



















Preview text:
Chương 18: Quản lý Dự án (pp. 388–0)
Quản lý Dự án: Mục tiêu Chương
Kết quả Học tập
Sau khi học xong chương này, bạn sẽ có thể:
18-1 Giải thích các vấn đề chính liên quan đến quản lý dự án.
18-2 Mô tả cách áp dụng Phương pháp Đường Găng (CPM).
18-3 Giải thích cách đưa ra quyết định đánh đổi thời gian/chi phí trong dự án.
18-4 Mô tả cách tính xác suất hoàn thành dự án đúng hạn bằng phương pháp PERT. Bạn nghĩ sao?
Hãy nghĩ về một dự án mà bạn đã từng tham gia, có thể là trong công việc hoặc trong một hoạt động sinh
viên nào đó. Những yếu tố nào đã khiến dự án của bạn trở nên khó khăn hoặc dễ dàng để hoàn thành?
Tổng quan về Quản lý Dự án
Thế vận hội Olympic đã được tổ chức từ hơn 2.500 năm trước. Athens, Hy Lạp, được chọn vào năm 1997
để đăng cai Thế vận hội 2004, nhưng ban tổ chức đã đánh giá thấp chi phí và đánh giá quá cao khả năng
đáp ứng tiến độ xây dựng và chuẩn bị của thành phố. Họ gặp phải vô số chậm trễ trong thi công và đội chi
phí, buộc họ phải hoàn thành khối lượng công việc của bảy năm chỉ trong vòng bốn năm. Việc chậm trễ
trong việc xây dựng mái kính và thép của sân vận động chính đã khiến toàn bộ khu tổ hợp này chỉ được
bàn giao vào cuối tháng 7, ngay trước lễ khai mạc ngày 13 tháng 8 năm 2004. Ủy ban Olympic Quốc tế
thậm chí đã từng cân nhắc yêu cầu Athens hủy tổ chức Thế vận hội.
Những vấn đề tương tự cũng xảy ra với các địa điểm thi đấu khác. Chậm trễ trong xây dựng đã ảnh hưởng
đến chính các vận động viên Hy Lạp, buộc họ phải rời khỏi trung tâm huấn luyện. Ngay cả công trình nổi
tiếng Parthenon – vốn dự kiến được trùng tu để phục vụ Thế vận hội – vẫn còn bị phủ giàn giáo khi khách
du lịch bắt đầu đến. Mặc dù vậy, các địa điểm vẫn được hoàn thành – dù một số chỉ kịp hoàn tất vào phút
chót – và Thế vận hội đã diễn ra thành công.
Một dự án là một sáng kiến mang tính tạm thời và thường được thiết kế riêng, bao gồm nhiều nhiệm vụ
và hoạt động nhỏ hơn cần được phối hợp và hoàn thành để đảm bảo toàn bộ sáng kiến được hoàn tất đúng
thời hạn và trong phạm vi ngân sách. Giả sử một doanh nghiệp nhỏ đang cân nhắc mở rộng cơ sở vật chất.
Một số công việc chính trong kế hoạch mở rộng bao gồm thuê kiến trúc sư, thiết kế cơ sở mới, thuê nhà
thầu, xây dựng cơ sở vật chất, mua sắm và lắp đặt thiết bị, cũng như tuyển dụng và đào tạo nhân sự. Mỗi
nhiệm vụ chính này lại bao gồm nhiều nhiệm vụ con cần được thực hiện theo đúng trình tự, đúng thời
gian và trong ngân sách cho phép. Tổng thể, những hoạt động này cấu thành một dự án.
Ở nhiều doanh nghiệp, dự án chính là quy trình tạo giá trị cốt lõi, và các hoạt động chính trong chuỗi giá
trị xoay quanh dự án. Một số ví dụ bao gồm: nghiên cứu thị trường, xây dựng, sản xuất phim, phát triển
phần mềm, xuất bản sách và tổ chức đám cưới. Ở các doanh nghiệp khác, dự án được sử dụng không
thường xuyên, chủ yếu để triển khai chiến lược mới hoặc hỗ trợ thiết kế và cải tiến chuỗi giá trị – như lập
báo cáo thường niên, lắp đặt hệ thống xử lý nguyên vật liệu tự động, hoặc đào tạo nhân viên sử dụng hệ
thống máy tính mới. Ngay cả các tòa án Hoa Kỳ cũng sử dụng các dự án để giải quyết tranh chấp liên
quan đến thi công xây dựng.
Exhibit 18.1 – Ví dụ về Dự án trong các Bộ phận Chức năng khác nhau ảnh hưởng đến Chuỗi Giá trị
Bộ phận chức năng Ví dụ về Dự án Marketing
Lắp đặt hệ thống điểm bán hàng (POS) Giới thiệu sản phẩm mới Nghiên cứu thị trường
Kế toán và Tài chính
Kiểm toán hệ thống tài chính và kế toán Lập kế hoạch IPO Đánh giá tuân thủ quy định
Hệ thống Thông tin
Phát triển phần mềm Nâng cấp hệ thống phần mềm toàn công ty Lắp đặt phần cứng
Quản trị Nhân sự
Triển khai chương trình đào tạo Đánh giá hiệu suất và chế độ lương thưởng
hằng năm Thiết kế chính sách phúc lợi mới Kỹ thuật
Thiết kế linh kiện mới Ứng dụng hệ thống thiết kế hỗ trợ máy tính (CAD)
Lắp đặt hệ thống tự động hóa nhà máy Chuỗi cung ứng –
Triển khai hệ thống kho tự động Xây dựng hệ thống theo dõi đơn hàng Xây Logistics dựng trung tâm logistics Vận hành
Bảo trì định kỳ cho nhà máy lọc dầu Triển khai phần mềm ERP Lắp đặt hệ (Operations) thống quản lý doanh thu
Nhiều công ty đã đăng tuyển các vị trí liên quan đến quản lý dự án, và một bài viết trên blogspot.com từng nói:
“Sinh viên học quản lý dự án nên hướng ống nhòm của mình về phía Đông London và quan sát một nghiên
cứu điển hình sống động. Thế vận hội London là một dự án sẽ được triển khai ngay trước mắt chúng ta, và
điều mà chúng ta thấy – ít nhất với những người đam mê quản lý dự án – còn thú vị và mang tính học thuật
hơn cả bản thân các trận thi đấu.”
