



















Preview text:
Thẻ 1
Đề cương Điện và Từ CÂU 1:
Định luật coulomb: Lực hút hoặc đẩy giữa hai hạt ( hoặc điện tích
điểm) có điện tích q1 và q2 cách nhau 1 khoảng r có độ lớn là: 𝐹 = 𝑞1.𝑞2 2 4πε.ε𝑜.𝑟 −12 2 2
ε𝑜: hằng số điện trong chân không 8, 85 * 10 (𝐶 /𝑁𝑚 ) :
ε hằng số điện môi trường CÂU 2: Cách tính điện trường:
- Theo định nghĩa: Điện trường E tại một điểm được định nghĩa bằng
lực tĩnh điện F tác dụng nên một điện tích thử qo đặt tại điểm đó: 𝐸 = 𝐹 𝑞𝑜
- Điện trường E của một điện tích điểm q cách nó một khoảng r là: 𝐸 = 𝑞 2 4πε.ε𝑜.𝑟
Chiều của E :+ hướng ra ngoài điện tích nếu điện tích dương
+ hướng vào trong điện tích nếu điện tích âm Cách tính thế :
- Theo định nghĩa : Điện thế tại một điểm bằng: 𝑊 𝑉 = − ∞𝑓 𝑞𝑜
𝑊 : công khi điện tích di chuyển từ một điểm xa vô cùng tới 1 điểm f ∞𝑓
qo: điện tích thử dương mà điện trường đã tác dụng lên nó và thực hiện công - Tìm V từ E:
Hiệu điện thế giữa 2 điểm bất kì bằng: 𝑓
𝑉𝑓 − 𝑉𝑖 =− ∫ 𝐸. 𝑑𝑠 𝑖
Khi Vi mà ở vô cực và Vi=0 thì ta có điện thế tại 1 điểm là ( trong trường hợp này là Vf) 𝑓 𝑉 =− ∫ 𝐸. 𝑑𝑠 𝑖
- Thế do các điện tích điểm gây ra:(q có thể dương hoặc âm)
Thế do một điện tích điểm gây ra ở cách điện tích đó một khoảng r bằng: 𝑉 = 𝑞 4πε.ε𝑜.𝑟
Thế do một tập các điện tích điểm gây ra: 𝑛 𝑛 𝑉 = ∑ 𝑉𝑖 = 1 ∑ 𝑞𝑖 4πε.ε𝑜 𝑟𝑖 𝑖=1 𝑖=1
- Thế do một sự phân bố điện tích liên tục gây ra: 𝑉 = 1 ∫ 𝑑𝑞 4πε.ε𝑜 𝑟 CÂU 3:
Cách tính điện trường, điện thế của vật có điện tích phân bố đều:
Vòng dây mảnh: ( với điện thế thay cận từ 0 đến 2πr )
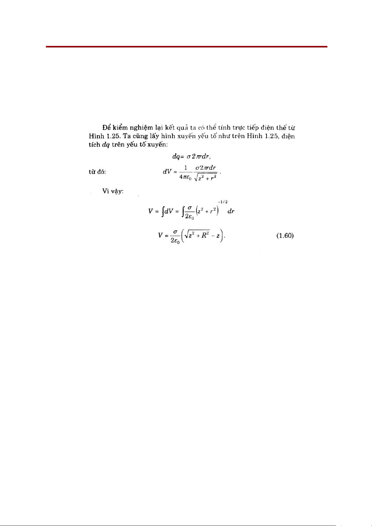
Đĩa tròn tích điện đều: CÂU 4: Định luật Gauss
εε𝑜∮ 𝐸𝑑𝐴 = 𝑞 Câu 5.
Mối liên hệ điện thế, điện trường. Thí dụ áp dụng ● Thí dụ áp dụng: Câu 6:
Tụ điện. Điện trường, hđt, điện dung
của tụ phẳng, trụ, cầu. Nluong điện
trường tồn trữ trong tụ điện.
● Tụ điện : là 1 hệ gồm 2 vật dẫn (bản tụ) đặt rất
gần nhau, các đường sức đi ra từ 1 bản và đi
vào bản còn lại, điện tích trên 2 mặt bằng nhau và trái dấu.
*Phần điện trường của tụ cầu, trụ, 2 bản trong
đề btap, nó tương tự mấy câu phía trên *Năng lượng trong tụ: W = ½(q1V1+q2V2)
do q1 = -q2 = q => W = ½q(V1-V2) = ½ qU = ½(q^2/C) = ½ CU^2 Câu 7:
*câu 8 ko phải cminh đâu nma t thêm vào cho kỹ thôi
Năng lượng và mật độ năng lượng của điện trường:
● Năng lượng điện trường:
* Mật độ năng lượng điện trường: Câu 8:
Định luật Biot-Savart-Laplace *Phát biểu:
=> Biểu thứ (7.9) đc gọi là định luật Biot-Savart CÂU 9 Dòng điện thẳng