
















Preview text:
lOMoAR cPSD| 58794847
4.1. Các định chế quốc tế và hoạt động marketing quốc tế
4.1.1. Một số định chế quốc tế điển hình
Tổ chức thương mại thế giới (WTO)
Sự ra đời và phát triển của WTO
Tổ chức Thương mại Thế giới (World Trade Organization – WTO) được thành lập
ngày 01 tháng 01 năm 1995 với mục tiêu thiết lập, duy trì nền thương mại toàn cầu ổn
định, tự do, minh bạch. Tính đến ngày 29 tháng 07 năm 2016, WTO có 164 thành viên,
bao gồm các quốc gia và một số vùng lãnh thổ tự trị về quan hệ ngoại thương.
Tiền thân của WTO là Hiệp định chung về thuế quan và thương mại – GATT (The
General Agreement on Tariffs and Trade), được 23 quốc gia ký kết năm 1947 nhằm tăng
cường các hoạt động thương mại giữa các nước này nói riêng và toàn cầu nói chung.
Trong lịch sử hình thành và phát triển, GATT đã trải qua nhiều vòng đàm phán đa
phương về thương mại. Tại vòng đàm phán Uruguay (vòng thứ 8, 1986-1994), các quốc
gia đã thống nhất thành lập WTO và kế thừa, phát triển, thực thi các quy định, nội dung của GATT.
Với chức năng giám sát các hiệp định thương mại giữa các quốc gia, giảm thiểu
các rào cản để tiến tới tự do thương mại trên phạm vi toàn cầu, WTO có một số nhiệm vụ chính như sau:
- Thúc đẩy việc thực hiện các Hiệp định và cam kết đã đạt được trong khuôn khổ
WTO, kể cả những cam kết dự kiến trong tương lai;
- Trở thành diễn đàn để các thành viên đàm phán, ký kết các Hiệp định, cam kết
mới về tự do hóa thương mại, tạo điều kiện để thương mại tiếp tục phát triển trên quy mô toàn cầu;
- Giải quyết tranh chấp thương mại giữa các thành viên WTO trong trường hợp có
xung đột theo các quy tắc, trình tự, thủ tục theo quy định;
- Rà soát định kỳ các chính sách thương mại của các thành viên;
- Cung cấp hỗ trợ kỹ thuật cho các nước đang phát triển (thông qua tư vấn, đào tạo
nguồn nhân lực) và hợp tác với các tổ chức quốc tế khác.
WTO hoạt động theo cơ cấu tổ chức hoàn chỉnh, sắp xếp theo thứ tự thẩm quyền
từ cao đến thấp như sau: Hội nghị Bộ trưởng; Đại Hội đồng; Các Hội đồng, Ủy ban chức
năng, Nhóm công tác; Ban Thư ký. Cụ thể:
- Hội nghị Bộ trưởng: các Bộ trưởng Thương mại, đại diện cho các nước thành
viên họp hai năm một lần để quyết định các vấn đề quan trọng của WTO;
- Đại Hội đồng: các đại diện của các nước thành viên, thực hiện chức năng và các
nội dung đã được quyết định tại Hội nghị Bộ trưởng. Đại Hội đồng cũng là cấp lOMoAR cPSD| 58794847
thẩm quyền thực hiện vai trò là Cơ quan giải quyết tranh chấp và Cơ quan rà soát chính sách thương mại;
- Các Hội đồng, Ủy ban chức năng, Nhóm công tác: có vai trò hỗ trợ hoạt động
của Đại Hội đồng trong từng lĩnh vực khác nhau (thương mại hàng hóa, thương
mại dịch vụ, các vấn đề về sở hữu trí tuệ liên quan tới thương mại);
- Ban Thư ký: bao gồm Tổng Giám đốc WTO, các Phó Tổng Giám đốc, các Vụ,
Ban giúp việc, làm việc độc lập không phụ thuộc vào bất kỳ Chính phủ nào.
Cơ chế làm việc tại WTO là cơ chế đồng thuận khi đưa ra các quyết định, có nghĩa
rằng một quyết định chỉ được thông qua khi không có bất kỳ quốc gia thành viên nào bỏ
phiếu chống. Điều này cho thấy rằng, các quy định, nguyên tắc tại WTO đều là sự tự
nguyện chấp thuận từ tất cả các thành viên và không bị ép buộc. WTO không phải là
một thiết chế cấp cao, đứng trên các thành viên. Tuy nhiên, trong một số trường hợp đặc
biệt, WTO áp dụng cơ chế riêng.
Hầu hết các Hiệp định trong khuôn khổ WTO là kết quả của Vòng đàm phán
Uruguay 1986 – 1994, ký kết tại Hội nghị Bộ trưởng Marrakesh tháng 4 năm 1994. Các
nội dung chi tiết về WTO và các Hiệp định sẽ tiếp tục được trình bày trong các phần tiếp theo.
Tất cả những yếu tố nói trên cùng một số yếu tố khác đã manh nha hình thành ý
tưởng về việc thành lập một tổ chức nhằm củng cố hệ thống thương mại giữa các quốc
gia. Trong giai đoạn 1986-1994, các nước đã thảo luận và đạt được nhiều thỏa thuận,
hiệp định riêng biệt trong các lĩnh vực khác nhau. Cuối vòng đàm phán Uruguay, các
thành viên đã thống nhất đưa ra tuyên bố chung Marrakesh để thành lập Tổ chức Thương
mại Thế giới - WTO, bắt đầu hoạt động từ năm 1995.
Sau khi chính thức thành lập, WTO tiếp tục thừa nhận các mục tiêu của GATT về
quan hệ giữa các nước thành viên trong thương mại quốc tế. Có nghĩa rằng, WTO hoạt
động nhằm nâng cao mức sống, bảo đảm việc làm và thu nhập, phát triển nền kinh tế
một cách bền vững, sử dụng hiệu quả các nguồn lực toàn cầu, cũng như tiếp tục mở rộng
các hoạt động sản xuất, trao đổi hàng hóa.
Các hiệp định cơ bản của WTO
Như đã trình bày ở trên, các Hiệp định của WTO được hình thành chủ yếu từ
Vòng đàm phán Uruguay (1986 - 1994). Đầu tiên là Hiệp định Thành lập Tổ chức
Thương mại Thế giới, đưa ra các quy định chung về việc thành lập WTO, phạm vi hoạt
động, chức năng, cơ cấu tổ chức, quan hệ đối với các tổ chức khác, quy định về đóng
góp và sử dụng ngân sách, quá trình ra quyết định tại WTO, quy định về gia nhập và rút khỏi tổ chức. lOMoAR cPSD| 58794847
Các Hiệp định Thương mại Đa biên được trình bày trong 4 Phụ lục, không tách rời
khỏi Hiệp định chính là Hiệp định Thành lập Tổ chức Thương mại Thế giới. Các Phụ
lục này bao gồm nhiều Hiệp định, được sắp xếp theo hệ thống các lĩnh vực nhất định.
Phụ lục 1 gồm có 3 phần:
- Phụ lục 1(A): Các hiệp định đa biên về Thương mại hàng hóa, bao gồm 14 Hiệp
định chính1, kể cả Hiệp định chung về thuế quan và thương mại GATT 1994, và
một Hiệp định đã hết hiệu lực từ năm 2005 là Hiệp định về hàng dệt may;
- Phụ lục 1(B): Hiệp định chung về thương mại dịch vụ (GATS);
- Phụ lục 1(C): Hiệp định về các khía cạnh liên quan đến thương mại của quyền sở hữu trí tuệ (TRIPS).