Quản lý dự án tốt đảm bảo rằng các nguồn lực của tổ chức được sử dụng hiệu quả và hiệu suất cao. Điều
này đặc biệt quan trọng vì các dự án thường cắt ngang qua nhiều phòng ban, chức năng hoặc thậm chí
nhiều công ty khác nhau. Ngoài ra, hầu hết các dự án đều mang tính độc nhất, đòi hỏi phải tùy chỉnh và
phản ứng linh hoạt với các thách thức mới.
Ngày nay, quản lý dự án ngày càng trở nên quan trọng trong việc đạt được các mục tiêu bền vững về môi
trường, xã hội và kinh tế. Những vị trí công việc mới đang xuất hiện như: quản lý dự án môi trường, quản
lý an toàn và sức khỏe, kiểm toán môi trường, và quản lý tuân thủ về bền vững – tất cả đều yêu cầu kỹ
năng quản lý dự án. Hoạt động xanh ngày càng phổ biến trong xây dựng, quản lý chất thải, thu mua, tái
chế và các dự án tiết kiệm năng lượng. Kỹ năng quản lý dự án là yếu tố thiết yếu để phối hợp nhiều lĩnh
vực chuyên môn khác nhau trong một dự án nhằm đạt được mục tiêu bền vững toàn phần hoặc một phần.
18-1. Phạm vi của Quản lý Dự án
Hầu hết các dự án đều trải qua các giai đoạn giống nhau từ khi bắt đầu đến khi hoàn tất. Các giai đoạn
này tạo nên vòng đời dự án và là nền tảng cho quản lý dự án hiệu quả.
1. Xác định (Define): Dự án được triển khai để đáp ứng một nhu cầu cụ thể; do đó, bước đầu tiên là
phải xác định rõ mục tiêu, trách nhiệm, kết quả cần bàn giao và thời hạn hoàn thành. Một cách
phổ biến để ghi nhận các thông tin này là thông qua bản mô tả công việc cụ thể và có thể đo
lường. Ví dụ, mục tiêu của một cuộc kiểm toán kế toán có thể là:
“Kiểm toán báo cáo tài chính của công ty và nộp báo cáo vào ngày 1 tháng 12 để đánh giá độ
chính xác theo chuẩn mực kế toán được chấp nhận tại Hoa Kỳ. Phí kiểm toán không vượt quá 200.000 USD.”
2. Lập kế hoạch (Plan): Trong giai đoạn này, xác định các bước cần thiết để thực hiện dự án, phân
công ai sẽ làm gì, và xây dựng lịch trình thực hiện. Kế hoạch thường bao gồm chia nhỏ dự án
thành các hoạt động cụ thể và ước lượng thời gian thực hiện mỗi hoạt động sao cho phù hợp với thời hạn tổng thể.
3. Tổ chức (Organize): Gồm các hoạt động như thành lập nhóm dự án, phân bổ tài nguyên, tính
toán chi phí, đánh giá rủi ro, chuẩn bị tài liệu dự án và đảm bảo thông tin thông suốt. Giai đoạn
này cũng cần chỉ định một quản lý dự án làm người lãnh đạo chính.
4. Kiểm soát (Control): Đánh giá mức độ đạt được mục tiêu dự án và điều chỉnh khi cần thiết.
Kiểm soát bao gồm việc thu thập và đánh giá báo cáo tiến độ, quản lý thay đổi so với kế hoạch,
và phản ứng với những tình huống có thể ảnh hưởng tiêu cực đến dự án.
5. Kết thúc (Close): Giai đoạn này gồm tổng hợp thống kê, giải phóng hoặc phân công lại nhân sự,
và lập danh sách các bài học kinh nghiệm đã rút ra.
18-1 a. Vai trò của Quản lý Dự án và Các Thành viên Nhóm
Các quản lý dự án (Project Manager) có trách nhiệm rất lớn. Công việc của họ là xây dựng một nhóm
hiệu quả, tạo động lực cho họ, đưa ra lời khuyên và hỗ trợ, đảm bảo dự án phù hợp với chiến lược của
công ty, đồng thời chỉ đạo và giám sát toàn bộ quá trình thực hiện từ đầu đến cuối. Bên cạnh việc quản lý
dự án, họ còn phải quản lý mối quan hệ giữa nhóm dự án, tổ chức chủ quản và khách hàng. Quản lý dự án
cũng cần có đủ chuyên môn kỹ thuật để giải quyết các tranh chấp giữa các chuyên gia chức năng.
Quản lý dự án giỏi nhận thức rằng các vấn đề về con người cũng quan trọng như các vấn đề kỹ thuật. Một
số nguyên tắc giúp quản lý dự án thành công gồm:
● Quản lý từng cá nhân và cả nhóm dự án như một thể thống nhất.
● Củng cố cam kết và sự hào hứng của nhóm.
● Giữ cho tất cả mọi người được thông tin đầy đủ.
● Xây dựng sự đồng thuận và thỏa thuận trong nhóm.
● Trao quyền cho nhóm dự án.
Trong một tổ chức chức năng điển hình, các dự án thường cắt ngang qua nhiều bộ phận và ranh giới tổ chức.
Custom Research Inc.: Các Hoạt động Quản lý Dự án
Thành lập năm 1974 và có trụ sở tại Minneapolis, Custom Research Inc. (CRI) là một công ty tư nhân
thực hiện các nghiên cứu thị trường khảo sát cho nhiều công ty khác nhau. Phần lớn các dự án của họ hỗ
trợ khách hàng trong việc phát triển sản phẩm mới trong các ngành hàng tiêu dùng, y tế và dịch vụ. Việc
đáp ứng yêu cầu của khách hàng phụ thuộc vào khả năng thực hiện hiệu quả các quy trình được ghi chép
rõ ràng và đo lường được, cấu thành nên các dự án nghiên cứu thị trường của CRI.
