












Preview text:
READING HANDOUTS FOR TAB1 TÀI LIỆU ĐỌC 1:
KỸ NĂNG & CHIẾN LƯỢC CHUNG I. GIỚI THIỆU
Trong phần này, định dạng chung của BÀI KIỂM TRA ĐỌC CUỐI KỲ được giới thiệu. Bài kiểm tra đọc
có BA đoạn văn khác nhau, mỗi đoạn văn có 10 câu hỏi về đoạn văn đó. Đối với các câu hỏi từ 1 đến 30 ,
bạn phải chọn câu trả lời đúng nhất A, B, C hoặc D cho mỗi câu hỏi. Điều đó có nghĩa là tất cả các câu hỏi
đều là trắc nghiệm. Sau đó, trên phiếu trả lời của bạn, bạn tìm số câu hỏi và điền vào chỗ trống tương ứng
với chữ cái của câu trả lời bạn đã chọn. Bạn trả lời tất cả các câu hỏi sau một đoạn văn dựa trên những gì
được nêu hoặc ngụ ý trong đoạn văn đó.
Bạn có 50 phút để trả lời tất cả các câu hỏi, bao gồm cả thời gian chuyển câu trả lời vào phiếu trả lời.
Các kỹ năng phổ biến (HOẶC các loại câu hỏi) bao gồm:
Trả lời đúng các câu hỏi ý chính
Trả lời đúng các câu hỏi chi tiết đã nêu
Tìm chi tiết chưa được nêu
Tìm đại từ tham chiếu
Sử dụng ngữ cảnh để xác định nghĩa của từ
II. KỸ NĂNG VÀ CHIẾN LƯỢC
1. Kỹ năng 1 : Trả lời đúng các câu hỏi ý chính
Có những câu hỏi trắc nghiệm về ý chính của một đoạn văn trong bài kiểm tra đọc hiểu. Một câu hỏi như
vậy có thể được diễn đạt theo nhiều cách khác nhau; ví dụ, bạn có thể được yêu cầu xác định chủ đề , chủ ngữ , tiêu đề , ý
chính ý tưởng , hoặc chính ý tưởng . Tất cả những câu hỏi này thực sự muốn hỏi tác giả
đang cố gắng truyền đạt quan điểm chính nào trong đoạn văn.
Hãy xem một ví dụ trắc nghiệm hỏi về chủ đề của một đoạn văn có một đoạn văn.
READING HANDOUTS FOR TAB1
Bây giờ hãy xem một ví dụ trắc nghiệm hỏi về chủ đề của một đoạn văn có hai đoạn văn.
Biểu đồ sau đây phác thảo những thông tin chính mà bạn cần nhớ về các câu hỏi ý chính.
READING HANDOUTS FOR TAB1 BÀI TẬP 1 BÀI TẬP 2
READING HANDOUTS FOR TAB1
2. Kỹ năng 2 : Trả lời đúng các câu hỏi nêu chi tiết
Câu hỏi chi tiết nêu ra hỏi về một thông tin trong đoạn văn chứ không phải toàn bộ đoạn văn. Câu trả lời
cho những câu hỏi này thường được đưa ra theo thứ tự trong đoạn văn và câu trả lời đúng thường là sự trình
bày lại những gì được đưa ra trong đoạn văn. Điều này có nghĩa là câu trả lời đúng thường diễn đạt cùng
một ý tưởng như những gì được viết trong đoạn văn, nhưng các từ không hoàn toàn giống nhau. Các câu hỏi
kiểm tra các chi tiết nêu ra thường là các câu hỏi trắc nghiệm.
Hãy xem một ví dụ trắc nghiệm hỏi về một chi tiết được nêu trong đoạn văn.
Biểu đồ sau đây phác thảo những thông tin chính mà bạn cần nhớ về các câu hỏi chi tiết đã nêu. BÀI TẬP 3
READING HANDOUTS FOR TAB1 BÀI TẬP 4
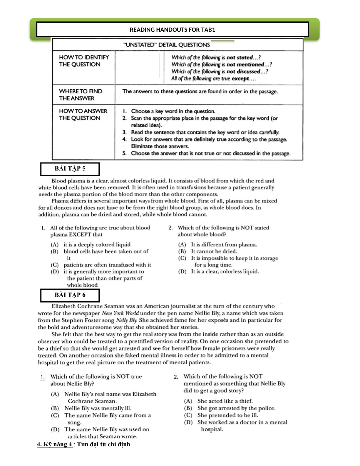
3. Kỹ năng 3 : Tìm chi tiết chưa được nêu
READING HANDOUTS FOR TAB1
Đôi khi bạn sẽ được yêu cầu trong phần đọc hiểu tìm một câu trả lời không được nêu hoặc không được đề
cập hoặc không đúng trong đoạn văn. Loại câu hỏi này thực sự có nghĩa là ba trong số các câu trả lời được
nêu, đề cập hoặc đúng trong đoạn văn, trong khi một câu trả lời thì không. Bạn nên lưu ý rằng có hai loại
câu trả lời cho loại câu hỏi này: (1) có ba câu trả lời đúng và một câu trả lời không đúng theo đoạn văn,
hoặc (2) có ba câu trả lời đúng và một câu trả lời không được đề cập trong đoạn văn.