Các Phụ lục còn lại là Phụ lục 2: Hiệp định về Quy tắc và Thủ tục Giải quyết Tranh
chấp trong khuôn khổ WTO (DSU); Phụ lục 3: Hiệp định về Cơ chế Rà soát Chính sách
thương mại; Phụ lục 4: Các Hiệp định thương mại nhiều bên, gồm 4 phần:
- Phụ lục 4(A): Hiệp định về Thương mại Máy bay Dân dụng;
- Phụ lục 4(B): Hiệp định về Mua sắm Chính phủ;
- Phụ lục 4(C): Hiệp định quốc tế về sữa (đã chấm dứt năm 1997);
- Phụ lục 4(D): Hiệp định quốc tế về thịt bò (đã chấm dứt năm 1997).
Các Hiệp định trên đã thể hiện vai trò và nhiệm vụ của tổ chức này, thông qua các
quy định chung về cách thức hoạt động của WTO. Các Phụ lục, bao gồm các Hiệp định
thể hiện chi tiết các nội dung về hoạt động thương mại quốc tế đối với các lĩnh vực khác
nhau, từ hàng hóa, dịch vụ cho với vấn đề sở hữu trí tuệ. Bên cạnh đó, các Hiệp định
khác cũng quy định rõ về cách thức giải quyết các tranh chấp của WTO, cũng như hoàn
thiện các chính sách thương mại và các ký kết thương mại đặc thù khác.
Chức năng, nguyên tắc và ngoại lệ trong WTO (i) Chức năng
Theo Hiệp định Marrakesh, WTO có các chức năng chính sau:
- Thúc đẩy việc quản lý, thực thi các mục tiêu của Hiệp định chính và các Hiệp
định thương mại đa biên;
1 Phụ lục 1(A) gồm có các Hiệp định chính sau: (1) Hiệp định chung về thuế quan và thương mại (1994); (2) Hiệp
định Nông nghiệp; (3) Hiệp định về Áp dụng các Biện pháp Kiểm dịch Động thực vật; (4) Hiệp định về các Hàng
rào Kỹ thuật đối với Thương mại; (5) Hiệp định về Xác định Trị giá tính thuế hải quan (Điều VII của GATT 1994);
(6) Hiệp định về Giám định hàng hóa trước khi gửi hàng (PSI); (7) Hiệp định về Quy tắc Xuất xứ;
(8) Hiệp định về Thủ tục Cấp phép Nhập khẩu; (9) Hiệp định về Chống bán phá giá (Điều VI của GATT 1994);
(10) Hiệp định về Trợ cấp và các Biện pháp đối kháng; (11) Hiệp định về các Biện pháp tự vệ; (12) Hiệp định
thuận lợi hóa thương mại; (13) Hiệp định về các Biện pháp Đầu tư liên quan đến Thương mại (TRIMs); (14) Hiệp
định về Hàng dệt may (đã hết hiệu lực từ ngày 01/01/2005). lOMoAR cPSD| 58794847
- Là diễn đàn cho các quốc gia thành viên, đàm phán về các quan hệ thương mại
song phương, đa phương, về các vấn đề được nhắc tới trong các Hiệp định của
WTO, tiến tới thực thi các kết quả đã đàm phán;
- Là nơi giải quyết các tranh chấp thương mại giữa các quốc gia thành viên trên cơ
sở các quy định và thủ tục về giải quyết tranh chấp;
- Thông qua các cơ chế rà soát chính sách thương mại, thực hiện việc rà soát, hoàn
thiện các chính sách thương mại;
Tiến tới sự thống nhất cao hơn giữa các thành viên trong việc hoạch định chính
sách thương mại quốc tế. Phối với với WB2, IMF3 và các tổ chức quốc tế khác trong điều kiện phù hợp. (ii) Nguyên tắc
Các hoạt động của WTO dựa trên các Hiệp định, quy định, nguyên tắc phức tạp,
điều chỉnh hầu hết các lĩnh vực của thương mại quốc tế. Tuy nhiên, các văn bản này đều
được đàm phán và thống nhất trên cơ sở các nguyên tắc cơ bản của WTO.
Thứ nhất, không phân biệt đối xử về thương mại. Kế thừa từ GATT, nội dung
nguyên tắc này được giữ lại và cụ thể hóa bởi hai quy định về: nguyên tắc Đối xử tối
huệ quốc và nguyên tắc Đối xử quốc gia.
Thứ hai, chỉ được bảo hộ bằng biện pháp thuế quan. Việc bảo hộ các ngành công
nghiệp nội địa không bị cấm, tuy nhiên, WTO chỉ cho phép sử dụng chủ yếu biện pháp
thuế quan để đảm bảo sự minh bạch, tránh những tác động tiêu cực đến thương mại.
Thứ ba, đảm bảo tính ổn định cho nền thương mại quốc tế. Các quốc gia thành
viên có thể tăng thuế sau khi đã đàm phán và đền bù thỏa đáng cho các bên chịu ảnh
hưởng do việc tăng thuế trên. Các quốc gia phải minh bạch hóa các quy định thương
mại, thông báo các biện pháp áp dụng, các cam kết, ràng buộc liên quan. Khi các nước
thực hiện tốt nguyên tắc này, môi trường kinh doanh sẽ đảm bảo được tính ổn định.
Thứ tư, tăng cường tự do hóa thương mại. Thông qua đàm phán, WTO cần đảm
bảo giao thương giữa các nước càng ngày càng trở lên tự do hơn, nhờ giảm thiểu các hàng rào thương mại.
Thứ năm, tạo môi trường cạnh tranh bình đẳng. Các Hiệp định của WTO đều
nhằm mục đích tạo ra một môi trường bình đẳng, cạnh tranh lành mạnh giữa các quốc
gia, đối với các lĩnh vực khác nhau như hàng hóa, dịch vụ, quyền sở hữu trí tuệ...
Thứ sáu, ngoại lệ trong việc áp dụng hạn chế số lượng hàng nhập khẩu. Tuy mục
tiêu của WTO là các quốc gia sẽ loại bỏ quy định về hạn chế số lượng hàng nhập khẩu,
2 Ngân hàng Thế giới (World Bank – WB).
3 Quỹ Tiền tệ Quốc tế (International Monetary Fund – IMF). lOMoAR cPSD| 58794847
nhưng trong một số trường hợp ngoại lệ (nước nhập khẩu gặp vấn đề về cán cân thanh
toán, ngoại hối...), các quốc gia này được phép áp dụng nhưng trên cơ sở không có sự phân biệt đối xử.
Thứ bảy, nguyên tắc về việc tạm thời không thực hiện nghĩa vụ. Trong một số
tình huống khẩn cấp như khi nền kinh tế của một quốc gia gặp khó khăn, nước đó được
phép tạm thời không thực hiện một số quy định của WTO. Đặc biệt, cho phép các quốc
gia áp dụng hạn chế hoặc ngừng nhập khẩu một mặt hàng cụ thể nếu có nguy cơ gây ra
thiệt hại nghiêm trọng cho nhà sản xuất trong nước.
Thứ tám, cho phép áp dụng các thỏa thuận khu vực. Đây là một ngoại lệ của chế
độ Đãi ngộ Tối huệ quốc vì giúp thúc đẩy tự do hóa thương mại trong khu vực, miễn là
đảm bảo được các quy định nghiêm ngặt của WTO, làm tăng tự do hóa giữa các nước
trong khu vực nhưng đồng thời không làm tăng rào cản thương mại đối với các quốc gia ngoài khu vực đó.