Ban chỉ đạo của CRI đã cô đọng các yêu cầu cho mỗi dự án nghiên cứu thành bốn yếu tố cốt lõi: ● Chính xác ● Đúng thời hạn ● Đúng ngân sách
● Đáp ứng hoặc vượt kỳ vọng của khách hàng
Trước khi thu thập dữ liệu khảo sát đầu tiên, các tiêu chí xác định bốn yêu cầu trên được thống nhất với
khách hàng thông qua phỏng vấn giữa lãnh đạo dự án và các giám đốc điều hành. Dù mỗi dự án đều được
thiết kế riêng, quy trình thực hiện của CRI gần như tuân theo cùng một chuỗi bước giữa các dự án.
CRI đã phát triển và sử dụng rộng rãi một cẩm nang thực hiện dự án dành cho phỏng vấn. Các báo cáo
nội bộ được gọi là “tổng kết chất lượng dự án” được thực hiện cho mọi nghiên cứu để theo dõi lỗi xảy ra
ở bất kỳ bước nào trong quy trình. CRI đo lường độ chính xác của kết quả và chất lượng của các cuộc
phỏng vấn trực tiếp và qua điện thoại.
Kết thúc mỗi dự án, khách hàng được khảo sát để đánh giá mức độ hài lòng tổng thể dựa trên kỳ vọng của
họ. Hằng tháng, kết quả phản hồi của khách hàng được tổng hợp và phân phối đến toàn bộ nhân viên.
Ngoài ra, các đánh giá nội bộ sau dự án cũng được thực hiện đối với nhóm hỗ trợ và các nhà cung cấp chính.
18-1b. Cấu trúc Tổ chức
Cách một dự án được tích hợp vào cơ cấu tổ chức ảnh hưởng rất lớn đến hiệu quả của nó. Một số tổ chức
áp dụng cấu trúc tổ chức dự án thuần túy, nơi các thành viên nhóm chỉ làm việc cho một dự án cụ thể
và báo cáo trực tiếp cho quản lý dự án. Cách tiếp cận này giúp việc quản lý trở nên dễ dàng hơn vì nhóm
dự án có thể được thiết kế tối ưu với đầy đủ kỹ năng cần thiết. Tuy nhiên, điều này có thể dẫn đến lãng
phí tài nguyên do trùng lặp, ví dụ như mỗi dự án có một nhân sự riêng cho bộ phận CNTT.
Ngược lại, cấu trúc tổ chức chức năng thuần túy đặt các dự án vào từng phòng ban chức năng, ví dụ
như sản xuất hay R&D. Cách này cho phép nhân viên làm nhiều dự án cùng lúc và vẫn có “nhà” để về.
Nhưng lại bỏ qua thực tế rằng dự án thường xuyên vượt ra khỏi ranh giới các phòng ban. Khi chỉ giao dự
án cho một bộ phận chức năng, việc giao tiếp giữa các phòng ban trở nên khó khăn và hiệu quả của các
dự án mang tính liên kết hệ thống sẽ bị hạn chế.
Một giải pháp thực tiễn hơn là sử dụng cấu trúc tổ chức ma trận (matrix structure), trong đó các
nguồn lực được “cho mượn” cho dự án nhưng vẫn thuộc quyền kiểm soát của phòng ban chức năng. Quản
lý dự án có vai trò điều phối công việc giữa các phòng ban, giúp giảm trùng lặp và thúc đẩy giao tiếp
trong toàn tổ chức. Tuy nhiên, việc này đòi hỏi sự thương lượng tài nguyên. Các quản lý chức năng có thể
không muốn “nhường” nhân lực, và nhân viên tham gia dự án đôi khi ưu tiên công việc hằng ngày của họ
hơn là công việc của dự án – khiến cho việc kiểm soát dự án trở nên khó khăn hơn với người quản lý dự án.
18-1c. Các Yếu tố giúp Dự án Thành công
Không phải dự án nào cũng thành công. Các dự án công nghệ thông tin nổi tiếng với tỷ lệ thất bại cao.
Một nghiên cứu ở Hoa Kỳ cho thấy hơn 30% các dự án phần mềm bị hủy bỏ trước khi hoàn thành và
hơn 50% vượt gấp đôi chi phí dự kiến ban đầu. Hình 18.2 tóm tắt các yếu tố chính giúp hoặc cản trở sự thành công của dự án.
Exhibit 18.2 – Các Yếu tố Hỗ trợ và Cản trở Thành công Dự án
Yếu tố Hỗ trợ Thành công Dự án
Yếu tố Cản trở Thành công Dự án
Mục tiêu rõ ràng và được đồng thuận Mục tiêu không rõ ràng
Sự ủng hộ từ lãnh đạo cấp cao
Thiếu nhà tài trợ từ lãnh đạo
Lãnh đạo mạnh từ quản lý dự án
Thiếu khả năng xây dựng và tạo động lực cho nhóm
Định nghĩa dự án rõ ràng
Định nghĩa dự án mơ hồ
Ước lượng thời gian và chi phí chính xác
Thiếu dữ liệu chính xác và đầy đủ
Tinh thần làm việc nhóm cao
Quan hệ cá nhân và tinh thần nhóm kém
Sử dụng hiệu quả công cụ quản lý dự án
Sử dụng không hiệu quả các công cụ quản lý Kênh giao tiếp rõ ràng
Giao tiếp kém giữa các bên liên quan
Đủ tài nguyên và thời gian hợp lý
Thiếu nguồn lực và áp lực thời gian không hợp lý
Phản ứng tích cực với xung đột
Không thể giải quyết xung đột
Hershey Foods: Cơn ác mộng mùa Halloween
Vài năm trước, Tập đoàn Hershey Foods quyết định triển khai hệ thống ERP (Hoạch định Nguồn lực
Doanh nghiệp) cùng với hai phần mềm khác từ các nhà cung cấp khác nhau – đồng thời – ngay giữa mùa
vận chuyển bận rộn nhất. Dự án vốn được lên kế hoạch kéo dài 4 năm, nhưng bị ép rút xuống còn 30
tháng, dẫn đến hậu quả nghiêm trọng.
