













Preview text:
Trang 1
Bài tập mẫu Thống kê
Trường hợp kích thước mẫu lớn
Lượng hao phí xăng (lít) trên quãng đường 100km của một loại xe máy của công ty A,
công ty B là các biến ngẫu nhiên có phân phối chuẩn và độc lập nhau. Khảo sát ngẫu
nhiên một số xe máy của công ty A trên quãng đường 100km ta được kết quả sau
Hao phí [2,95;3) [3;3,05) [3,05;3,1) [3,1;3,15) [3,15;3,2) [3,2;3,25) Số xe 13 23 34 52 28 10
Câu 1.1. Tìm khoảng tin cậy 95% cho hao phí xăng trung bình của loại xe này của
công ty A trên quãng đường 1000km. Giải
Gọi (lít) là lượng hao phí xăng trung bình của loại xe này của công ty A trên quãng đường 100km. n 160; x 3,1028; s 0, 0663 . 1 1 0, 95 (z ) 0, 475 z 1, 96 . 2 2 2 s 0, 0663 z . 1, 96. 0, 0103 . n 160 2 (x ; x ) (3, 0925;3,1131) 10. (30,925;31,131)
Câu 1.2. Tìm khoảng tin cậy 95% cho hao phí xăng trung bình tối đa của loại xe này
của công ty A trên quãng đường 100km. Giải
Gọi (lít) là lượng hao phí xăng trung bình của loại xe này của công ty A trên quãng đường 100km. n 160; x 3,1028; s 0, 0663 . 1 0,95 (z ) 0,5 0, 45 z 1, 645 . s 0, 0663 z . 1, 645. 0, 0086 . n 160 ( ; x ) ( ;3,1114) HUB-BMTKT-NNP Trang 2
Câu 1.3. Tìm khoảng tin cậy 95% cho hao phí xăng trung bình tối thiểu của loại xe
này của công ty A trên quãng đường 100km. Giải
Gọi (lít) là lượng hao phí xăng trung bình của loại xe này của công ty A trên quãng đường 100km. n 160; x 3,1028; s 0, 0663 . 1 0,95 (z ) 0,5 0, 45 z 1, 645 . s 0, 0663 z . 1, 645. 0, 0086 . n 160 (x ; ) (3, 0942; )
Câu 2. Để đảm bảo độ chính xác 0,01 lít cho phép ước lượng hao phí xăng trung bình
của loại xe này của công ty A trên quãng đường 100km với độ tin cậy 99%, thì cần
khảo sát thêm ít nhất bao nhiêu xe nữa? Giải Mẫu hiện thời: n 160; s 0, 0663 . 1 1 0,99 (z ) 0, 495 z 2,58 . 2 2 2 s s s 2 z . n z . n (z . ) 0 0 n 2 2 0 2 0 0, 0663 2 n (2,58. ) n 292, 6 n 293 . 0, 01
Vậy: Cần khảo sát thêm ít nhất 293–160=133 xe nữa.
Câu 3. Cho biết phép ước lượng hao phí xăng trung bình của loại xe này của công ty
A trên quãng đường 100km từ mẫu trên đạt độ chính xác là 0,012 lít. Hãy cho biết độ
tin cậy của phép ước lượng này. Giải n 160; s 0, 0663 . s n 160 z . z 0, 012. 2, 2894 . 0 0 0 n s 0, 0663 2 2 1 2 (z ) 2 (2, 2894) 2.0, 48897 0,97794 97, 794% . 2 HUB-BMTKT-NNP Trang 3
Câu 4. Tìm khoảng tin cậy 95% cho số xe loại này của công ty A có lượng hao phí
xăng ít nhất 3,1 lít trên quãng đường 100km. Biết rằng công ty này đã sản xuất 10.000 xe loại này. Giải
Gọi p là tỉ lệ xe loại này của công ty A có lượng hao phí xăng ít nhất 3,1 lít trên quãng đường 100km. 52 28 10 90 n 160; f 0, 5625 . 160 160 1 1 0, 95 (z ) 0, 475 z 1, 96 . 2 2 2 f (1 f ) 0,5625(1 0,5625) z . 1,96. 0, 0769 . n 160 2 p (f ;f ) (0, 4856;0, 6394) . 10000p (4856;6394) (xe).
