





Preview text:
Bài toán tính tổng của dãy số có quy luật Toán 11 có đáp án
I. Lý thuyết về tính tổng của dãy số có quy luật
Với bài toán tính tổng một dãy số, đề bài thường cho một dãy gồm nhiều số
hạng. Tuy nhiên, trước mỗi số hạng không nhất định phải là dấu cộng, mà có
thể là dấu trừ hoặc bao gồm cả dấu cộng và dấu trừ.
- Về phương pháp giải bài toán tính tổng một dãy số:
Điền thêm số hạng vào sau, giữa hoặc trước một dãy số trước hết ta cần xác
định lại quy luật của dãy số:
+ Mỗi số hạng (kể từ số hạng thứ 2) bằng số hạng đứng trước nó cộng (hoặc
trừ) với một số tự nhiên a.
+ Mỗi số hạng (kể từ số hạng thứ 2) bằng số hạng đứng trước nó nhân (hoặc
chia) với một số tự nhiên q khác 0.
+ Mỗi số hạng (kể từ số hạng thứ 3) bằng tổng 2 số hạng đứng liền trước nó.
+ Mỗi số hạng (kể từ số hạng thứ 4) bằng tổng của số hạng đứng trước nó
cộng với số tự nhiên d rồi cộng với số thứ tự của số hạng ấy.
+ Số hạng đứng sau bằng số hạng đứng trước nhân với số thứ tự của nó.
+ Mỗi số hạng (kể từ số hạng thứ 2) trở đi đều bằng a lần số liền trước nó.
+ Mỗi số hạng (kể từ số hạng thứ 2) trở đi, mỗi số liền sau bằng a lần số liền
trước nó cộng (trừ ) n (n khác 0).
- Về cách giải bài toán tính tổng của dãy số có quy luật:
Muốn tính tổng của một dãy số có quy luật cách đều chúng ta thường hướng
dẫn học sinh tính theo các bước như sau:
Bước 1: Tính số số hạng có trong dãy: (Số hạng lớn nhất của dãy - số hạng