Thứ chín, ưu đãi cho các nước đang phát triển. WTO có chính sách hỗ trợ các
quốc gia đang phát triển thông qua các điều kiện đặc biệt trong việc thực thi các hiệp
định, trợ giúp kỹ thuật nhằm đảm bảo các nước này tham gia sâu rộng hơn vào hệ thống thương mại quốc tế. (iii) Ngoại lệ
Về cơ bản, các nước thành viên phải tuân thủ các điều luật được ban hành bởi
WTO. Thông thường, những bộ luật này đều cho phép cho các quốc gia đang phát triển
có quyền được thực hiện trái với những gì quy định trong luật, hay còn gọi là ngoại lệ.
Ngoài ra, một ngoại lệ khác là khi các quốc gia cần phải thực hiện hành động bảo vệ an
toàn quốc gia, ví dụ trong đại dịch Covid-19 thì các nước sẽ cấm các hoạt động xuất
khẩu đối với một số mặt hàng thiết yếu như thực phẩm, thiết bị y tế... Điều này đi ngược
lại tiêu chí trong các bộ luật của WTO.
Hiệp định đối tác toàn diện và tiến bộ xuyên Thái Bình Dương (CPTPP)
Sự ra đời và phát triển của CPTPP
Tiền thân của Hiệp định đối tác toàn diện và tiến bộ xuyên Thái bình dương là
(CPTPP) là hiệp định Đối tác xuyên Thái Bình Dương (Trans-Pacific Partnership
Agreement - TPP). TPP được đàm phán và dự định ký kết bởi 12 nước thành viên, bao
gồm 4 thành viên sáng lập: Brunei, Chile, New Zealand, Singapore và 8 thành viên:
Australia, Hoa Kỳ, Peru, Mexico, Canada, Nhật Bản, Malaysia, Việt Nam.
Ban đầu, bốn quốc gia sáng lập dự định ký kết Hiệp định với nhau và lấy tên gọi
là 4P. Tuy nhiên, sau khi Hoa Kỳ quyết định tham gia đã đề xuất đổi tên và đàm phán
Hiệp định theo khuôn khổ mới và lấy tên gọi là TPP. Năm 2009, Việt Nam tham gia với
vai trò là quan sát viên đặc biệt. Đến năm 2010, Việt Nam chính thức tham gia vào các lOMoAR cPSD| 58794847
vòng đàm phán Hiệp định. Sau hơn 30 phiên đàm phán kĩ thuật và 10 phiên đàm phán
cấp Bộ trưởng, có tổng cộng 12 quốc gia thành viên chính thức tham gia vào TPP và ký
kết cơ bản các nội dung đàm phán tại thành phố Atlanta, Hoa Kỳ vào năm 2015. Sau
quá trình đàm phán kéo dài 6 năm từ 2010 đến 2016, TPP được sơ bộ ký kết vào ngày
4/2/2016 và dự kiến có hiệu lực từ năm 2018. Hiệp định TPP được kỳ vọng sẽ trở thành
điểm sáng của các Hiệp định thương mại tự do, được coi là Hiệp định “thế hệ mới” với
nhiều đặc điểm nổi bật sau:
Thứ nhất, tiếp cận thị trường một cách toàn diện. TPP dự kiến cắt giảm thuế quan
và các hàng rào phi thuế quan đối với gần như tất cả hàng hóa, dịch vụ, tạo điều kiện
thuận lợi cho doanh nghiệp và người tiêu dùng.
Thứ hai, đưa ra cam kết mang tính khu vực. TPP tạo thuận lợi cho phát triển chuỗi
cung ứng trong nội khối, không làm gián đoạn sản xuất, thương mại, cũng như mở cửa
thị trường và hội nhập hiệu quả.
Thứ ba, tập trung giải quyết các thách thức mới về thương mại. TPP thúc đẩy
tăng năng suất, năng lực cạnh tranh thông qua phát triển nền kinh tế số và đánh giá vai
trò của doanh nghiệp Nhà nước đối với nền kinh tế toàn cầu.
Thứ tư, đảm bảo lợi ích thương mại toàn diện. TPP đưa ra các điều khoản nhằm
đảm bảo tất cả các doanh nghiệp thuộc mọi quy mô. Đặc biệt, doanh nghiệp vừa và nhỏ
cũng có thể được hưởng lợi từ Hiệp định thông qua các cam kết về phát triển và nâng
cao năng lực thương mại.
Thứ năm, trở thành nền tảng cho hội nhập khu vực. TPP ra đời là tiền đề cho các
quốc gia khác trong khu vực có thể hội nhập tốt hơn.
Tuy nhiên, sau khi Tổng thống đắc cử Donald Trump lên nắm quyền và đưa ra
chính sách mới, Hoa Kỳ tuyên bố rút khỏi TPP vào tháng 1/2017, khiến cho TPP không
thể thực hiện được. Trong bối cảnh đó, các quốc gia thành viên tiếp tục nhóm họp và
thống nhất hướng giải quyết. Từ đây, các nước đã thống nhất đổi tên Hiệp định TPP
thành Hiệp định CPTPP ngay trong năm 2017. Ngày 8/3/2018, Hiệp định Đối tác Toàn
diện và Tiến bộ Xuyên Thái Bình Dương – CPTPP chính thức được ký kết bởi 11 nước
thành viên còn lại tại Chile. CPTPP chính thức có hiệu lực thi hành TPP ngay trong năm
2018. Đối với Việt Nam, Hiệp định chính thức có hiệu lực từ ngày 14 tháng 01 năm 2019.
Những điểm đáng chú ý của CPTPP
Hiệp định CPTPP bao gồm 7 Điều và 1 Phụ lục quy định về mối quan hệ với Hiệp
định TPP, phương án xử lý các vấn đề liên quan sau khi Hoa Kỳ rút khỏi Hiệp định TPP,
quy định về việc gia nhập hay rút khỏi Hiệp định và tính hiệu lực của CPTPP. Về quan
điểm, Hiệp định CPTPP giữ nguyên các nội dung, gồm 30 chương và 9 phụ lục mà các lOMoAR cPSD| 58794847
thành viên của Hiệp định TPP đã thống nhất. Tuy nhiên, vì Hoa Kỳ rút khỏi Hiệp định
TPP, nên các thành viên được phép tạm hoãn một số nhóm nghĩa vụ nhằm đảm bảo các
nước có sự cân bằng về quyền lợi, nghĩa vụ.
Trong số 20 nhóm nghĩa vụ được tạm hoãn, có 11 nghĩa vụ liên quan tới Quyền sở
hữu trí tuệ, 2 nghĩa vụ liên quan tới Mua sắm chính phủ, 7 nghĩa vụ liên quan đến Quản
lý Hải quan và Tạo thuận lợi Thương mại, Đầu tư, Thương mại dịch vụ xuyên biên giới,
Dịch vụ Tài chính, Viễn thông, Môi trường, Minh bạch hóa và Chống tham nhũng. Ngoài
ra, các cam kết về tự do hóa và mở cửa thị trường đã được thống nhất trong Hiệp định
TPP vẫn được giữ nguyên.
Như vậy, tuy có sự kế thừa từ Hiệp định TPP nhưng Hiệp định CPTPP đã có một
số điều chỉnh phù hợp với tình hình mới.
Thứ nhất, số lượng thành viên của Hiệp định CPTPP còn lại 11 quốc gia so với
12 thành viên của Hiệp định TPP.