Câu 5. Cho biết phép ước lượng tỉ lệ xe máy loại này của công ty A có hao phí xăng
ít nhất 3,1 lít trên quãng đường 100km từ mẫu trên đạt độ chính xác là 10%. Hãy tính
độ tin cậy của phép ước lượng trên. Giải 52 28 10 90 n 160; f 0, 5625 . 160 160 f (1 f ) n 160 z . z 0,1. 2,5498 . 0 0 0 n f (1 f ) 0,5625(1 0,5625) 2 2 1 2 (z ) 2 (2,5498) 2.0, 49461 0,98922 98,922% . 2
Câu 6. Để đảm bảo độ chính xác 5% cho phép ước lượng tỉ lệ xe máy loại này của
công ty A có hao phí xăng ít nhất 3,1 lít trên quãng đường 100km, với độ tin cậy 95%,
thì cần khảo sát ít nhất bao nhiêu xe? Giải 52 28 10 90 Mẫu hiện thời: n 160; f 0, 5625 . 160 160 1 1 0, 95 (z ) 0, 475 z 1, 96 . 2 2 2 HUB-BMTKT-NNP Trang 4 f (1 f ) f (1 f ) z /2 2 z . n z . n ( ) f (1 f ) 0 0 n 2 2 0 0 1,96 2 n ( ) .0,5625.(1 0,5625) n 378, 2 n 379 . 0, 05
Vậy: Cần phải khảo sát ít nhất 379 xe.
Câu 7. Tìm khoảng tin cậy 95% cho độ phân tán (phương sai) hao phí xăng trên
quãng đường 100km của loại xe máy này của công ty A. Giải
Gọi 2 là phương sai hao phí xăng của loại xe máy này của công ty A trên quãng đường 100km (lít2) . n 160; s 0, 0663 . 1 0,95 0, 05 2 2 2 2 (n 1) (159) 195,805; (n 1) (159) 125,980 . /2 0,025 1 /2 0,975 2 2 2 2 (n 1)s (n 1)s 159.0, 0663 159.0, 0663 2 ( ; ) ( ; ) (0, 003569;0, 005548) 2 2 (n 1) (n 1) 195,805 125,980 /2 1 /2
Câu 8.1. Có ý kiến cho rằng hao phí xăng trung bình của loại xe máy này của công ty
A trên quãng đường 100km là 3,12 lít. Với mức ý nghĩa 5%, hãy cho nhận xét về ý kiến trên. Giải
Gọi (lít) là hao phí xăng trung bình của loại xe máy này của công ty A trên quãng đường 100km. H : , H : , với 3,12 . 0 0 1 0 0 0, 05 (z ) 0,5 / 2 0, 475 z 1,96 . /2 /2 x 3,1028 3,12 0 z n 160 3, 2815 . s 0, 0663 với n 160; x 3,1028; s 0, 0663 . z z > Bác bỏ H /2 0.
Vậy: Với mức ý nghĩa 5%, có cơ sở để bác bỏ ý kiến trên. HUB-BMTKT-NNP Trang 5
Câu 8.2. Có ý kiến cho rằng hao phí xăng trung bình của loại xe máy này của công ty
A trên quãng đường 100km là 3,12 lít. Với mức ý nghĩa 1%, hãy cho biết ý kiến trên
phát biểu có vượt quá giá trị thực tế hay không? Giải
Gọi (lít) là hao phí xăng trung bình của loại xe máy này của công ty A trên quãng đường 100km. H : , H : , với 3,12 . 0 0 1 0 0 0, 01 (z ) 0,5 0, 49 z 2,33 . x 3,1028 3,12 0 z n 160 3, 2815 . s 0, 0663 với n 160; x 3,1028; s 0, 0663 . z z Bác bỏ H0.
Vậy: Với mức ý nghĩa 1%, có cơ sở để cho rằng ý kiến trên phát biểu vượt quá giá trị thực tế.
Câu 8.3. Có ý kiến cho rằng hao phí xăng trung bình của loại xe máy này của công ty
A trên quãng đường 100km là 3 lít. Với mức ý nghĩa 1%, hãy cho biết ý kiến trên phát
biểu có thấp hơn giá trị thực tế hay không? Giải
Gọi (lít) là hao phí xăng trung bình của loại xe máy này của công ty A trên quãng đường 100km. H : , H : , với 3 . 0 0 1 0 0 0, 01 (z ) 0,5 0, 49 z 2,33 . x 3,1028 3 0 z n 160 19, 61. s 0, 0663 với n 160; x 3,1028; s 0, 0663 . z>z Bác bỏ H0.