bé nhất của dãy): khoảng cách giữa hai số hạng liên tiếp trong dãy + 1
Bước 2: Tính tổng của dãy: (Số hạng lớn nhất của dãy + số hạng bé nhất của
dãy) x số số hạng có trong dãy : 2
I . Các dạng tính tổng dãy số áp dụng phương pháp quy nạp
1. Tính tổng dãy số áp dụng phương pháp quy nạp
Bài toán: Chứng minh mệnh đề P(n) đúng với mọi số tự nhiên n > n0 Phương pháp: Bước 1: Xét P(n0) đúng
Bước 2: Giả sử P(k) đúng ta sẽ chứng minh P(k+1) đúng với mọi số tự nhiên thì mệnh đề P(n) đúng
với mọi số tự nhiên n > n0
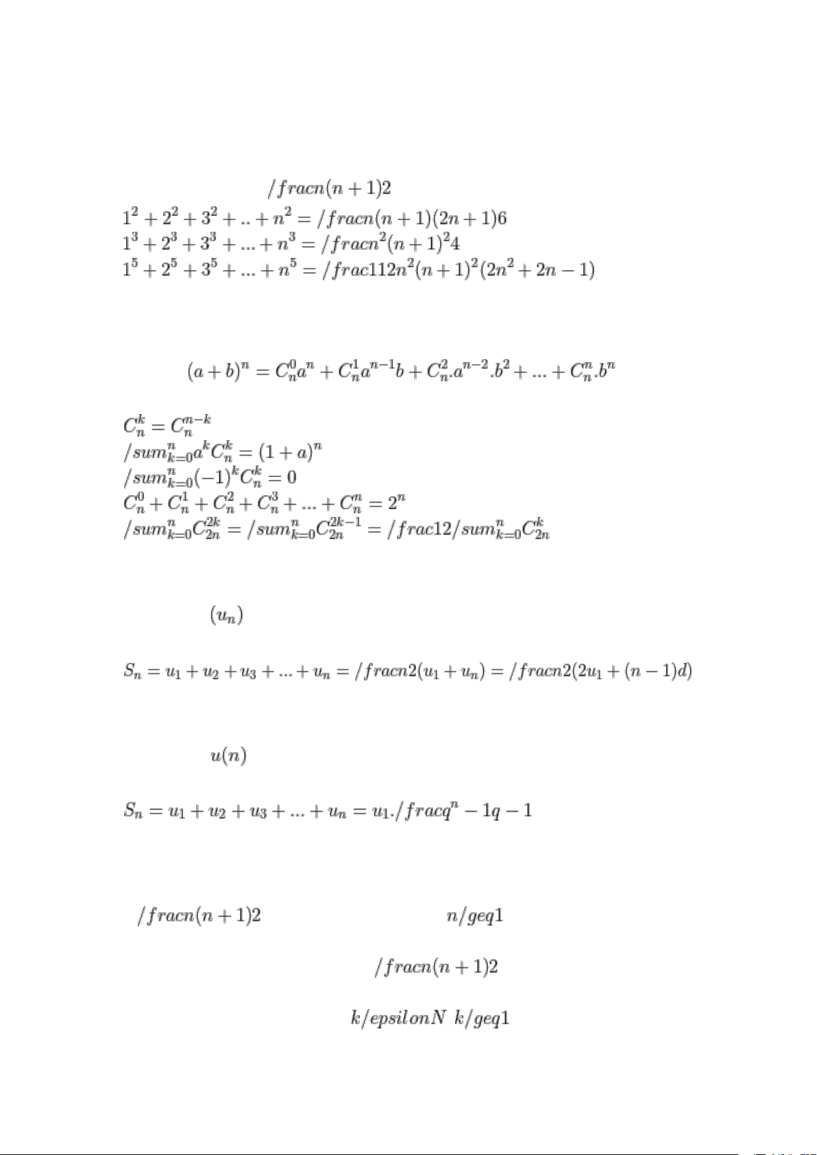
2. Tính tổng một số dãy số có quy luật đã biết
Phương pháp: Một số công thức tổng suy ra từ phương pháp quy nạp ở trên: 1 + 2 + 3 + ... + n =
3. Tính tổng theo công thức nhị thức Newton Phương pháp: Dựa vào khai triển nhị thức Newton:
Một số công thức liên quan:
4. Tính tổng của cấp số cộng Cho dãy số
là cấp số cộng có dạng:
Phương pháp: Tổng n số hạng đầu tiên của cấp số cộng, công sai d là:
5. Tính tổng của cấp số nhân Cho dãy số
là cấp số nhân có dạng
Phương pháp: Tổng n số hạng đầu tiên của cấp số nhân công bội q là:
I I. Một số bài toán liên quan
Câu 1: Chứng minh rằng 1 + 2 + 3 + 4 + 5 + 6 + 7+ ... + n =
đúng với mọi số tự nhiên Lời giải chi tiết:
1 + 2 + 3 + 4 + 5 + 6 + 7+ ... + n = (1)
Bước 1: Với n = 1 ta có: VT = VP = 1 ⇒ (1) đúng với n = 1
Bước 2: Giả sử (1) đúng với k, ; tức là: 1 + 2 + 3 + 4 + 5 + .. + k =
Ta phải chứng minh (1) đúng với k + 1 tức là: 1 + 2 + 3 + 4 + 5 + .. + k + (k + 1) = (2) Ta có:
1 + 2 + 3 + 4 + 5 + ... + k + (k + 1)
= ( 1 + 2 + 3 + ... + k) + k + 1 = = = = (2) ⇒ dpcm
Vậy đẳng thức đã cho đúng với mọi
Câu 2: Chứng minh rằng với Lời giải chi tiết: Với n = 1 ta có: VT = sin x; đúng
Giả sử (1) đúng với n = tức là: sin x + sin2x + sin3x + sin4x + ... + sinkx = (2)
Ta sẽ chứng minh (1) đúng với n = k + 1 tức là:
sinx + sin2x + sin3x + sin4x + ... + sinkx + sin( k+1)x = Tức là: = = = = VP ⇒ dpcm
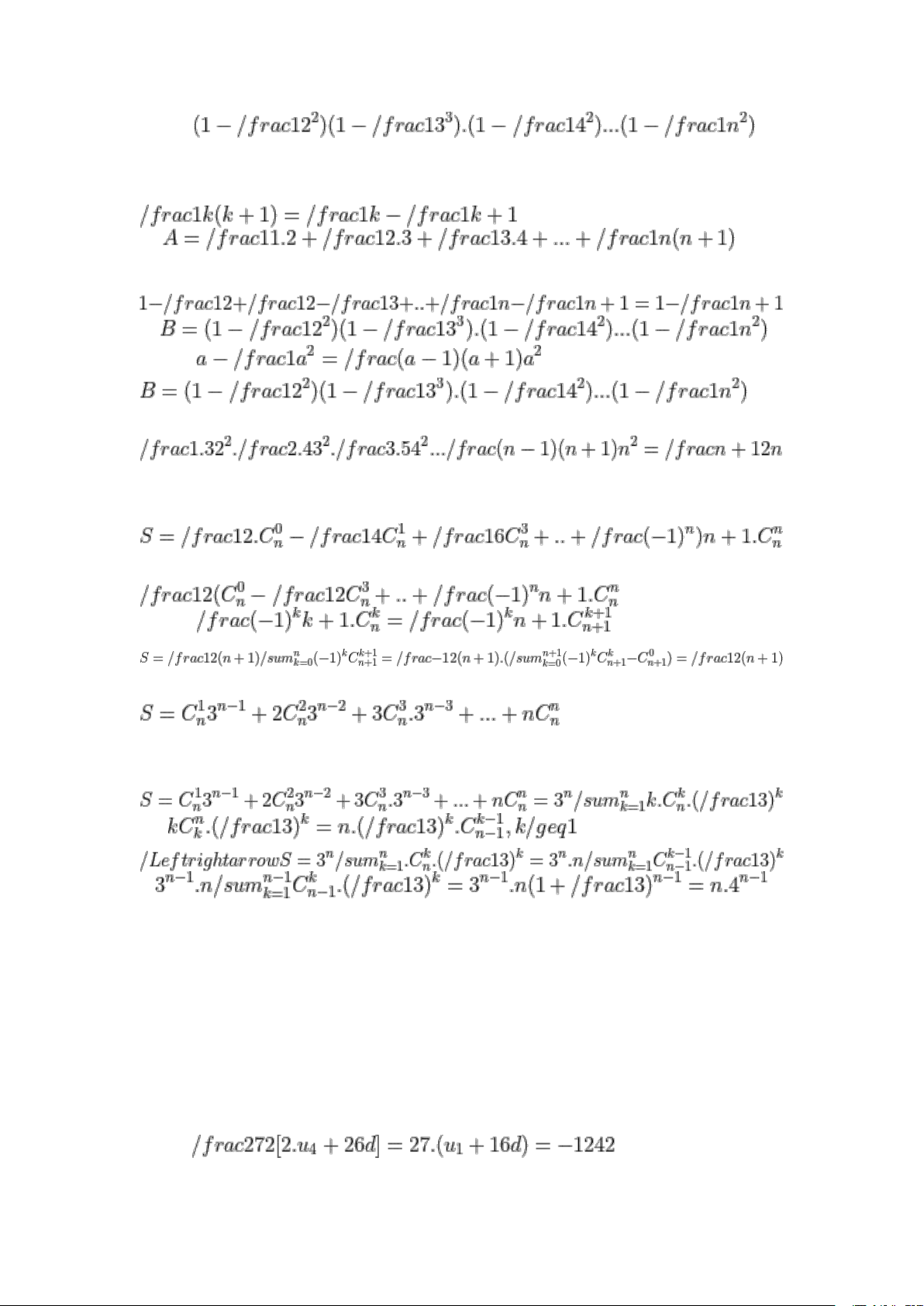
Vậy đẳng thức (1) đúng với mọi Câu 3: Tính tổng dãy số a. A = b. B = Lời giải chi tiết: a. Ta có ⇒ = b. Ta có: = Câu 4: Tính tổng các dãy số sau: Lời giải chi tiết: Ta có: nên suy ra:
Câu 5: Tính tổng của dãy số: Lời giải chi tiết: Ta có: Do =
Câu 6: Cho cấp số cộng thỏa mãn
Tính tổng S = u4 + u5 + u6 + u7 + ... + u30 Đáp án chi tiết:
Từ giả thiết bài toán ta có: S = u4 + u5 + u6 + u7 + ... + u30 =
Câu 7: Cho cấp số cộng có dạng:
Tính tổng S = u5 + u7 + u9 + u11 + ... + u2011 Lời giải chi tiết: S = u5 + u7 + u9 + u11 + ... + u2011 =
Câu 8: Tính giá trị của A biết:
A = 1 + 2 + 3 + 4 + .... + 2014 Lời giải chi tiết:
Đây là dạng bài cơ bản trong dạng bài tính tổng của dãy có quy luật cách đều,
chúng ta hướng dẫn học sinh tính giá trị của A theo 2 bước cơ bản ở trên
Dãy số trên có số số hạng là:
( 2014 - 1) : 1 + 1 = 2014 ( số hạng) Giá trị của A là:
( 2014 + 1) x 2014 : 2 = 2029105
Câu hỏi 9: Cho dãy số: 2; 4; 6; 8; 10; 12; .... .... ... . Tìm số hạng thứ 2014 của dãy số trên?