Khi hệ thống mới đi vào hoạt động, các nhà bán lẻ bắt đầu đặt hàng số lượng lớn cho mùa tựu trường và
lễ Halloween. Hai tháng sau, Hershey vẫn gặp khó khăn trong xử lý đơn hàng qua hệ thống mới, gây ra
chậm trễ giao hàng và nhiều đơn bị thiếu sản phẩm. Hệ thống mới đòi hỏi sự thay đổi lớn trong cách nhân
viên Hershey làm việc – điều mà có thể chưa được dự tính đầy đủ trong thiết kế quản lý dự án.
Một chuyên gia phân tích nhận xét rằng hầu hết các công ty thường triển khai hệ thống ERP theo cách
tiếp cận từng bước, đặc biệt khi có nhiều nhà cung cấp tham gia.
Kết luận của phần 18-1:
Đảm bảo thành công của một dự án phụ thuộc vào việc có mục tiêu và mục đích rõ ràng, hệ thống báo cáo
và kênh giao tiếp minh bạch, quy trình ước lượng thời gian và nguồn lực hợp lý, sự hợp tác và cam kết
giữa các thành viên, kỳ vọng thực tế, khả năng giải quyết xung đột hiệu quả, và có được sự tài trợ từ lãnh đạo cấp cao. Phần Hân dịch
18-1 b Cơ cấu tổ chức
Cách một dự án phù hợp trong cơ cấu tổ chức của một công ty sẽ ảnh hưởng đến
hiệu quả của nó. Một số tổ chức sử dụng cơ cấu tổ chức dự án thuần túy, theo đó các
thành viên trong nhóm được phân công làm việc hoàn toàn cho dự án và chỉ báo cáo cho
giám đốc dự án. Cách tiếp cận này giúp việc quản lý dự án dễ dàng hơn, bởi vì các nhóm
dự án có thể được thiết kế hiệu quả nhờ việc tập hợp đúng sự kết hợp kỹ năng cần thiết.
Tuy nhiên, nó có thể dẫn đến sự kém hiệu quả do trùng lặp nguồn lực trong toàn tổ chức,
ví dụ: có một nhân viên hỗ trợ công nghệ thông tin riêng cho từng dự án.
Cơ cấu tổ chức chức năng thuần túy triển khai dự án hoàn toàn trong phạm vi
các phòng ban chức năng, như sản xuất hay nghiên cứu & phát triển. Mặc dù cách tiếp
cận này cho phép các thành viên nhóm làm việc đồng thời trên nhiều dự án khác nhau và
cung cấp một “nơi thuộc về” cho dự án, nhưng nó bỏ qua một thực tế quan trọng: trong
một tổ chức chức năng điển hình, một dự án thường cắt ngang qua các ranh giới tổ chức.
Việc phân công dự án hoàn toàn cho các bộ phận chức năng khiến việc giao tiếp trong
toàn tổ chức trở nên khó khăn và có thể hạn chế hiệu quả của các dự án cần có góc nhìn mang tính hệ thống.
Một giải pháp thực tiễn là sử dụng cơ cấu tổ chức ma trận (matrix organizational
structure), trong đó các nguồn lực được “cho mượn” cho các dự án nhưng vẫn duy trì sự
kiểm soát đối với chúng. Quản lý dự án điều phối công việc xuyên suốt các phòng ban.
Cách tiếp cận này giúp giảm thiểu sự trùng lặp nguồn lực và tạo điều kiện thuận lợi cho
việc giao tiếp trong toàn tổ chức, nhưng đòi hỏi phải có sự thương lượng về nguồn lực.
Các trưởng bộ phận chức năng có thể miễn cưỡng trong việc cung cấp nguồn lực, và
những nhân viên được phân công cho dự án có thể xem dự án như ưu tiên thấp hơn so với
công việc chức năng thường ngày của họ, khiến quản lý dự án khó kiểm soát dự án.
18-1 c Các yếu tố để dự án thành công
Không phải lúc nào các dự án cũng thành công. Các dự án công nghệ thông tin nổi tiếng
có tỷ lệ thất bại cao. Một nghiên cứu tại Hoa Kỳ cho thấy hơn 30% dự án phần mềm bị
hủy bỏ trước khi hoàn thành và hơn một nửa có chi phí gần gấp đôi so với ước tính ban đầu.