Vậy: Với mức ý nghĩa 1%, có cơ sở để cho rằng ý kiến trên phát biểu thấp hơn giá trị thực tế. HUB-BMTKT-NNP Trang 6
Câu 9.1. Có ý kiến cho rằng tỉ lệ xe máy loại này của công ty A có hao phí xăng ít
nhất 3,1 lít trên quãng đường 100km là 50%. Với mức ý nghĩa 5%, hãy cho nhận xét về ý kiến trên. Giải
Gọi p là tỉ lệ xe máy loại này của công ty A có hao phí xăng ít nhất 3,1 lít trên quãng đường 100km. 52 28 10 90 n 160; f 0, 5625 . 160 160 H : p p , H :p p , với p 50% 0,5 . 0 0 1 0 0 0, 05 (z ) 0,5 / 2 0, 475 z 1,96 . /2 /2 f p 0,5625 0,5 0 z n 160 1,5811. p (1 p ) 0,5(1 0,5) 0 0 z z
Chưa có cơ sở để bác bỏ H /2 0.
Vậy: Với mức ý nghĩa 5%, chưa có cơ sở để bác bỏ ý kiến trên.
Câu 9.2. Có ý kiến cho rằng tỉ lệ xe máy loại này của công ty A có hao phí xăng ít
nhất 3,1 lít trên quãng đường 100km là 50%. Với mức ý nghĩa 1%, hãy cho biết ý
kiến trên phát biểu có thấp hơn giá trị thực hay không? Giải
Gọi p là tỉ lệ xe máy loại này của công ty A có hao phí xăng ít nhất 3,1 lít trên quãng đường 100km. 52 28 10 90 n 160; f 0, 5625 . 160 160 H : p p , H :p p , với p 50% 0,5 . 0 0 1 0 0 0, 01 (z ) 0,5 0, 49 z 2,33 . f p 0,5625 0,5 0 z n 160 1,5811. p (1 p ) 0,5(1 0,5) 0 0 z z
Chưa có cơ sở để bác bỏ H0.
Vậy: Với mức ý nghĩa 1%, chưa có cơ sở để cho rằng ý kiến trên phát biểu thấp hơn giá trị thực. HUB-BMTKT-NNP Trang 7
Câu 9.3. Có ý kiến cho rằng tỉ lệ xe máy loại này của công ty A có hao phí xăng ít
nhất 3,1 lít trên quãng đường 100km là 60%. Với mức ý nghĩa 1%, hãy cho biết ý
kiến trên phát biểu có cao hơn giá trị thực hay không? Giải
Gọi p là tỉ lệ xe máy loại này của công ty A có hao phí xăng ít nhất 3,1 lít trên quãng đường 100km. 52 28 10 90 n 160; f 0, 5625 . 160 160 H : p p , H :p p , với p 60% 0, 6 . 0 0 1 0 0 0, 01 (z ) 0,5 0, 49 z 2,33 . f p 0,5625 0, 6 0 z n 160 0,968 . p (1 p ) 0, 6(1 0, 6) 0 0 z> z
Chưa có cơ sở để bác bỏ H0.
Vậy: Với mức ý nghĩa 1%, chưa có cơ sở để cho rằng ý kiến trên phát biểu cao hơn giá trị thực.
Câu 10.1. Có ý kiến cho rằng phương sai về hao phí xăng của loại xe máy này của
công ty A không thay đổi so với trước đây. Với mức ý nghĩa 5% hãy cho nhận xét về
ý kiến trên, biết rằng trước đây độ lệch chuẩn về hao phí xăng trên quãng đường
100km của loại xe máy này của công ty A là 0,0521 lít. Giải
Gọi 2 (lít2) là phương sai hao phí xăng của loại xe máy này của công ty A trên quãng đường 100km. n 160; s 0, 0663 . 2 2 2 2 H : , H : , với 2 2 0, 0521 . 0 0 1 0 0 2 2 0, 05 (n 1) (159) 195,805 /2 0,025 . 2 2 (n 1) (159) 125,980 1 /2 0,975 2 2 (n 1)s 159.0, 0663 2 257, 4831. 2 2 0, 0521 0 2 195,805 Bác bỏ H0.
