




Preview text:
18:07, 27/01/2026
Chương 6: Kiểm Định Giả Thuyết Thống Kê - Vở Ghi Cho SV Ngoại Thương - Studocu
Chương 6: kiểm định giả thuyết về các tham số
1. Kiểm định giả thuyế về 1 tham số 1.1.
Bài toán kiểm định giả thuyết
Giả thuyết thống kê là các mệnh đề phát biểu về dạng phân phối xác suất của bnn,
về các tham số đặc trưng của bnn hoặc về tính độc lập của các bnn.
Trong chương trình chúng ta chỉ giải quyết bài toán kiểm định giả thuyết về các tham số của bnn X: EX = VX: ❑2 P = M/N
Giả thuyết ban đầu được đưa ra gọi là giả thuyết gốc, ký hiệu H0, giả thuyết đối
lập được gọi là đối thuyết H1. (H0;H1) là cặp giả thuyết thống kê, khi trình bày: H0: H1:
VD1: nhu cầu tb về 1 loại hàng hóa năm nay cao hơn năm trước , biết nhu cầu tb
năm trước là 1000đv/tháng. Hãy phát biểu cặp giả thuyết thống kê
Gọi X là nhu cầu về loại hàng hóa đó thì EX = u là nhu cầu tb về loại hàng hóa đó. Cặp gttk là: H0: u = 1000 H1: u > 1000
VD2: tỉ lệ svien xs của FTU trong năm 2021 là 20%. Do đổi mới hoạt động dạy và
học làm cho tỉ lệ này có xu hướng tăng lên. Hãy viết cặp gttk cho bài toán đó.
Gọi p là tỉ lệ sinh viên tốt nghiệp xs của FTU H0: p = 0,2 H1: p > 0,2
VD3: Giá chứng khoán A là bnn X (nghìn đồng) ~ N(u, ❑ 2) với ❑2 = 1.96 (2021)
Có ý kiến cho rằng đại dịch covid 19 đã được kiểm soát tác động tới giá chứng
khoán đó, làm cho giá ổn định. Hãy phát biểu cặp gttk H0: ❑ = 1.96 2 H1: ❑ < 1.96 2 1.2.
Các bước giải bài toán kiểm định gttk
Bước 1: phát biểu cặp gttk
Bước 2: chọn tiêu chuẩn kiểm định
G = f(X1,X2,…,Xn) phụ thuộc vào tham số kiểm định
Bước 3: Xây dựng miền bác bỏ
Wa = P(G thuộc Wa | Ho đúng) = a
Bước 4: tính Gqs = f(X1,X2,…,Xn)
Bước 5: KL: Gqs thuộc Wa: bác bỏ Ho, chấp nhận H1
Gquansat ko thuộc Wa: chưa có cơ sở để bác bỏ Ho 1.3.
Kiểm định giả thuyết về kỳ vọng toán
X ~ N(u;sig2) có gt Ho: u = uo (uo đã biết). a 18:07, 27/01/2026
Chương 6: Kiểm Định Giả Thuyết Thống Kê - Vở Ghi Cho SV Ngoại Thương - Studocu
W = (X1,X2,….,Xn) có w = (x1,x2,…,xn). Hãy cho kết luận về gt đó
TCKĐ: T = (Xngang – uo)/S căn n ~ T(n-1)
TH1: H1: u # uo: Wa = {U: |U| > Ua/2}
TH2: H1: u > uo: Wa = {U: U > Ua}
TH3: H1: u < uo: Wa = {U: U < -Ua}
Từ w => xngang, s => Tqsat = (xngang – uo) /s căn n
Tqsuat thuộc Wa: bác bỏ Ho, nhận H1
T qsuat ko thuộc Wa: chưa có cơ sở để bác bỏ Ho
VD4: Trọng lượng đóng bao của các bao gạo là bnn có pp chuẩn với trọng lượng trung
bình là 50 kg. nghi ngờ đóng thiếu, ngta cân 25 bao thu được kqua: trọng 48-48,5 48,5-49 49-49.5 49.5-50 t50-50.5 lượng Số bao 2 5 10 6 2
Với a = 1%, biết t24(0.01) = 2.402. hãy cho kl về nghi ngờ trên
0.27 chứ ko phải 0.07 1.4. KĐGT về phương sai 18:08, 27/01/2026
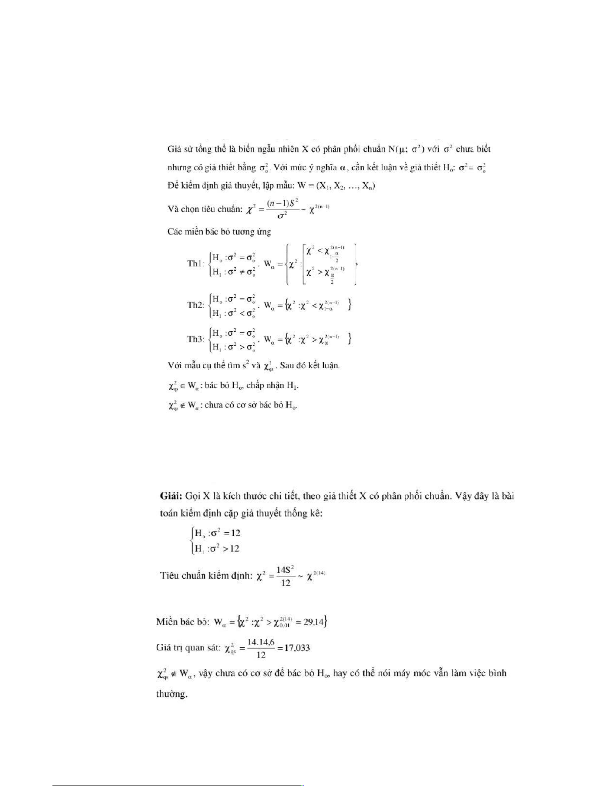
Chương 6: Kiểm Định Giả Thuyết Thống Kê - Vở Ghi Cho SV Ngoại Thương - Studocu Chép linh
VD: để kiểm tra độ chính xác của 1 máy, ngta đo ngẫu nhiên kích thước của 15 chi tiết và
tính được s2 = 14,6. Với a = 1%. Hãy kết luận máy móc có hđ bth hay ko, biết rằng kích
thước chi tiết là bnn ~ pp chuẩn với sigo2 = 12. Cho biết gtth X2(14)/0,01 = 29.14
Ước lượng ktc 3 tham số, kđgt về 1 tham số 18:08, 27/01/2026
Chương 6: Kiểm Định Giả Thuyết Thống Kê - Vở Ghi Cho SV Ngoại Thương - Studocu 18:08, 27/01/2026
Chương 6: Kiểm Định Giả Thuyết Thống Kê - Vở Ghi Cho SV Ngoại Thương - Studocu