







Preview text:
21:49, 27/01/2026
Chương 2. Biến ngẫu nhiên và Quy luật phân phối Xác suất (XSTK) - Studocu
Chương 2: Biến ngẫu nhiên và quy luật phân phối xác suất của biến ngẫu nhiên 1. Biến ngẫu nhiên Khái niệm
-Là 1 đại lượng phụ thuộc vào kết quả của phép thử ngẫu nhiên, nhận giá trị thực
-Ký hiệu X, Y... là các biến ngẫu nhiên
-x,y,... là các giá trị của biến ngẫu nhiên đó.
Ví dụ 1: Tung 1 đồng xu cân đối đồng chấy trên mặt phẳng. Gọi X là giá trị số mặt sấp hoặc mặt
ngửa xuất hiện. Khi đó X là biến ngẫu nhiên. -P(A)=p(B)=1/2
Ví dụ 2: Bắn không hạn chế số lần vào một bia ñến khi đạn trúng đích thì dừng. Gọi X là số viên
đạn bắn trượt. Khi đó X là biến ngẫu nhiên. Trúng, trượ t 1,2,3,4... [0,1] Trúng: X=0 Trượt: X=1
Ví dụ 3: Tại một bến xe buýt cứ 15 phút lại có một chuyến xe. Một hành khách tới bến vào thời
ñiểm ngẫu nhiên. Gọi X là thời gian (phút) hành khách đó phải chờ xe buýt thì X là biến ngẫu
nhiên nhận giá trị thuộc nửa đoạn [0; 15). gian [0,15] P(A)=f(t) Th i ờ
2. Phân loại biến ngẫu nhiên
Biến ngẫu nhiên rời rạc: Nếu tập giá trị của X là một tập hữu hạn hoặc vô hạn đếm được
thì X gọi là biến ngẫu nhiên rời rạc
Các biến ngẫu nhiên ở Ví dụ 1, 2 là biến ngẫu nhiên rời rạc.
Biến ngẫu nhiên liên tục: Nếu tập giá trị của X là một khoảng liên tục trên trục số hoặc
hợp của các khoảng liên tục thì X gọi là biến ngẫu nhiên liên tục.
Biến ngẫu nhiên ở Ví dụ 3 là biến ngẫu nhiên liên tục. 21:49, 27/01/2026
Chương 2. Biến ngẫu nhiên và Quy luật phân phối Xác suất (XSTK) - Studocu
Hai biến X, Y tương ứng với hai phép thử độc lập thì ta nói X, Y là hai biến ngẫu nhiên độc lập.
3. Quy luật phân phối xác suất của biến ngẫu nhiên a. Định nghĩa
-QLPPXS của biến ngẫu nhiên là sự tương ứng giữa các giá trị có thể có của nó và các xác
suất tương ứng với các giá trị đó
-Các pp để mô tả quy luật ppxs của BNN bao gồm
oBảng phân phối xác suất
oHàm phân phối xác suất (hàm tích lũy xác suất) CDF
oHànm mật độ xác suất PDF
b. Bảng phân phối xác suất
Giả sử X là biến ngẫu nhiên rời rạc nhận các giá trị x1; x2; ….; xn với các xác suất tương ứng
là p1; p2; …; pn. Bảng sau ñược gọi là bảng phân phối xác suất của X. X
X1 x2 x3 .................. xn P P1 p2 p3 pn Trong đó pi thỏa mãn:
Công thức tính xác suất:
Ví dụ 1. Tung một con xúc sắc trên mặt phẳng. Gọi X là số chấm xuất hiện khi tung con xác
sắc. Lập bảng phân phối xác suất của X. Giải:Bảng phân phối xác suất của X là: X123456 P 1/6 1/6 1/6 1/6 1/6 1/6
Ví dụ 2: Xác suất ñể một người thi ñỗ mỗi khi thi bằng lái xe là 0,3. Anh ta sẽ thi cho đến
khi đỗ mới thôi. Gọi X là số lần người đó dự thi. Lập bảng phân phối xác suất của X. Tính
xác suất để người đó phải thi không ít hơn 2 lần. Giải
-Tập giá trị của X là: {1,2,4...n} P(X=n)= Và
Khi đó bảng phân phối xác suất của X là: 21:49, 27/01/2026
Chương 2. Biến ngẫu nhiên và Quy luật phân phối Xác suất (XSTK) - Studocu X 1 2 .... n ...... P 0,3 0,7.0,3 ........ Xác suất cần tìm: P(X
c. Hàm tích lũy xác suất-CDF
-Hàm phân phối xác suất của BNN X là:
Ý nghĩa: Hàm phân phối xác suất cho biết tỷ lệ phần trăm các giá trị của X nằm về bên trái số thực x. Tính chất o oF(x) là hàm không gian
oHàm F(x) liên tục bên trái oP(
Ví dụ 1: Cho biến ngẫu nhiên rời rạc X có bảng phân phối xác suất X 0 1 2 P
Lập bảng phân phối xác suất. GIẢI Ta có:
Ví dụ 2: Cho biến ngẫu nhiên rời rạc X có bảng phân phối xác suất X 0 1 2 P 0,3 0,4 0,3
a. Lập bảng phân phối xác suất của X Giải a.