Vậy: Với mức ý nghĩa 5%, có cơ sở để cho rằng phương sai về hao phí xăng của loại
xe máy này của công ty A đã thay đổi so với trước đây. HUB-BMTKT-NNP Trang 8
Câu 10.2. Có ý kiến cho rằng độ đồng đều (tỉ lệ nghịch với phương sai) về hao phí
xăng của loại xe máy này của công ty A đã giảm so với trước đây. Với mức ý nghĩa 5%
hãy cho nhận xét về ý kiến trên, biết rằng trước đây độ lệch chuẩn về hao phí xăng
trên quãng đường 100km của loại xe máy này của công ty A là 0,0521 lít. Giải
Gọi 2 (lít2) là phương sai hao phí xăng của loại xe máy này của công ty A trên quãng đường 100km. n 160; s 0, 0663 . 2 2 2 2 H : , H : , với 2 2 0, 0521 . 0 0 1 0 0 2 2 0,05 (n 1) (159) 189,824 . 0,05 2 2 (n 1)s 159.0, 0663 2 257, 4831. 2 2 0, 0521 0 2 2 (n 1) Bác bỏ H0.
Vậy: Với mức ý nghĩa 5%, có cơ sở để cho rằng độ đồng đều về hao phí xăng của loại
xe máy này của công ty A đã giảm so với trước đây.
Câu 10.3. Có ý kiến cho rằng phương sai về hao phí xăng của loại xe máy này của
công ty A đã giảm so với trước đây. Với mức ý nghĩa 5% hãy cho nhận xét về ý kiến
trên, biết rằng trước đây độ lệch chuẩn về hao phí xăng trên quãng đường 100km của
loại xe máy này của công ty A là 0,0521 lít. Giải
Gọi 2 (lít2) là phương sai hao phí xăng của loại xe máy này của công ty A trên quãng đường 100km. n 160; s 0, 0663 . 2 2 2 2 H : , H : , với 2 2 0, 0521 . 0 0 1 0 0 2 2 0,05 (n 1) (159) 130,848. 1 0,95 2 2 (n 1)s 159.0, 0663 2 257, 4831. 2 2 0, 0521 0 2 2 (n 1)
Chưa có cơ sở để bác bỏ H 1 0.
Vậy: Với mức ý nghĩa 5%, chưa có cơ sở để cho rằng phương sai về hao phí xăng của
loại xe máy này của công ty A đã giảm so với trước đây. HUB-BMTKT-NNP Trang 9
Câu 11.1. Khảo sát hao phí xăng của 150 xe máy cùng loại của công ty B trên quãng
đường 100km, ta được hao phí xăng trung bình là 3,0754 lít và độ lệch chuẩn là
0,0732 lít. Với mức ý nghĩa 5%, có thể cho rằng xe máy cùng loại của công ty A và
công ty B có hao phí xăng khác nhau hay không? Giải Gọi ,
(lít) lần lượt là hao phí xăng trung bình của loại xe máy này của công ty A, 1 2 công ty B. n 160; x 3,1028; s 0,0663 , n 150; x 3,0754; s 0,0732 . 1 1 1 2 2 2 H : , H : . 0 1 2 1 1 2 0, 05 (z ) 0,5 / 2 0, 475 z 1,96 . /2 /2 x x 3,1028 3, 0754 1 2 z 3, 4468 . 2 2 2 2 s s 0, 0663 0, 0732 1 2 n n 160 150 1 2 z z Bác bỏ H /2 0.
Vậy: Với mức ý nghĩa 5%, có cơ sở để cho rằng xe máy cùng loại của công ty A và
công ty B có hao phí xăng khác nhau.