Các yếu tố góp phần vào sự thành công
Các yếu tố cản trở sự thành công của dự của dự án án
Các mục tiêu rõ ràng và được thống nhất
Các mục tiêu mơ hồ, không rõ ràng
Sự hỗ trợ của lãnh đạo cấp cao
Thiếu người bảo trợ từ lãnh đạo cấp cao
Khả năng lãnh đạo mạnh mẽ của giám đốc dự Không có khả năng phát triển và tạo động
Các yếu tố góp phần vào sự thành công
Các yếu tố cản trở sự thành công của dự của dự án án án lực cho con người
Định nghĩa dự án rõ ràng
Định nghĩa dự án kém, không rõ ràng
Ước lượng chính xác về thời gian và chi phí Thiếu độ chính xác và toàn vẹn của dữ liệu
Làm việc nhóm và hợp tác
Quan hệ cá nhân và làm việc nhóm kém Sử Sử
dụng công cụ quản lý dự án không hiệu
dụng hiệu quả các công cụ quản lý dự án quả
Kênh truyền thông rõ ràng
Truyền thông kém giữa các bên liên quan
Nguồn lực đầy đủ và thời hạn hợp lý
Áp lực thời gian phi lý và thiếu nguồn lực
Phản ứng mang tính xây dựng đối với xung đột
Không có khả năng giải quyết xung đột
Exhibit 18.2 Các yếu tố góp phần và cản trở sự thành công của dự án
Hershey Foods: Ác mộng Halloween
Cách đây vài năm, Tập đoàn Hershey Foods quyết định triển khai một hệ thống
hoạch định nguồn lực doanh nghiệp (ERP) cùng với các gói phần mềm bổ trợ từ hai nhà
cung cấp khác, đồng thời trong một trong những mùa vận chuyển bận rộn nhất. Dự án
vốn được hình dung ban đầu là kéo dài bốn năm đã bị rút ngắn xuống chỉ còn 30 tháng,
dẫn đến hậu quả thảm khốc. Khi hệ thống được đưa vào hoạt động, các nhà bán lẻ bắt đầu
đặt mua số lượng lớn kẹo cho mùa tựu trường và lễ Halloween. Hai tháng sau đó, công ty
vẫn gặp khó khăn trong việc xử lý đơn hàng qua hệ thống mới, dẫn đến tình trạng giao
hàng chậm trễ và các đơn hàng bị thiếu. Hệ thống mới đòi hỏi những thay đổi to lớn
trong cách thức làm việc của nhân viên Hershey, điều mà có thể đã không được giải
quyết thỏa đáng trong thiết kế quản lý dự án. Một nhà phân tích nhận xét rằng hầu hết các
công ty triển khai hệ thống ERP theo cách thức từng bước, đặc biệt khi có sự tham gia
của các ứng dụng từ nhiều nhà cung cấp. Philip Lewis/Alamy
Đảm bảo sự thành công của dự án phụ thuộc vào việc có các mục tiêu và chỉ tiêu
được xác định rõ ràng, mối quan hệ báo cáo và các kênh truyền thông minh bạch, các quy
trình tốt để ước tính thời gian và những yêu cầu về nguồn lực khác, sự hợp tác và cam kết
giữa tất cả các thành viên trong nhóm dự án, những kỳ vọng thực tế, khả năng giải quyết
xung đột hiệu quả, và sự tài trợ từ lãnh đạo cấp cao.
18-2 Các kỹ thuật lập kế hoạch, lập tiến độ và kiểm soát dự án
Mọi quyết định quản lý dự án đều liên quan đến ba yếu tố: thời gian, nguồn lực và chi
phí. Nhiều kỹ thuật từ lâu đã được sử dụng để hỗ trợ việc lập kế hoạch, lập tiến độ và
kiểm soát dự án. Các bước chính bao gồm: 1.
Xác định dự án (Project Definition): Xác định các hoạt động cần hoàn
thành và trình tự thực hiện chúng. 2.
Lập kế hoạch nguồn lực (Resource Planning): Với mỗi hoạt động, xác
định nhu cầu về nguồn lực: nhân sự, thời gian, tiền bạc, thiết bị, vật liệu, v.v. 3.
Lập tiến độ dự án (Project Scheduling): Xác định lịch trình thời gian để
hoàn thành từng hoạt động. 4.
Kiểm soát dự án (Project Control): Thiết lập các biện pháp kiểm soát phù
hợp để theo dõi tiến độ và xây dựng các kế hoạch thay thế nhằm dự phòng các vấn đề có
thể xảy ra trong việc đáp ứng tiến độ đã định.
Có nhiều phần mềm hỗ trợ, chẳng hạn như Microsoft Project™, giúp các quản lý
dự án lập kế hoạch và quản lý dự án. Mặc dù chúng ta sẽ không thảo luận chi tiết về các
phần mềm này, nhưng chúng ta sẽ giới thiệu các kỹ thuật nền tảng được sử dụng trong
phần mềm quản lý dự án hiện đại.
Để minh họa cách những bước này được áp dụng trong quản lý dự án, chúng ta sẽ
sử dụng một ví dụ đơn giản. Wildcat Software Consulting, Inc. giúp các công ty triển
khai các dự án tích hợp phần mềm. Raj Yazici được chỉ định làm quản lý dự án, phụ
trách điều phối việc thiết kế và cài đặt hệ thống phần mềm mới. Trong các phần tiếp theo,
chúng ta sẽ xem xét những nhiệm vụ khác nhau liên quan đến việc xác định dự án, lập kế
hoạch nguồn lực, lập tiến độ dự án và kiểm soát dự án mà anh ấy sẽ phải đối mặt trong
vai trò giám đốc dự án.
18-2 a Xác định dự án (Project Definition)
Bước đầu tiên là xác định các mục tiêu và kết quả bàn giao (deliverables) của dự án.
Ông Yazici và nhóm dự án của mình đã thống nhất các tuyên bố sau: •
Mục tiêu dự án: Phát triển một gói phần mềm tích hợp trong phạm vi ngân
sách đã định và thời hạn hoàn thành dự án đã cam kết, đáp ứng tất cả các yêu cầu của hệ
thống đồng thời cung cấp khả năng giao tiếp thích hợp với các hệ thống cũ. •
Kết quả bàn giao: (1) gói phần mềm mới, (2) triển khai thành công gói
phần mềm, (3) đào tạo trước cho đội ngũ bán hàng và nhân viên vận hành hệ thống PC.
Tiếp theo, ông Yazici cần xác định các hoạt động cụ thể cần thiết để hoàn thành
dự án và trình tự thực hiện chúng. Hoạt động (activities) là những công việc riêng biệt
tiêu tốn nguồn lực và thời gian. Hoạt động tiền nhiệm trực tiếp (immediate
predecessors) là những hoạt động phải được hoàn thành ngay trước khi một hoạt động
khác có thể bắt đầu. Mối quan hệ thứ tự (precedence relationships) đảm bảo rằng các
hoạt động được thực hiện theo đúng trình tự khi chúng được lập tiến độ.
Danh sách ban đầu các hoạt động và mối quan hệ thứ tự liên quan đến dự án tích
hợp phần mềm được tóm tắt trong Hình 18.3. Ví dụ, hoạt động A và B có thể bắt đầu bất
kỳ lúc nào vì chúng không phụ thuộc vào việc hoàn thành các hoạt động trước đó. Tuy
nhiên, hoạt động C không thể bắt đầu cho đến khi cả hoạt động A và B đều đã hoàn
thành. Ông Yazici và nhóm của mình đã xem xét và thảo luận danh sách này nhiều lần để
đảm bảo rằng không có hoạt động nào bị bỏ sót trong phần xác định dự án.