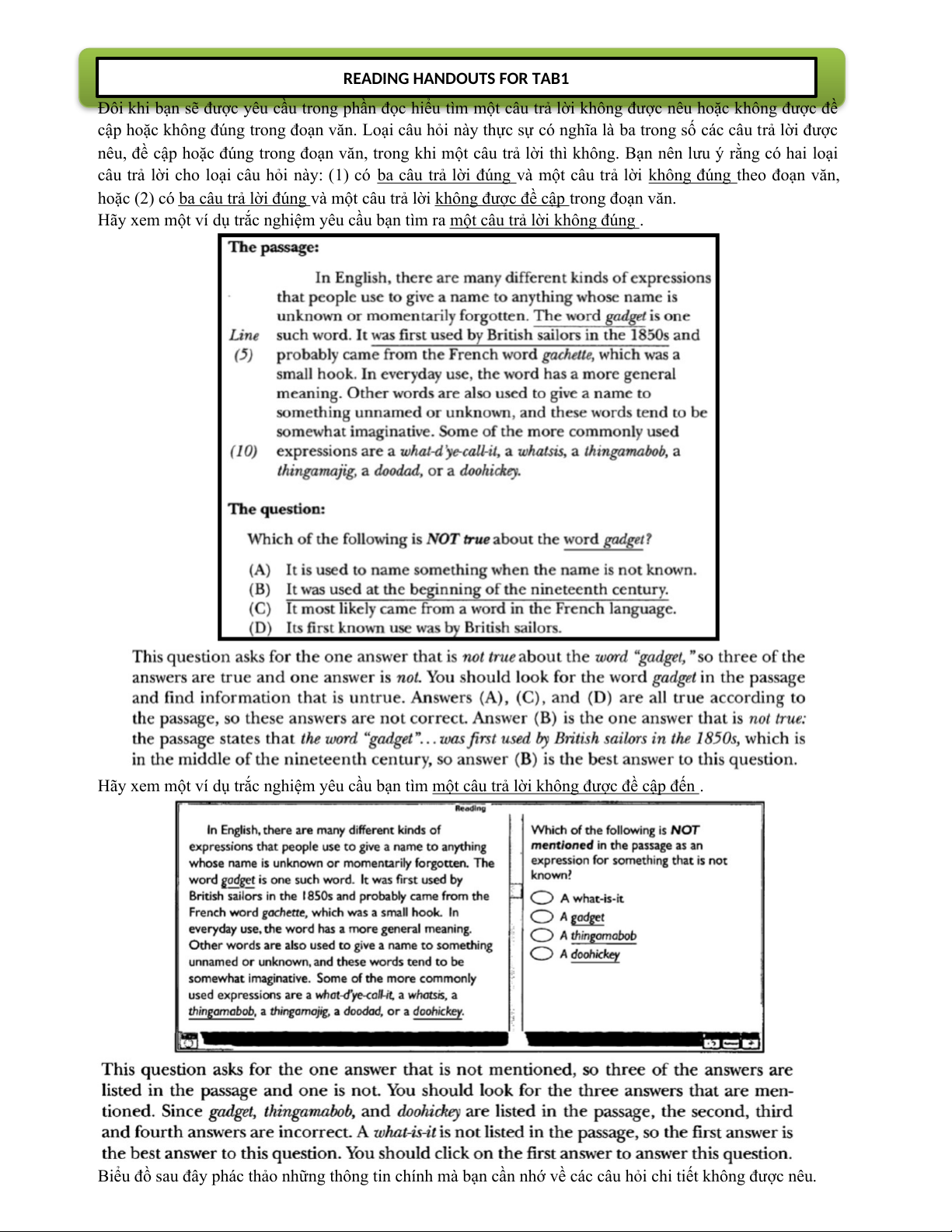
Hãy xem một ví dụ trắc nghiệm yêu cầu bạn tìm ra một câu trả lời không đúng .
Hãy xem một ví dụ trắc nghiệm yêu cầu bạn tìm một câu trả lời không được đề cập đến .
Biểu đồ sau đây phác thảo những thông tin chính mà bạn cần nhớ về các câu hỏi chi tiết không được nêu.
READING HANDOUTS FOR TAB1 BÀI TẬP 5 BÀI TẬP 6
4. Kỹ năng 4 : Tìm đại từ chỉ định
READING HANDOUTS FOR TAB1
Trong phần đọc hiểu, đôi khi bạn sẽ được yêu cầu xác định danh từ nào mà đại từ đề cập đến. Trong câu hỏi
tham chiếu đại từ, điều quan trọng là phải hiểu rằng danh từ thường được sử dụng đầu tiên trong đoạn văn
và đại từ đề cập đến nó đứng sau. Bất cứ khi nào bạn được hỏi đại từ đề cập đến danh từ nào, bạn nên nhìn
trước đại từ để tìm danh từ.
Hãy xem một ví dụ trắc nghiệm về câu hỏi tham khảo đại từ.
Biểu đồ sau đây phác thảo những thông tin chính mà bạn cần nhớ về đại từ chỉ người. BÀI TẬP 7
READING HANDOUTS FOR TAB1 BÀI TẬP 8
5. Kỹ năng 5 : Sử dụng ngữ cảnh để xác định nghĩa của từ
Bạn có thể được yêu cầu xác định nghĩa của một từ khó trong một đoạn văn đọc, một từ mà bạn không được
yêu cầu phải biết. Trong trường hợp này, đoạn văn có thể sẽ cho bạn biết rõ nghĩa của từ đó. Hãy xem một
ví dụ trắc nghiệm trong đó ngữ cảnh giúp bạn hiểu nghĩa của một từ chưa biết.
Biểu đồ sau đây phác thảo những thông tin chính mà bạn cần nhớ về các câu hỏi từ vựng.
READING HANDOUTS FOR TAB1 BÀI TẬP 9 BÀI TẬP 10
READING HANDOUTS FOR TAB1
III. BÀI KIỂM TRA THỰC HÀNH Câu hỏi 1-10
READING HANDOUTS FOR TAB1 Câu hỏi 1 1-19
(D) Hoạt động kinh doanh không thành công của Audubon
READING HANDOUTS FOR TAB1