Thứ hai, tuy cơ bản giữ nguyên các cam kết của Hiệp định TPP, nhưng các thành
viên được tạm hoãn thực thi 20 nghĩa vụ đối với các lĩnh vực trọng yếu về mua sắm
chính phủ, tài chính, sở hữu trí tuệ, đầu tư...
Thứ ba, Hiệp định CPTPP có giá trị đóng góp vào GDP và thương mại toàn cầu
đạt mức lần lượt là 15% và 15%, trong khi Hiệp định TPP ban đầu, với sự tham gia của
Hoa Kỳ, là một thị trường rộng lớn, có giá trị đóng góp tương ứng lên tới 40% và 30%.
Hiệp định chung về thuế quan và thương mại (GATT)
Sự ra đời và phát triển
Hiệp định chung về thuế quan và thương mại (The General Agreement on Tariffs
and Trade – GATT) là Hiệp định có tính pháp lý nhằm giảm thiếu các rào cản đối với
hoạt động thương mại quốc tế, thông qua các biện pháp như loại bỏ hoặc cắt giảm thuế
quan, hạn ngạch, trợ cấp, đồng thời vẫn giữ các quy định quan trọng khác. GATT được
ký kết bởi 23 quốc gia thành viên vào ngày 30/10/1947. Sự ra đời của GATT nhằm mục
đích tái thiết và tự do hóa thương mại toàn cầu do Khối Đồng minh đề xuất sau Thế chiến thứ II.
GATT bắt đầu có hiệu lực từ ngày 01/01/1048, sau đó tiếp tục được hoàn thiện qua
nhiều vòng đàm phán, và kết quả là sự ra đời của Tổ chức Thương mại Thế giới – WTO.
Trong giai đoạn từ năm 1947 tới 1993, GATT đã trải qua 8 vòng đàm phán với kết quả
đáng kể qua mỗi lần gặp mặt giữa các quốc gia thành viên.
Bảng 4.1. Các vòng đàm phán của GATT trong giai đoạn 1947 – 1993 Tên vòng Stt đàm phán Năm Thành tựu 1 Geneva 1947
23 nước tham gia. GATT bắt đầu có hiệu lực. lOMoAR cPSD| 58794847 2 Annecy 1949 13 nước tham gia. 3 Torquay 1951 38 nước tham gia.
26 nước tham gia. Đạt được kết quả về giảm thuế, đề ra chiến 4 Geneva 1956
lược nâng cao vị thế cho nước đang phát triển. 5 Dillon 1960-1961
Chủ yếu bàn về việc giảm thuế.
63 nước tham gia. Lần đầu tiên đàm phán giảm thuế theo 6 Kenedy 1964-1967
phương pháp áp dụng chung cho tất cả các loại hàng hóa.
Hiệp định chống bán phá giá được ký kết.
102 nước tham gia. Đàm phán giảm hàng rào phi thuế quan, 7 Tokyo 1973-1979
tăng cường hệ thống thương mại đa phương.
125 nước tham gia. Thành lập WTO thay thế GATT. Đàm phán 8 Uruguay 1986-1994
hàng loạt các biện pháp giúp tăng cường thương mại và đầu tư trên toàn cầu.
Nguồn: Tổng hợp từ WTO
Vòng đàm phán đầu tiên diễn ra vào năm 1947 tại Geneva, Thụy Sĩ với 23 nước
thành viên. Với nội dung trọng tâm là thuế quan, các quốc gia đã đạt được thỏa thuận
đầu tiên về cắt giảm thuế, có giá trị 10 tỷ USD. Tiếp nối những thành công ở vòng đàm
phán đầu tiên, trong vòng đàm phán Annecy tại Pháp, hơn 5000 thỏa thuận về cắt giảm
thuế quan đã được ký kết giữa 13 quốc gia có mặt. Năm 1951, có 39 quốc gia tham gia
vòng đàm phán tại Vương quốc Anh và đạt được thỏa thuận cho gần 9000 bản cam kết,
đặc biệt, có những thỏa thuận với mức giảm lên tới 25% thuế quan. Thông qua nhiều
vòng đàm phán, số lượng cam kết và giá trị thuế được giảm ngày càng tăng lên, mức
thuế suất trung bình trên toàn cầu ngày càng giảm xuống, từ mức 22% vào năm 1947,
khi GATT lần đầu được ký kết, đã giảm xuống còn khoảng 5% tại vòng đám phán Uruguay năm 19934.
Chức năng, nguyên tắc và ngoại lệ trong áp dụng GATT (i) Chức năng
Trong thời kỳ chiến tranh, tình trạng bảo hộ thương mại, kiểm soát thuế quan, hạnh
ngạch là vấn đề phổ biến trên toàn cầu. Sau khi ra đời từ năm 1947 cho đến lúc WTO
thay thế hiệp định vào năm 1997, GATT đóng vai trò là khung pháp lý thương mại đa
phương với các chức năng chính nhằm thúc đẩy và đảm bảo giao thương thuận lợi, tự
do hóa thương mại toàn cầu.
Thứ nhất, GATT là một hệ thống các nguyên tắc, quy định chung để điều tiết hoạt
động thương mại toàn cầu trong khuôn khổ các vấn đề mà thành viên tham gia đã thống nhất và ký kết. 4 Theo Investopedia (2021). lOMoAR cPSD| 58794847
Thứ hai, GATT thỏa thuận các nguyên tắc, quy định để chấm dứt sự bảo hộ
thương mại, tạo điều kiện cho các cuộc đàm phán song phương và đa phương nhằm cắt
giảm thuế quan, các biện pháp phi thuế quan... giữa các quốc gia đó.
Thứ ba, GATT đưa ra một hệ thống phân xử tranh chấp thương mại giữa các quốc
gia thành viên. Trong hoạt động kinh doanh quốc tế, có rất nhiều tranh chấp xảy ra giữa
các quốc gia, đòi hỏi một cơ chế quốc tế được thừa nhận toàn cầu nhằm giải quyết các vấn đề phát sinh này. (ii) Nguyên tắc
Với 38 điều được quy định trong Hiệp định cho các loại hàng hóa, dịch vụ và hình
thức thương mại khác nhau, GATT tập trung vào một số nguyên tắc sau đây:
Thứ nhất, không phân biệt đối xử (non-discrimination) đối với hàng hóa của các
nước khác nhau. Nguyên tắc này bao gồm hai điều: nguyên tắc tối huệ quốc và nguyên
tắc quốc gia. Điều I, Nguyên tắc đối xử tối huệ quốc (Most favoured nation – MFN) có
nghĩa rằng một quốc gia không được dành bất cứ sự ưu đãi cho riêng nước thành viên
nào, mà phải cho tất cả các quốc gia thành viên. Điều III, Nguyên tắc đối xử quốc gia
(National Treatment – NT) đòi hỏi mỗi quốc gia thành viên phải đối xứ một cách công
bằng giữa hàng hóa nhập khẩu (đã nhập vào bên trong biên giới nước đó) và hàng hóa nội địa.
Thứ hai, không được hạn chế định lượng xuất nhập khẩu. Tại điều XI và một số
quy định khác của GATT, quy định về việc chỉ cho phép các quốc gia sử dụng thuế quan
để bảo hộ thương mại. Các hình thức khác như hạn ngạch, giấy phép xuất nhập khẩu
hay bất kỳ biện pháp khác đều không được sử dụng.