Lời giải chi tiết: Từ bước 1 học sinh sẽ tìm ra cách tìm số hạng lớn nhất trong
dãy là: Số hạng lớn nhất = (Số số hạng trong dãy – 1) x khoảng cách giữa hai
số hạng liên tiếp+ số hạng bé nhất trong dãy.
Số hạng thứ 2014 của dãy số trên là: (2014 – 1) x 2 + 2 = 4028
Câu hỏi 10: Một dãy phố có 15 nhà. Số nhà của 15 nhà đó được đánh là các
số lẻ liên tiếp, biết tổng của 15 số nhà của dãy phố đó bằng 915. Hãy cho biết
số nhà đầu tiên của dãy phố đó là số nào?
Lời giải chi tiết: Bài toán cho chúng ta biết số số hạng là 15, khoảng cách của
2 số hạng liên tiếp trong dãy là 2 và tổng của dãy số trên là 915. Từ bước 1
và 2 học sinh sẽ tính được hiệu và tổng của số nhà đầu và số nhà cuối. Từ
đó ta hướng dẫn học sinh chuyển bài toán về dạng tìm số bé biết tổng và hiệu của hai số đó.
Hiệu giữa số nhà cuối và số nhà đầu là: (15 - 1) x 2 = 28
Tổng của số nhà cuối và số nhà đầu là: 915 x 2 : 15 = 122
Số nhà đầu tiên trong dãy phố đó là: (122 - 28) : 2 = 47
IV. Một số bài tự luyện tập
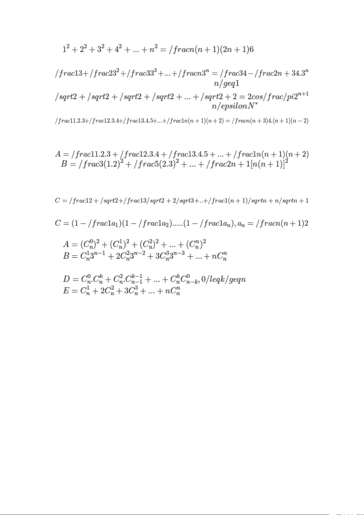
Câu hỏi 1: Chứng minh rằng với mọi số tự nhiên ta luôn có:
a. 1.2 + 2.3 + 3.4 + 4.5 + ... + n(n + 1) = b. c.
Câu hỏi 2: Chứng minh rằng với mọi số tự nhiên ta có:
Câu hỏi 3: Chứng minh đẳng thức đúng với mọi
Câu hỏi 4: Tính tổng dãy số a. b
Câu hỏi 5: Tính tổng các dãy số: a. b.
Câu hỏi 6: Tính tổng các dãy sau: a. b.
Câu hỏi 7: Tính tổng dãy a. b.
Câu hỏi 8: Cho cấp số cộng cộng có u4 = -12; u14 = 18. Tính tổng 16 số hạng
đầu tiên của cấp số cộng
Câu hỏi 9: Cho cấp số cộng biết u5 = 18; Sn = 0,25S2n. Tìm số hạng đầu tiên
và công sai của cấp số cộng
Câu hỏi 10: Cho cấp số cộng u2013 + u6 = 1000. Tính tổng 2018 số hạng
đầu tiên của cấp số cộng đó.
Câu hỏi 11: Cho dãy số: 1; 4; 7; 10; .... .... .... ... .... ... ; 2014.
a, Tính tổng của dãy số trên?
b, Tìm số hạng thứ 99 của dãy?
c, Số hạng 1995 có thuộc dãy số trên không? Vì sao?
Câu hỏi 12: Một dãy phố có 20 nhà. Số nhà của 20 nhà đó được đánh là các
số chẵn liên tiếp, biết tổng của 20 số nhà của dãy phố đó bằng 2000. Hãy cho
biết số nhà cuối cùng trong dãy phố đó là số nào?
Document Outline
- Bài toán tính tổng của dãy số có quy luật Toán 11 - I. Lý thuyết về tính tổng của dãy số có quy luật
- II. Các dạng tính tổng dãy số áp dụng phương pháp - 1. Tính tổng dãy số áp dụng phương pháp quy nạp
- 2. Tính tổng một số dãy số có quy luật đã biết
- 3. Tính tổng theo công thức nhị thức Newton
- 4. Tính tổng của cấp số cộng
- 5. Tính tổng của cấp số nhân
 
- III. Một số bài toán liên quan
- IV. Một số bài tự luyện tập
 