b. Tính P(0X: Biến Ngẫu Nhiên # x: giá trị Giải: 21:49, 27/01/2026
Chương 2. Biến ngẫu nhiên và Quy luật phân phối Xác suất (XSTK) - Studocu CT: P(
Cách 1: Thông qua hàm phân phối Cách 2: Tính trực tiếp -Tương tự:
4. Hàm mật độ xác suất a. Định nghĩa
-Hàm mật độ xác suất của biến ngẫu nhiên X liên tục là f(x) được xác định bởi:
-Ý nghĩa: Hàm mật độ xác suất phản ánh mức độ tập trung xác suất tại điểm x.
b. Tính chất: Nếu X là hàm mật độ xác suất f(x) thì oF(x)= oP(a Lưu ý: o o o
VÍ DỤ: Thời gian một khách hàng xếp hàng chờ phục vụ là biến ngẫu nhiên liên tục X (đơn vị:
phút) có hàm phân phối xác suất F(x)=
a. Tìm hàm mật độ xác suất của f(x) GIẢI. Bước 1: Tìm a
Vì hàm F(x) liên tục trái tại x=3 nên ta có: Khi đó ta có 21:49, 27/01/2026
Chương 2. Biến ngẫu nhiên và Quy luật phân phối Xác suất (XSTK) - Studocu f(x) = F’(x)=
b. Tìm xác suất để trong 3 người xếp hàng thì có 2 người phải chờ không quá 2 phút. Giải
-Xác suất để một khách hàng không phải chờ không quá 2 phút là
Khi đó, xác suất để trong 3 khách hàng có 2 người phải chờ không quá 2 phút là: 5. Kỳ vọng toán a. Định nghĩa:
-Cho biến ngẫu nhiên X, kỳ vọng toán là 1 số, ký hiệu EX xác định:
oNếu X là biến ngẫu nhiên rời rạc nhận các giá trị xi với xác thì
oNếu X là BNN rời rạc nhận các giá trị xi với xác suất
oNếu X là biến ngẫu nhiên liên tục với hàm mật độ f(x) thì EX= (nếu tích phân hội tụ) Ý nghĩa:
oKỳ vọng toán của X là giá trị trung bình theo xác suất của các giá trị mà biến ngẫu nhiên X nhận.
oTrong kinh tế, kỳ vọng đặc trưng cho năng suất trung bình của một phương án sản
xuất, lợi nhuận trung bình cho một danh mục đầu tư, trọng lượng trung bình của một
loại sản phẩm, tuổi thọ trung bình của một chi tiết máy, …
oĐơn vị của EX trùng với đơn vị của X
Ví dụ: Tìm kỳ vọng toán của BNN X X 1 3 4 P 0,1 a 0,3 Giải -Tìm a: a=0,6
-EX= x1*P(X=x1) + x2 * P(X=x2) + x3 * P(X=x3)=1.0,1+3.0,6 +4.0,3=3,1 21:49, 27/01/2026
Chương 2. Biến ngẫu nhiên và Quy luật phân phối Xác suất (XSTK) - Studocu Tim a: a=3/4
b. Tính chất của kỳ vọng toán
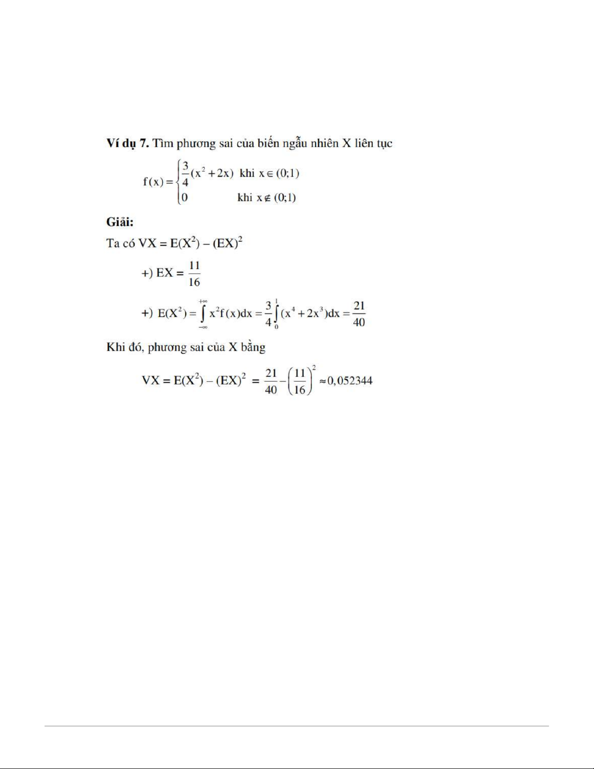
6. Phương sai và Độ lệch chuẩn a. Định nghĩa -
-Để tính toán dễ dàng hơn, ta có thể chứng minh bằng công thức: Ý nghĩa VÍ DỤ: Tìm PS của BNN X: X 1 3 4 P 0,1 0,6 0,3 21:49, 27/01/2026
Chương 2. Biến ngẫu nhiên và Quy luật phân phối Xác suất (XSTK) - Studocu 21:49, 27/01/2026
Chương 2. Biến ngẫu nhiên và Quy luật phân phối Xác suất (XSTK) - Studocu