Câu 11.2. Khảo sát hao phí xăng của 150 xe máy cùng loại của công ty B trên quãng
đường 100km, ta được hao phí xăng trung bình là 3,0754 lít và độ lệch chuẩn là
0,0732 lít. Với mức ý nghĩa 2%, có thể cho rằng xe máy cùng loại của công ty A hao
phí xăng nhiều hơn so với xe máy công ty B hay không? Giải Gọi ,
(lít) lần lượt là hao phí xăng trung bình của loại xe máy này của công ty A, 1 2 công ty B. n 160; x 3,1028; s 0,0663 , n 150; x 3,0754; s 0,0732 . 1 1 1 2 2 2 H : , H : . 0 1 2 1 1 2 0, 02 (z ) 0,5 0, 48 z 2, 05 . x x 3,1028 3, 0754 1 2 z 3, 4468 . 2 2 2 2 s s 0, 0663 0, 0732 1 2 n n 160 150 1 2 z z Bác bỏ H0. HUB-BMTKT-NNP Trang 10
Vậy: Với mức ý nghĩa 2%, có cơ sở để cho rằng xe máy cùng loại của công ty A hao
phí xăng nhiều hơn so với xe máy công ty B.
Câu 11.3. Khảo sát hao phí xăng của 150 xe máy cùng loại của công ty B trên quãng
đường 100km, ta được hao phí xăng trung bình là 3,2754 lít và độ lệch chuẩn là
0,0732 lít. Với mức ý nghĩa 2%, có thể cho rằng xe máy cùng loại của công ty A ít
hao phí xăng hơn so với xe máy công ty B hay không? Giải Gọi ,
(lít) lần lượt là hao phí xăng trung bình của loại xe máy này của công ty A, 1 2 công ty B. n 160; x 3,1028; s 0,0663 , n 150; x 3, 2754; s 0,0732 . 1 1 1 2 2 2 H : , H : . 0 1 2 1 1 2 0, 02 (z ) 0,5 0, 48 z 2, 05 . x x 3,1028 3, 2754 1 2 z 21, 71 . 2 2 2 2 s s 0, 0663 0, 0732 1 2 n n 160 150 1 2 z z Bác bỏ H0.
Vậy: Với mức ý nghĩa 2%, có cơ sở để cho rằng xe máy cùng loại của công ty A hao
phí xăng ít hơn so với xe máy công ty B.
Câu 12.1. Khảo sát hao phí xăng của 150 xe máy cùng loại của công ty B trên quãng
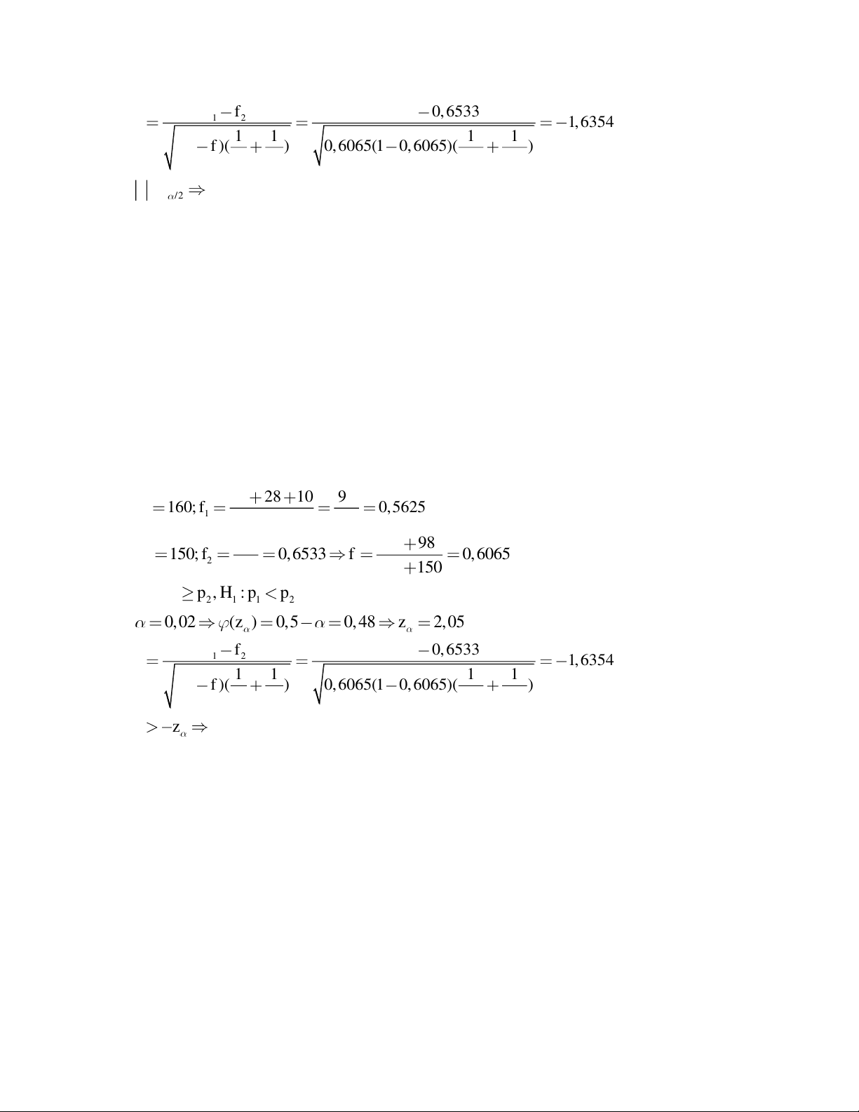
đường 100km, ta thấy có 98 xe có hao phí ít nhất 3,1 lít. Với mức ý nghĩa 5%, có thể