Bên cạnh đó, GATT cũng đưa ra những nguyên tắc nhằm đảm bảo sự minh bạch
và công bằng giữa các thành viên. Các nội dung của GATT cũng được công khai, đảm
bảo các thành viên được tiếp cận đầy đủ. Các nguyên tắc này tiếp tục được kế thừa, bổ
sung và phát triển trong các hiệp định và quy định của WTO sau này. (iii) Ngoại lệ
Các ngoại lệ chung được trình bày tại điều XX, nêu ra một số trường hợp cụ thể,
trong đó các thành viên có thể được miễn trừ khỏi các quy tắc của GATT. Các quốc gia
thành viên có thể áp dụng điều này trong trường hợp họ nhận thấy rằng việc không áp
dụng các quy tắc của GATT là cần thiết nhằm mục đích bảo vệ tính đạo đức, bảo vệ sức
khỏe cộng đồng, môi trường, các sản phẩm là giá trị lao động của tù nhân, bảo vệ thương
hiệu, các sản phẩm có liên quan tới lĩnh vực khảo cổ, có giá trị nghệ thuật, bảo tồn các
nguồn tài nguyên thiên nhiên đang có nguy cơ cạn kiệt...
Để được phép thực hiện ngoại lệ nói trên, các quốc gia phải thỏa mãn được hai yêu
cầu, được gọi là hai cấp chứng minh. Cấp thứ nhất, chứng minh biện pháp, chính sách lOMoAR cPSD| 58794847
mà quốc gia này áp dụng có liên quan tới ít nhất một trong các trường hợp ngoại lệ được
nêu trong điều XX (ví dụ: sản phẩm nhập khẩu có nguy hại tới môi trường). Thứ hai,
chứng minh rằng biện pháp đưa ra sẽ không áp dụng theo cách thức, mà sau đó, trở thành
một phương tiện phân biệt đối xử tùy tiện hoặc không chính đáng cho các trường hợp
khác, và không trở thành một hình thức rào cản thương mại “trá hình” trong thương mại quốc tế.
Các ngoại lệ về an ninh được trình bày tại điều XXI, cũng cho phép các thành viên
được được miễn trừ khỏi các quy tắc trong trường hợp các hoạt động thương mại đi
ngược lại với quyền lợi an ninh của quốc gia đó, có dấu hiệu liên quan tới chất phóng
xạ hoặc chế tạo chất phóng xạ, hoạt động mua bán vũ khí, vật dụng chiến tranh cùng các
mặt hàng cung ứng cho quân đội... Ngoài ra, cho phép các quốc gia thực hiện ngoại lệ
nhằm duy trì hòa bình và an ninh quốc tế.
Cộng đồng kinh tế ASEAN (AEC)
Với lịch sử hình thành và phát triển lâu đời, Đông Nam Á là một trong những khu
vực quan trọng của nền văn minh thế giới. Bên cạnh đó, trong bối cảnh nền chính trị và
kinh tế thế giới có nhiều sự biến động trong thời gian vừa qua, vai trò của Đông Nam
Á, nơi có vị trí địa chính trị chiến lược, càng trở nên trọng yếu hơn bao giờ hết. Ảnh
hưởng của các quốc gia trong khu vực này còn được thể thông qua sự hiện diện của Hiệp
hội các Quốc gia Đông Nam Á – ASEAN5, được thành lập năm 1967 với mục đích tăng
cường tình đoàn kết và phòng chống tình trạng bạo động, bất ổn trong khu vực. Qua
nhiều thời kỳ phát triển, ASEAN đưa ra ba trụ cột quan trọng của tổ chức, bao gồm: an
ninh, văn hóa xã hội, hội nhập kinh tế. Trong đó, hội nhập kinh tế được thúc đẩy và chú
trọng trong chương trình nghị sự xuyên suốt lịch sử của
ASEAN. Cuối năm 2015, Cộng đồng Kinh tế ASEAN (ASEAN Economic
Community – AEC) chính thức được thành lập.
Sự ra đời và phát triển của AEC
Tuy AEC được thành lập vào cuối năm 2015, nhưng đây không phải là điểm bắt
đầu, cũng không phải thời điểm hoàn tất các công việc cho các cam kết về kinh tế của
ASEAN, mà là một dấu mốc quan trọng trong tiến trình hội nhập kinh tế giữa các nước trong cộng đồng.
Khái niệm hội nhập kinh tế ASEAN lần đầu tiên được đưa ra vào năm 1992 ở
Singapore, tại Hiệp định khung về Thúc đẩy hợp tác Kinh tế ASEAN, trong đó, nhấn
mạnh vai trò của sự hợp tác đối với các lĩnh vực kinh tế trọng yếu về: thương mại, công
nghiệp, năng lượng và khoáng sản, tài chính và ngân hàng, thực phẩm, nông nghiệp và
lâm nghiệp, giao thông và truyền thông. Từ đó cho tới năm 1998, các Hiệp định và Hiệp
5 Association of Southeast Asian Nations (Hiệp hội các quốc gia Đông Nam Á). lOMoAR cPSD| 58794847
định khung về thương mại, dịch vụ, đầu tư lần lượt được ký kết. Các nhà lãnh đạo
ASEAN lần đầu tuyên bố về mục tiêu hình thành cộng đồng kinh tế chung trong khối
ASEAN tại Hội nghị Thượng đỉnh ASEAN 9 vào năm 2003. Để hiện thực hóa mục tiêu
nói trên, tại các Hội nghị Bộ trưởng và Hội nghị Thượng đỉnh tiếp theo, kế hoạch tổng
thể về việc xây dựng AEC được trình bày. Các nhà lãnh đạo cũng đã đồng ý đẩy nhanh
tiến độ thực hiện thay vì cột mốc Tầm nhìn ASEAN 2020 như ban đầu. Ngày
22/11/2015, tại Hội nghị thượng đỉnh ASEAN lần thứ 27, các nhà lãnh đạo ASEAN đã
ký kết Tuyên bố Kuala Lumpur về việc thành lập AEC.
Mục tiêu và bản chất của AEC
AEC được thành lập với bốn mục tiêu chính: là thị trường đơn nhất và cơ sở sản
xuất chung; là khu vực kinh tế cạnh tranh; phát triển kinh tế cân bằng; hội nhập vào nền kinh tế toàn cầu.
Thứ nhất, hình thành một thị trường đơn nhất và cơ sở sản xuất chung, thông qua
tự do lưu chuyển hàng hoá, dịch vụ, đầu tư, vốn, lao động có tay nghề. Trong đó, lĩnh
vực hội nhập được ưu tiên là thực phẩm, nông nghiệp và lâm nghiệp.
Thứ hai, hình thành một khu vực kinh tế cạnh tranh, thông qua: các khuôn khổ
chính sách về cạnh tranh; bảo hộ người tiêu dùng; quyền sở hữu trí tuệ; phát triển cơ sở
hạ tầng; thuế quan; thương mại điện tử.
Thứ ba, phát triển kinh tế cân bằng, thông qua: các kế hoạch phát triển doanh
nghiệp vừa và nhỏ (SME); sáng kiến hội nhập nhằm thu hẹp khoảng cách phát triển trong ASEAN.
Thứ tư, hội nhập vào nền kinh tế toàn cầu, thông qua: tham vấn chặt chẽ trong đàm
phán đối tác kinh tế; nâng cao năng lực tham gia vào mạng lưới cung ứng toàn cầu.