Việc xác định danh sách các hoạt động trong một dự án thường được hỗ trợ bằng
cách xây dựng cấu trúc phân rã công việc (work breakdown structure – WBS), tức là
chia nhỏ một dự án thành các phần hoặc hạng mục có thể quản lý được, giúp đảm bảo
rằng tất cả các yếu tố công việc cần thiết để hoàn thành dự án đều được xác định. Cấu
trúc phân rã công việc là một cây phân cấp các hạng mục cuối cùng sẽ được nhóm dự
án thực hiện trong suốt quá trình dự án.
Một cấu trúc phân rã công việc cho phép nhóm dự án đi sâu đến mức chi tiết phù
hợp khi xác định các hoạt động. Ví dụ, hoạt động A có thể được chia nhỏ thành các
nhiệm vụ riêng lẻ như: xác định mục tiêu, xây dựng ngân sách, xác định thời hạn hoàn
thành, và xác định nhân sự.
Việc quyết định cấu trúc phân rã công việc phù hợp phụ thuộc vào cách nhìn nhận trách
nhiệm và sự chịu trách nhiệm trong việc hoàn thành các nhiệm vụ, cũng như cấp độ mà
nhóm dự án muốn kiểm soát ngân sách dự án và thu thập dữ liệu chi phí. Hoạt Hoạt động tiền động
Mô tả hoạt động nhiệm trực tiếp
Xác định mục tiêu dự án phần mềm, ngân sách, thời hạn A
hoàn thành, và nhân sự có thể tham gia Không có B
Kiểm kê các giao diện và tính năng phần mềm cũ và mới Không có C
Tập hợp nhóm và phân bổ công việc A, B
Thiết kế và phát triển mã cho cơ sở dữ liệu mới từ cơ sở D dữ liệu cũ C E
Thiết kế và phát triển mã cho mạng PC C F
Kiểm tra và gỡ lỗi mã mạng PC E
Thiết kế và phát triển mã cho đội ngũ bán hàng bên G C ngoài H
Kiểm tra và gỡ lỗi toàn bộ hệ thống mới D, G, F I
Đào tạo nhân viên vận hành hệ thống PC và cơ sở dữ liệu D, F J
Đào tạo đội ngũ bán hàng bên ngoài H
Kiểm tra beta trong hai tuần đối với hệ thống mới cùng K
với hệ thống dự phòng cũ I, J
Hình 18.3 Các hoạt động dự án và mối quan hệ thứ tự
Các hoạt động và trình tự của chúng thường được thể hiện bằng đồ họa thông
qua mạng lưới dự án (project network). Một mạng lưới dự án bao gồm một tập hợp các
vòng tròn hoặc ô vuông gọi là nút (nodes), đại diện cho các hoạt động, và một tập hợp
các mũi tên gọi là cung (arcs), xác định mối quan hệ thứ tự giữa các hoạt động. Cách
biểu diễn này được gọi là mạng lưới hoạt động–trên–nút (activity-on-node, AON network representation).
Mạng lưới dự án cho dự án tích hợp phần mềm được thể hiện trong Hình 18.4.
Bạn có thể đối chiếu thông tin trong Hình 18.3 với mạng lưới này.
18-2b Lập kế hoạch nguồn lực (Resource Planning)
Lập kế hoạch nguồn lực bao gồm việc xây dựng các ước tính về thời gian để thực hiện
từng hoạt động, các nguồn lực khác có thể cần đến như nhân lực và thiết bị, cũng như
một ngân sách thực tế. Thời gian thực hiện hoạt động có thể được ước tính từ dữ liệu lịch
sử của các công việc tương tự hoặc dựa vào sự phán đoán và kinh nghiệm của các nhà
quản lý và nhân viên thực hiện công việc đó.
Kiểm soát chi phí là một phần quan trọng trong quản lý dự án. Điều này đòi hỏi
phải có công tác lập ngân sách tốt, mà trước hết cần ước tính chi phí để hoàn thành các
hoạt động. Hình 18.5 cho thấy thời gian và chi phí ước tính cho các hoạt động trong dự
án tích hợp phần mềm. Chúng ta sẽ sử dụng những chi phí này ở phần sau của chương. Ký hiệu Hoạt động Thời gian Chi phí bình hoạt
Mô tả hoạt động
tiền nhiệm bình thường thường ước động trực tiếp (tuần) tính ($)
Xác định mục tiêu dự án phần
mềm, ngân sách, hạn hoàn A
thành và nhân sự có thể tham Không có 3 1.200 gia
Kiểm kê các giao diện và tính B
năng phần mềm cũ và mới Không có 5 2.500
Tập hợp nhóm và phân công C công việc A, B 2 500
Thiết kế và phát triển mã từ cơ D
sở dữ liệu cũ sang cơ sở dữ liệu C 6 300 mới Ký hiệu Hoạt động Thời gian Chi phí bình hoạt
Mô tả hoạt động
tiền nhiệm bình thường thường ước động trực tiếp (tuần) tính ($)
Thiết kế và phát triển mã cho E mạng PC C 5 6.000
Kiểm thử và gỡ lỗi mã mạng F E 3 9.000 PC
Thiết kế và phát triển mã cho G
đội ngũ bán hàng bên ngoài C 4 4.400
Kiểm thử và gỡ lỗi toàn bộ hệ H thống mới D, G, F 3 3.000
Đào tạo nhân viên vận hành hệ I
thống PC và cơ sở dữ liệu D, F 4 4.000
Đào tạo đội ngũ bán hàng bên J H 2 3.200 ngoài
Kiểm thử beta hai tuần cho hệ K
thống mới với hệ thống dự I, J 2 1.800 phòng cũ
Hình 18.5. Các hoạt động công việc, thời gian và chi phí của dự án Wildcat Software Consulting, Inc. Phần Hương dịch
18-2 c Phương pháp Đường găng (Critical Path Method – CPM)
Phương pháp đường găng (CPM) là một phương pháp để lập lịch và kiểm soát các hoạt động của dự án.
Đường găng (critical path) là chuỗi các hoạt động có tổng thời gian dài nhất và xác định thời gian hoàn
thành toàn bộ dự án.