cho rằng tỉ lệ xe máy loại này có hao phí xăng ít nhất 3,1 lít trên quãng đường 100km
của công ty A và công ty B khác nhau hay không? Giải Gọi p , p
lần lượt là tỉ lệ xe máy loại này có hao phí ít nhất 3,1 lít trên quãng đường 1 2
100km của công ty A, công ty B. 52 28 10 90 n 160; f 0,5625 , 1 1 160 160 98 90 98 n 150; f 0, 6533 f 0, 6065 . 2 2 150 160 150 H : p p , H : p p 0 1 2 1 1 2 0, 05 (z ) 0,5 / 2 0, 475 z 1,96 . /2 /2 HUB-BMTKT-NNP Trang 11 f f 0, 5625 0, 6533 1 2 z 1, 6354 . 1 1 1 1 f (1 f )( ) 0, 6065(1 0, 6065)( ) n n 160 150 1 2 z z <
Chưa có cơ sở để bác bỏ H /2 0.
Vậy: Với mức ý nghĩa 5%, chưa có cơ sở để cho rằng tỉ lệ xe máy loại này có hao phí
xăng ít nhất 3,1 lít trên quãng đường 100km của công ty A và công ty B là khác nhau.
Câu 12.2. Khảo sát hao phí xăng của 150 xe máy cùng loại của công ty B trên quãng
đường 100km, ta thấy có 98 xe có hao phí ít nhất 3,1 lít. Với mức ý nghĩa 2%, có thể
cho rằng tỉ lệ xe máy loại này có hao phí xăng ít nhất 3,1 lít trên quãng đường 100km
của công ty A thấp hơn so với công ty B hay không? Giải Gọi p , p
lần lượt là tỉ lệ xe máy loại này có hao phí ít nhất 3,1 lít trên quãng đường 1 2
100km của công ty A, công ty B. 52 28 10 90 n 160; f 0,5625 , 1 1 160 160 98 90 98 n 150; f 0, 6533 f 0, 6065 . 2 2 150 160 150 H : p p , H : p p . 0 1 2 1 1 2 0, 02 (z ) 0,5 0, 48 z 2, 05 . f f 0, 5625 0, 6533 1 2 z 1, 6354 . 1 1 1 1 f (1 f )( ) 0, 6065(1 0, 6065)( ) n n 160 150 1 2 z z
Chưa có cơ sở để bác bỏ H0.
Vậy: Với mức ý nghĩa 2%, chưa có cơ sở để cho rằng tỉ lệ xe máy loại này có hao phí
xăng ít nhất 3,1 lít trên quãng đường 100km của công ty A là thấp hơn so với công ty B.