Tuy nhiên, AEC chưa phải là một cộng đồng kinh tế gắn kết như Cộng đồng châu
Âu (European Commission - EC) do chưa có các quy định và cơ cấu tổ chức chặt chẽ
như EC. Về bản chất, AEC là đích đến của các nước ASEAN thông qua việc thực hiện
các mục tiêu kể trên, là một tiến trình hội nhập kinh tế khu vực, chưa phải là một Thỏa
thuận hay một Hiệp định với các cam kết, yêu cầu mang tính bắt buộc. AEC đã được
triển khai nhiều năm trước thời điểm 2015 và vẫn đang tiếp tục được hoàn thiện trong
tương lai thông qua các lộ trình cụ thể, tùy thuộc vào sự hợp tác giữa các quốc gia.
Các hiệp định cơ bản của AEC
Để hiện thực hóa AEC, các quốc gia đã đưa ra nhiều Hiệp định, Thỏa thuận, Sáng
kiến.... mà sau đó được các thành viên đàm phán, ký kết và thực hiện. Dưới đây là các
Hiệp định quan trọng và được thực thi tương đối đầy đủ của AEC:
- Hiệp định Thương mại Hàng hóa ASEAN (ATIGA) lOMoAR cPSD| 58794847
- Hiệp định Khung về Dịch vụ ASEAN (AFAS)
- Hiệp định về Di chuyển thể nhân trong ASEAN (MNP)
- Các Thỏa thuận Thừa nhận lẫn nhau về một số lĩnh vực dịch vụ
- Hiệp định Đầu tư Toàn diện ASEAN (ACIA)
4.1.2. Cơ hội và thách thức của các định chế quốc tế với các doanh nghiệp Việt Nam
Tổ chức thương mại thế giới (WTO)
Năm 2020 đánh dấu cột mốc 25 năm thành lập và phát triển của WTO, là bước
ngoặt của nền thương mại quốc tế. WTO đã góp phần thay đổi diện mạo của hoạt động
thương mại thế giới, cũng như là cơ sở để Việt Nam gia nhập nền kinh tế toàn cầu, thúc
đẩy hoạt động xuất nhập khẩu và tăng trưởng kinh tế. Đối với Việt Nam, WTO đã mở
ra nhiều cơ hội nhưng cũng đi kèm nhiều thách thức phải đối mặt. Cơ hội
Nhìn tổng thể, Việt Nam có rất nhiều cơ hội khi quyết định tham gia vào WTO,
trong đó phải kể đến những điểm đáng chú ý sau:
Thứ nhất, việc tham gia WTO giúp Việt Nam được hưởng hai đãi ngộ, bao gồm:
đãi ngộ tối huệ quốc (MFN) và đãi ngộ quốc gia (NT), có nghĩa rằng Việt Nam sẽ được
lợi về mức thuế bị áp khi xuất nhập khẩu hàng hóa như các thành viên hiện hữu trong WTO.
Thứ hai, việc tham gia vào WTO giúp Việt Nam tiếp cận và ổn định các thị trường
xuất khẩu. WTO có nguyên tắc khuyến khích các nước hạ rào cản thương mại và tạo
điều kiện cho tự do hóa thương mại. Tiêu chí của WTO là đảm bảo các điều kiện thương
mại ổn định, thay đổi một cách phù hợp, có thời gian để các doanh nghiệp nội địa thích
ứng kịp với sự thay đổi về chính sách thương mại. Quan trọng nhất, các hiệp định đều
do các quốc gia thương lượng, đảm bảo tiêu chí có lợi cho các bên, còn WTO chỉ đóng
vai trò là tạo ra diễn đàn cho phép sự thỏa thuận đó. Việc trở thành thành viên của WTO
giúp Việt Nam mở rộng thị trường, tạo ra các mối quan hệ kinh tế quốc tế, thu hút vốn
đầu tư và giảm thiểu rủi ro trong các hoạt động thương mại.
Thứ ba, WTO giúp Việt Nam đẩy mạnh hoạt động xây dựng, điều chỉnh chính sách
và các cơ chế quản lý, phù hợp với luật pháp và thông lệ quốc tế. WTO cho phép Việt
Nam tiếp cận thị trường toàn cầu, nhưng với điều kiện Việt Nam phải đáp ứng được
những quy định theo tiêu chuẩn quốc tế. Ngay từ lúc chính thức là thành viên đầy đủ
của WTO, Việt Nam đã bắt đầu đưa ra các Quyết định, Nghị quyết, Thông tư và các văn
bản luật khác nhằm đảm bảo phù hợp với các tiêu chí của WTO. lOMoAR cPSD| 58794847
Thứ tư, với tư cách thành viên WTO, Việt Nam có thể được giải quyết các tranh
chấp thương mại một cách công bằng hơn, đặc biệt là với các cường quốc thương mại.
Một ưu điểm của các cơ chế này là buộc các thành viên, sau khi nhận được đơn khiếu
nại từ một hoặc nhiều thành viên khác thì phải tham gia giải quyết tranh chấp dựa vào
cơ chế của WTO, thể hiện tính ràng buộc lẫn nhau như đã phân tích ở trên. Điều này
khác đối với các cơ chế tranh chấp quốc tế khác, khi các quốc gia tùy chọn việc có tham
gia giải quyết hay không.
Mục đích của cơ chế giải quyết tranh chấp là tìm ra giải pháp tích cực, có lợi cho
cả các bên tham gia tranh chấp, đồng thời phù hợp với các Hiệp định liên quan của
WTO. Hơn thế nữa, mục tiêu của WTO đảm bảo sự công bằng cho các quốc gia nói
riêng và ổn định nền thương mại quốc tế nói chung. Thách thức
Chính những cơ hội nói trên cũng đồng thời tạo ra những áp lực, thách thức đối
với Việt Nam khi gia nhập WTO.
Thứ nhất, việc gia nhập WTO đòi hỏi Việt Nam phải mở cửa thị trường và tuân thủ
các quy định chung. Việt Nam là một nước đang phát triển, với nền kinh tế tuy tiềm
năng nhưng vẫn còn non trẻ, việc hội nhập kinh tế với các nước láng giềng và khu vực
còn gặp những khó khăn nhất định, nên khi hội nhập kinh tế với các nước trên thế giới
trong khuôn khổ WTO có thể làm giảm khả năng cạnh tranh của doanh nghiệp, đặc biệt
là mất đi lợi thế về giá cả khi các sản phẩm nước ngoài được hưởng mức thuế tốt hơn.
Thứ hai, việc các doanh nghiệp chưa am hiểu hệ thống pháp luật và thông lệ quốc
tế có thể dẫn đến nhiều vụ tranh chấp không đáng có, không những thua thiệt trong hoạt
động kinh doanh mà còn phải chịu những khoản phạt lớn, thậm chí là các vấn đề pháp lý khác.
Thứ ba, áp lực về việc phải thay đổi và điều chỉnh nhanh các văn bản pháp luật để
phù hợp với quy định và lộ trình của WTO. Điều này là không hề đơn giản vì mỗi sự
thay đổi đều đem lại nhiều tác động tới hoạt động kinh doanh và ổn định xã hội. Các
văn bản thực thi WTO của Việt Nam được ban hành bởi nhiều cơ quan khác nhau, tùy
thuộc vào tính chất và quy mô của nội dung. Việc phê chuẩn sự tham gia của Việt Nam
do Quốc hội quyết định, việc thành lập các ban chỉ đạo, cơ quan phụ trách về WTO,
chiến lược phát triển... do Thủ tướng Chính phủ quyết định. Ngoài ra, các bộ, ban, ngành
ở các lĩnh vực trọng yếu, có liên quan tới thương mại và thanh toán quốc tế cũng có các
văn bản mang tính chuyên môn để đảm bảo quy định từ WTO.
