn. Retrieved November 2, 2024, from
https://tapchinganhang.gov.vn/phat-trien-tai-chinh-toan-dien-huong-toi-on-dinh- tai-chinh-tai-viet-nam.htm 19