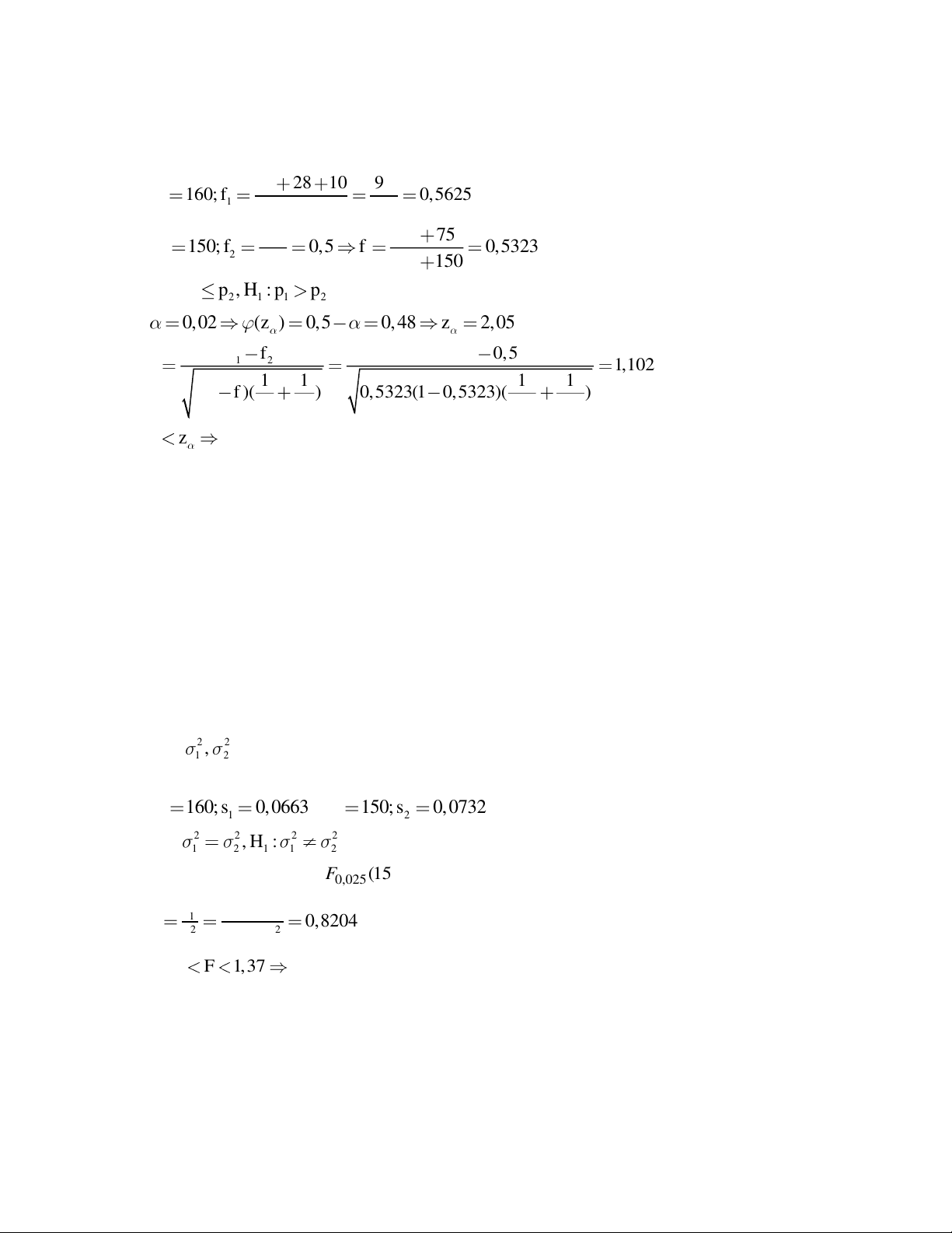
Câu 12.3. Khảo sát hao phí xăng của 150 xe máy cùng loại của công ty B trên quãng
đường 100km, ta thấy có 75 xe có hao phí ít nhất 3,1 lít. Với mức ý nghĩa 2%, có thể
cho rằng tỉ lệ xe máy loại này có hao phí xăng ít nhất 3,1 lít trên quãng đường 100km
của công ty A cao hơn so với công ty B hay không? Giải HUB-BMTKT-NNP Trang 12 Gọi p , p
lần lượt là tỉ lệ xe máy loại này có hao phí ít nhất 3,1 lít trên quãng đường 1 2
100km của công ty A, công ty B. 52 28 10 90 n 160; f 0,5625 , 1 1 160 160 75 90 75 n 150; f 0,5 f 0,5323 . 2 2 150 160 150 H : p p , H : p p . 0 1 2 1 1 2 0, 02 (z ) 0,5 0, 48 z 2, 05 . f f 0, 5625 0, 5 1 2 z 1,102 . 1 1 1 1 f (1 f )( ) 0, 5323(1 0, 5323)( ) n n 160 150 1 2 z z
Chưa có cơ sở để bác bỏ H0.