Trong chặng đường 15 năm chính thức là thành viên của Tổ chức Thương mại thế
giới (WTO) (7/11/2006-7/11/2011), Việt Nam đã có nhiều cơ hội, đối mặt nhiều thách
thức nhưng đã có bước tiến dài trên con đường hội nhập. lOMoAR cPSD| 58794847
Đến nay, Việt Nam đã và đang đàm phán 17 hiệp định thương mại tự do (FTA);
trong đó, có 15 hiệp định thương mại tự do đã ký kết, có hiệu lực và 2 hiệp định thương
mại tự do đang đàm phán. Việt Nam đang là một nền kinh tế có độ mở tới 200% tổng
sản phẩm quốc nội (GDP). WTO được coi là com đường giúp Việt Nam sẵn sàng tham
gia vào nền thương mại thế giới.
Hiệp định đối tác toàn diện và tiến bộ xuyên Thái Bình Dương (CPTPP) Cơ hội
Dưới góc độ quản lý nhà nước, việc tham gia vào Hiệp định CPTPP là cơ hội giúp
Việt Nam được tiếp cận với các thị trường lớn, có thể chế và hành lang pháp lý chặt chẽ,
từ đó, buộc Việt Nam phải hoàn thiện, minh bạch hóa môi trường kinh doanh tốt hơn.
Bên cạnh đó, đây cũng là cơ hội giúp gia tăng việc làm và thu nhập. Theo nghiên cứu
của Bộ Kế hoạch & Đầu tư và Ngân hàng Thế giới, việc tham gia vào CPTPP sẽ giúp
tất cả các nhóm thu nhập trong xã hội tại Việt Nam được hưởng lợi.
Dưới góc độ kinh tế vĩ mô, tham gia TPP là cơ hội tốt để tăng trưởng kim ngạch
xuất khẩu và là cơ hội để nhiều ngành công nghiệp nội địa Việt Nam tham gia vào các
chuỗi cung ứng trong khu vực và trên toàn cầu. Một trong những đặc điểm nổi bật của
Hiệp định CPTPP là hàng rào thuế quan của phần lớn các mặt hàng xuất nhâp kḥ ẩu sẽ
được giảm đáng kể, đặc biệt tại một số thị trường lớn (Nhật Bản, Canada), mức thuế áp
dụng đối với các mặt hàng chủ lực của Việt Nam sẽ giảm dần về 0%. Theo số liệu của
Bộ Kế hoạch & Đầu tư, xuất khẩu của Việt Nam có thể tăng thêm 4,04% đến năm 2035.
Cũng theo dự báo của Ngân hàng Thế giới, xuất khẩu của Việt Nam tới các quốc gia
thuộc CPTPP sẽ tăng lên 80 tỷ USD vào năm 2030 (tương đương 25% tổng lượng xuất
khẩu). Trong khi đó, các lĩnh vực như thực phẩm, đồ uống, dệt may, hóa chất và một số
ngành sản xuất, dịch vụ khác được dự báo hưởng lợi nhiều từ việc Việt Nam tham gia Hiệp định CPTPP.
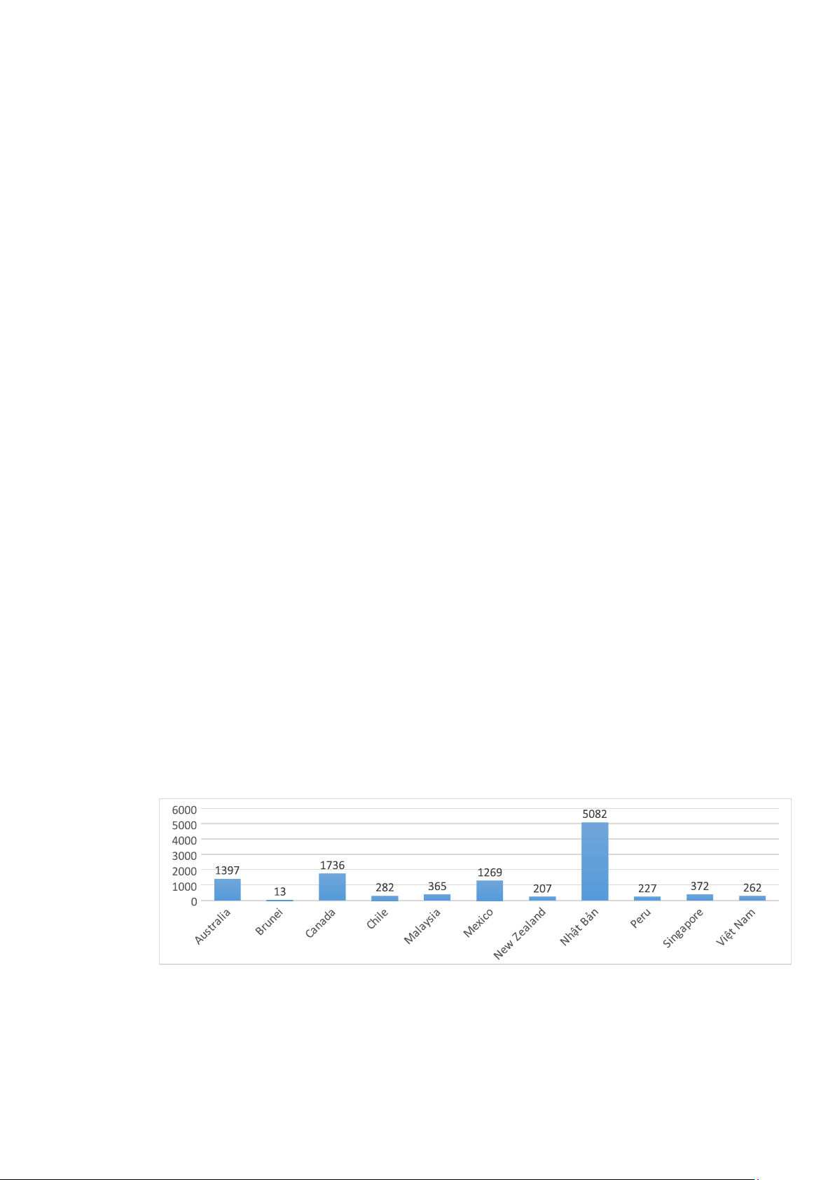
Hình 4.1. GDP các quốc gia trong khối CPTPP năm 2019 Đơn vị tính: tỷ USD
Nguồn: Trung tâm WTO và Hội nhập – VCCI (2020)
Hình 4.1 cho thấy một số thị trường lớn, nhiều tiềm năng cho Việt Nam như Nhật lOMoAR cPSD| 58794847
Bản, Canada, Úc, Mexico. Bên cạnh đó, các quốc gia tham gia Hiệp định CPTPP có thể
chia làm hai nhóm chính: nhóm các nước châu Mỹ và nhóm các nước châu Á, châu Úc.