Việc hiểu đường găng là rất quan trọng trong quản lý dự án, bởi vì bất kỳ sự chậm trễ nào trong các hoạt
động trên đường găng đều sẽ làm trì hoãn toàn bộ dự án.
1. N: Số hiệu (Identification number) của hoạt động.
2. T: Thời gian bình thường để hoàn thành hoạt động.
3. ES: Thời điểm bắt đầu sớm nhất của hoạt động.
4. EF: Thời điểm kết thúc sớm nhất của hoạt động.
5. LS: Thời điểm bắt đầu muộn nhất của hoạt động.
6. LF: Thời điểm kết thúc muộn nhất của hoạt động.
7. ST: Thời gian dự trữ – khoảng thời gian một hoạt động có thể bị trì hoãn mà không ảnh
hưởng đến ngày hoàn thành toàn bộ dự án. → Công thức:
8. ST=LS−ES=LF−EFST = LS - ES = LF - EFST=LS−ES=LF−EF
CPM đưa ra các giả định sau:
• Mạng lưới dự án xác định đúng trình tự công việc theo công nghệ và quy trình.
• Các hoạt động được giả định là độc lập với nhau, với ngày bắt đầu và ngày kết thúc được xác định rõ ràng.
• Thời gian ước lượng cho mỗi hoạt động là chính xác và ổn định.
• Một khi hoạt động đã bắt đầu thì sẽ được tiến hành liên tục cho đến khi hoàn thành.
Các khái niệm cơ bản trong CPM
Để hiểu CPM, ta cần định nghĩa một số thuật ngữ. Các nút trong sơ đồ mạng dự án sẽ được thay bằng các
ô vuông chứa thông tin chi tiết (như minh họa trong Hình 18.6).
Hình 18.7 minh họa mạng lưới dự án tích hợp phần mềm sau khi đã tính toán đầy đủ thông tin.
Cách tính thời gian sớm nhất (Forward Pass)
Đối với mỗi hoạt động, ta tính thời gian bắt đầu sớm nhất (ES) và thời gian kết thúc sớm nhất (EF)
bằng cách di chuyển từ đầu đến cuối dự án (gọi là forward pass). Các quy tắc: • Quy tắc 1: EF=ES+TEF = ES + TEF=ES+T
→ Thời gian hoàn thành sớm nhất = thời gian bắt đầu sớm nhất + thời gian thực hiện. • Quy tắc 2:
ES của một hoạt động = giá trị EF lớn nhất của tất cả các hoạt động tiền nhiệm.
Nếu chỉ có một tiền nhiệm → ES = EF của tiền nhiệm đó. Ví dụ (theo Hình 18.7):
• Hoạt động A: ES = 0, EF = 0 + 3 = 3
• Hoạt động B: ES = 0, EF = 0 + 5 = 5
• Hoạt động C (có A và B là tiền nhiệm) → ES = max(3,5) = 5. EF = 5 + 2 = 7.
• Hoạt động G chỉ có một tiền nhiệm (C) nên ES = EF của C.
Thời gian EF của hoạt động cuối cùng chính là thời gian ngắn nhất hoàn thành dự án.
Trong ví dụ: 22 tuần.
Cách tính thời gian muộn nhất (Backward Pass)
Sau khi có ES và EF, ta tính thời gian bắt đầu muộn nhất (LS) và thời gian kết thúc muộn nhất (LF)
bằng cách đi từ cuối dự án ngược về đầu: • Quy tắc 3: LS=LF−TLS = LF - TLS=LF−T • Quy tắc 4:
LF của một hoạt động = giá trị LS nhỏ nhất của tất cả các hoạt động kế tiếp.
Nếu chỉ có một kế tiếp → LF = LS của kế tiếp đó. Ví dụ:
• Hoạt động K (cuối cùng): LF = 22, LS = 22 - 2 = 20.
• Hoạt động J và I (tiền nhiệm của K) → LF = 20.
• Hoạt động F có 2 kế tiếp (H và I), ES(H) = 15, ES(I) = 16 → LF(F) = min(15,16) = 15.
Độ dự trữ (Slack Time – ST)
Sau khi tính xong ES, EF, LS, LF, ta tính độ dự trữ (ST):
ST=LS−ES=LF−EFST = LS - ES = LF - EFST=LS−ES=LF−EF Ví dụ: • Hoạt động A: ST = 2
• Hoạt động B: ST = 0 → phải bắt đầu ngay từ thời điểm 0
• Hoạt động G: ST = 4 (có thể trễ 4 tuần mà không ảnh hưởng tiến độ dự án).
Đường găng (Critical Path – CP)
• Đường găng = chuỗi dài nhất trong mạng lưới.
• Các hoạt động trên đường găng có ST = 0.
• Nếu chậm trễ một hoạt động trên đường găng → toàn bộ dự án sẽ chậm.
Ví dụ: Đường găng của dự án là:
B – C – E – F – H – J – K
Thời gian: 22 tuần. Chi phí dự án
• Tổng chi phí hoàn thành dự án trong 22 tuần: 35,900 USD.
• Chi phí các hoạt động trên đường găng: 26,000 USD (chiếm 72.4% tổng chi phí).
• Hoạt động trên đường găng phải hoàn thành đúng hạn.
• Nếu muốn “thư giãn” thì nên chọn hoạt động G, vì có 4 tuần dự trữ.
Tóm lại: CPM giúp nhà quản trị:
1. Xác định thời gian tối thiểu hoàn thành dự án.
2. Nhận diện các hoạt động quan trọng (trên đường găng).
3. Quản lý rủi ro bằng cách tận dụng thời gian dự trữ ở các hoạt động không găng. Phần Linh dịch
18-3 Sự đánh đổi giữa thời gian và chi phí
Một trong những lợi ích của Phương pháp Đường găng là khả năng xem xét việc rút ngắn thời gian hoạt
động bằng cách bổ sung thêm nguồn lực cho các hoạt động đã chọn, từ đó giảm thời gian hoàn thành tổng
thể của dự án. Điều này thường được gọi là "Ép tiến độ dự án". Ép tiến độ dự án nghĩa là giảm tổng thời
gian hoàn thành dự án để đáp ứng thời hạn đã sửa đổi. Tuy nhiên, việc này cũng đi kèm với chi phí. Do
đó, cần phải đánh giá sự đánh đổi giữa thời gian hoàn thành nhanh hơn và chi phí phát sinh.