Vậy: Với mức ý nghĩa 2%, chưa có cơ sở để cho rằng tỉ lệ xe máy loại này có hao phí
xăng ít nhất 3,1 lít trên quãng đường 100km của công ty A là cao hơn so với công ty B.
Câu 13.1. Khảo sát hao phí xăng của 150 xe máy cùng loại của công ty B trên quãng
đường 100km, ta được độ lệch chuẩn hao phí xăng là 0,0732 lít. Với mức ý nghĩa 5%,
có thể cho rằng xe máy cùng loại của công ty A và công ty B có phương sai hao phí xăng khác nhau hay không? Giải Gọi 2 2 ,
lần lượt là phương sai hao phí xăng trên quãng đường 100km của xe máy 1 2 công ty A, công ty B. n 160; s 0, 0663, n 150; s 0, 0732. 1 1 2 2 2 2 2 2 H : , H : . 0 1 2 1 1 2 = = 0 F ,975(159;149) 0,73; 0 F ,025(159;149) 1,37 . 2 2 s 0, 0663 1 F 0,8204 . 2 2 s 0, 0732 2 0, 73 F 1, 37
Chưa có cơ sở để bác bỏ H0.
Vậy: Với mức ý nghĩa 5%, chưa có cơ sở để để cho rằng xe máy cùng loại của công
ty A và công ty B có phương sai hao phí xăng khác nhau.
Câu 13.2. Khảo sát hao phí xăng của 150 xe máy cùng loại của công ty B trên quãng
đường 100km, ta được độ lệch chuẩn hao phí xăng là 0,0732 lít. Với mức ý nghĩa 5%, HUB-BMTKT-NNP Trang 13
có thể cho rằng phương sai hao phí xăng của xe máy của công ty A thấp hơn so với xe máy công ty B hay không? Giải Gọi 2 2 ,
lần lượt là phương sai hao phí xăng trên quãng đường 100km của xe máy 1 2 công ty A, công ty B. n 160; s 0, 0663, n 150; s 0, 0732. 1 1 2 2 2 2 2 2 H : , H : . 0 1 2 1 1 2 0, F = . 95 (159;149) 0, 77 2 2 s 0, 0663 1 F 0,8204 . 2 2 s 0, 0732 2 0, 77 F
Chưa có cơ sở để bác bỏ H0.
Vậy: Với mức ý nghĩa 5%, chưa có cơ sở để để cho rằng phương sai hao phí xăng của
xe máy của công ty A thấp hơn so với xe máy công ty B.
Câu 13.3. Khảo sát hao phí xăng của 150 xe máy cùng loại của công ty B trên quãng
đường 100km, ta được độ lệch chuẩn hao phí xăng là 0,0532 lít. Với mức ý nghĩa 5%,
có thể cho rằng phương sai hao phí xăng của xe máy của công ty A cao hơn so với xe máy công ty B hay không? Giải Gọi 2 2 ,
lần lượt là phương sai hao phí xăng trên quãng đường 100km của xe máy 1 2 công ty A, công ty B. n 160; s 0, 0663, n 150; s 0, 0532. 1 1 2 2 2 2 2 2 H : , H : . 0 1 2 1 1 2 0,0 F = 5 (159;149) 1, 31. 2 2 s 0, 0663 1 F 1,5531. 2 2 s 0, 0532 2 F 1, 31 Bác bỏ H0.
Vậy: Với mức ý nghĩa 5%, có cơ sở để để cho rằng phương sai hao phí xăng của xe
máy của công ty A cao hơn so với xe máy công ty B. HUB-BMTKT-NNP Trang 14 Cho biết 2 x t 1 Hàm Laplace 2 (x) e dt có (1, 96) 0, 475; (1, 645) 0, 45; (2, 58) 0, 495; 2 0 (2, 33) 0, 49; (2, 05) 0, 48; (1,88) 0, 47; (1, 75) 0, 46 2 2 (159) 189, 424; (159) 130,848 , 2 2 (159) 195,805; (159) 125,980 . 0,05 0,95 0,025 0,975 = = = = 0 F ,975(159;149) 0,73; 0
F ,025(159;149) 1,37 ; 0 F ,95(159;149) 0,77; 0 F ,05(159;149) 1,31 HUB-BMTKT-NNP