Trong khi Việt Nam đã có quan hệ đối tác với các nước châu Á, châu Úc, cũng như am
hiểu thị trường do cùng đặc điểm văn hóa với một số nước châu Á, thì Canada, Mexico,
Peru (thuộc nhóm châu Mỹ) là các nước mà lần đầu tiên có Hiệp định FTA với Việt Nam
và mức độ am hiểu thị trường còn hạn chế. Sau hai năm đi vào thực thi CPTPP, tốc độ
tăng trưởng về kim ngạch xuất khẩu giữa Việt Nam với các quốc gia châu Mỹ đạt từ 26-
36% (Bộ Công thương, 2021). Trong đó, điển hình là thị trường Canada với tổng GDP
đứng thứ 10 thế giới năm 2019 dù quy mô dân số tương đối nhỏ với khoảng 37 triệu
người (2019). Ngoài việc là một thị trường tăng trưởng ổn định, đây cũng là nơi sinh
sống của nhiều cộng động nhập cư gốc Á như Trung Quốc, Việt Nam, Thái Lan với nhu
cầu thực phẩm, hàng tiêu dùng từ Việt Nam rất cao (Bộ Công thương, 2021). Nhờ việc
thu hút được nhiều doanh nghiệp FDI trong lĩnh vực máy móc, thiết bị, điện thoại, Việt
Nam cũng đã có sự tăng trưởng mạnh về xuất khẩu các loại hàng hóa trên đến các quốc gia Canada và Mexico.
Tại châu Úc, Australia là một trong 20 nền kinh tế lớn nhất thế giới, là một thị
trường khá quen thuộc với Việt Nam những vẫn còn rất nhiều tiềm năng. Một số loại
mặt hàng có giá trị xuất khẩu cao của Việt Nam sang thị trường này như thiết bị điện,
quần áo, giày, dép, đồ nội thất... (Báo cáo nghiên cứu Cơ hội thị trường Australia cho
Việt Nam, 2021). Nhìn chung, nhiều quốc gia trong khối CPTPP là các thị trường mới
hoặc các thị trường Việt Nam đã có cơ hội tiếp cận nhưng vẫn còn rất nhiều tiềm năng
để khai thác. Có thể nói rằng, đây là là một trong những Hiệp định mà cả Chính phủ lẫn
các doanh nghiệp Việt Nam đều đặt kỳ vọng cao. Thách thức
Bên cạnh những lợi ích mà Hiệp định CPTPP đem lại cho Việt Nam, rõ ràng cũng
đem lại ích lợi cho các quốc gia thành viên khác, có nghĩa rằng Việt Nam sẽ gặp phải
những thử thách nhất định trên nhiều khía cạnh khác nhau.
Dưới góc độ quản lý nhà nước, nhằm hoàn thiện thể chế pháp lý để thực thi được
các cam kết trong Hiệp định CPTPP theo đúng lộ trình, đòi hỏi Chính phủ Việt Nam
phải nhanh chóng ban hành Kế hoạch của Chính phủ về thực thi Hiệp định CPTPP. Từ
đó, Chính phủ thúc đẩy tiến trình và phân công công việc cho các bộ, ban, ngành trong
việc hoàn thiện các văn bản pháp luật có liên quan. Bên cạnh đó, các cam kết về dỡ bỏ
hàng rào thuế quan đồng nghĩa với việc nguồn thu ngân sách từ thuế nhập khẩu của Việt
Nam sẽ giảm đi. Chính phủ cần lưu tâm tới các khía cạnh về thuế nhập khẩu, thuế xuất
khẩu và thuế thu nhập doanh nghiệp. Về các vấn đề xã hội, sự cạnh tranh trong quá trình
hội nhập tuy giúp các doanh nghiệp nâng cao năng lực nhưng đồng thời khiến các doanh
nghiệp thiếu năng lực sẽ dần bị đào thải. Do vậy, vai trò của Chính phủ trong việc chuyển
dịch cơ cấu kinh tế, đảm bảo công ăn việc làm cho người lao động là rất quan trọng. lOMoAR cPSD| 58794847
Dưới góc độ cạnh tranh kinh tế, mặc dù Việt Nam được hưởng lợi từ một số mặt
hàng thế mạnh, nhưng có những mặt hàng khác lại là thế mạnh của các quốc gia thành
viên khác như một số loại nông sản (thịt gà, thịt lợn) hay một số lĩnh vực công nghiệp
(thép, ô tô). Đặc biệt đối với các đối tác từ châu Mỹ, khoảng cách địa lý, sự khác biệt về
ngôn ngữ, hạn chế về các tuyến vận tải hàng hóa, hành khách, thiếu thông tin thị trường
là những rào cản lớn để các doanh nghiệp Việt Nam có thể cạnh tranh với các quốc gia khác.
Cộng đồng kinh tế ASEAN (AEC)
ASEAN làm một trong các đối tác thương mại quan trọng hàng đầu của Việt Nam,
đây cũng là một trong các động lực chủ đạo giúp Việt Nam liên tục duy trì tốc độ tăng
trưởng kinh tế. Việc các quốc gia trong khu vực có thể thực hiện được các mục tiêu của
Cộng đồng kinh tế ASEAN (AEC) sẽ giúp Việt Nam mở ra các cơ hội thương mại, nhưng
đồng thời sẽ phải đối mặt với những thách thức mới. Cơ hội
Các doanh nghiệp Việt Nam được tiếp cận trực tiếp với thị trường rộng lớn, có vị
trí địa lý gần và thuận lợi, gần như 100% các loại hàng hóa được tự do lưu thông trong
khu vực. Đây là thị trường hơn 600 triệu người tiêu dùng với tổng GDP khoảng 3000 tỷ USD.
Vì ASEAN có mối quan hệ thương mại với nhiều quốc gia, khu vực khác trên thế
giới, do vậy việc gia nhập vào AEC giúp Việt Nam thu hút được vốn đầu tư trực tiếp
nước ngoài từ nhiều nguồn đa dạng hơn, đặc biệt là các nước có FTA của ASEAN vào
Việt Nam để tham gia vào chuỗi giá trị trong khu vực. Điều kiện để có thể tận dụng được
lợi thế này là môi trường kinh doanh minh bạch và bình đẳng hơn.
Bên cạnh đó, áp lực cạnh tranh từ các quốc gia có trình độ sản xuất khá tương đồng
hoặc tốt hơn cũng giúp các doanh nghiệp nội địa phải thay đổi, không chỉ về trình độ
quản lý, công nghệ mà còn về nhân lực để có thể tồn tại. Thách thức
Từ cơ hội gia nhập vào thị trường rộng lớn trong khu vực ASEAN, các doanh
nghiệp Việt Nam sẽ phải đối mặt với sức ép hàng hóa của các quốc gia Đông Nam Á
này. Khác với các mặt hàng từ các châu lục hay khu vực khác, các hàng hóa đều rất
tương đồng về mẫu mã sản phẩm tại 10 nước ASEAN.
Trước khi tham gia vào AEC, các hàng rào bảo hộ đối với các doanh nghiệp cung
cấp dịch vụ nước ngoài vào Việt Nam là tương đối nhiều và khó khăn. Đây cũng là một
trong những nguyên nhân làm giảm sự cạnh tranh và đổi mới của doanh nghiệp nội địa.
Chính vì vậy, sau khi các hàng rào này bị gỡ bỏ, làn sóng cạnh tranh khốc liệt trong lĩnh
vực dịch vụ sẽ ảnh hưởng tới các doanh nghiệp Việt Nam rất nhiều. lOMoAR cPSD| 58794847
Hiện nay, thị trường lao động Việt Nam gần như chỉ có lao động nội địa với đặc
điểm là tay nghề chưa cao, các kỹ năng ngoại ngữ, kỹ năng làm việc còn rất kém sẽ làm
xuất hiện thách thức và nguy cơ về mất việc làm ngay tại thị trường “sân nhà”.