Bước đầu tiên là xác định lượng thời gian có thể rút ngắn mỗi hoạt động và chi phí liên quan, như được
thể hiện trong Biểu đồ 18.11. Thời gian tối thiểu là thời gian ngắn nhất có thể để hoàn thành hoạt động
một cách thực tế. Chi phí rút gọn là tổng chi phí bổ sung liên quan đến việc hoàn thành một hoạt động
trong thời gian dừng chứ không phải trong thời gian bình thường. Chúng tôi giả định rằng thời gian và chi
phí bình thường dựa trên điều kiện làm việc và thực hành công việc bình thường, do đó là những ước tính
chính xác. Một số hoạt động không thể bị ép tiến độ do tính chất của nhiệm vụ. Trong Biểu đồ 18.11,
điều này thể hiện rõ khi thời gian bình thường và thời gian crash cũng như chi phí bình thường và thời
gian crash bằng nhau. Ví dụ, các hoạt động F, H, J và K không thể bị dừng. Nếu bạn xem xét nội dung
của các hoạt động này, bạn sẽ thấy rằng các hoạt động H và K liên quan đến việc kiểm tra và gỡ lỗi phần
mềm hệ thống mới, và các hoạt động I và J liên quan đến việc đào tạo mọi người sử dụng phần mềm mới
này. Theo đánh giá của các nhà quản lý dự án, những
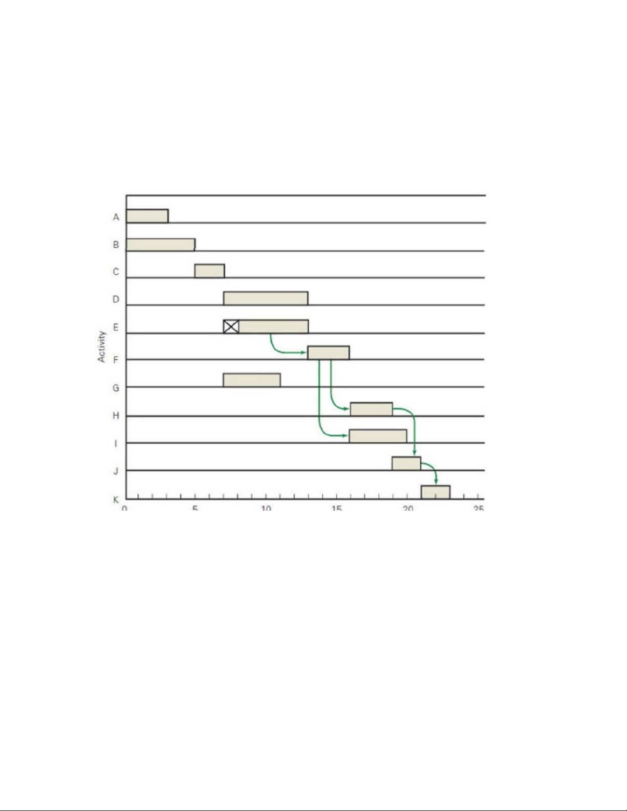
Biểu đồ 18.10 Ví dụ về biểu đồ Gantt.
Biểu đồ 18.11 Dữ liệu dự án phần mềm Wildcat bao gồm thời gian và chi phí sự cố
Exhibit 18.11 Dữ liệu dự án phần mềm Wildcat bao gồm thời gian và chi phí Crash Ký hiệu Hoạt động Thời gian
Thời gian Chi phí Bình Chi phí Hoạt
Tiền nhiệm Bình thường Crash thường Crash động
Mô tả Hoạt động trực tiếp (tuần) (tuần) (USD) (USD)
Xác định mục tiêu dự án
phần mềm, ngân sách, hạn A
chót, và nhân sự có thể có none 3 1 1,200 2,000
Kiểm kê phần mềm mới và
cũ, các giao diện và tính B năng none 5 3 2,500 3,500
Tập hợp nhóm và phân bổ C công việc A, B 2 1 500 750
Thiết kế và phát triển mã
chuyển đổi từ cơ sở dữ liệu D cũ sang mới C 6 3 300 450
Thiết kế và phát triển mã E cho mạng PC C 5 3 6,000 8,400
Kiểm thử và gỡ lỗi mã F mạng PC E 3 3 9,000 9,000
Thiết kế và phát triển mã cho lực lượng bán hàng G làm việc từ xa C 4 3 4,400 5,500
Kiểm thử và gỡ lỗi toàn bộ H hệ thống mới D, G, F 3 3 3,000 3,000 Đào tạo nhân viên vận
hành hệ thống PC và cơ sở I dữ liệu D, F 4 2 4,000 6,000
Đào tạo lực lượng bán hàng J ngoài hiện trường H 2 2 3,200 3,200
Thử nghiệm beta hai tuần
của hệ thống mới với hệ K thống sao lưu cũ I, J 2 2 1,800 1,800
các hoạt động công việc không thể được đẩy nhanh bằng cách thêm bất kỳ nguồn lực bổ sung nào.
Ví dụ, trong dự án phát triển phần mềm, hoạt động A có thể được hoàn thành trong một tuần với chi phí
2.000 đô la thay vì thời gian thông thường là ba tuần với chi phí 1.200 đô la. Một giả định quan trọng khi
crash là thời gian có thể rút ngắn đến bất kỳ mức nào trong khoảng crash time, với chi phí tăng thêm tỷ lệ
thuận. Nói cách khác, mối quan hệ giữa thời gian và chi phí được giả định là tuyến tính, như minh họa
trong Exhibit 18.12 cho hoạt động A. Độ dốc của đường này là chi phí sự cố trên một đơn vị thời gian và
được tính bằng Phương trình 18.1.