





Preview text:
CHƯƠNG 1: CƠ SỞ LÝ THUYẾT MÁY ĐIỆN
Bài số 1-1 Một mạch từ có từ trở 9 = 1500At/Wb. Trên mạch từ người
ta quấn một cuộn dây bằng nhôm có số vòng là N = 200vòng, khi đặt
điện áp một chiều U = 24V lên cuộn dây thì dòng điện là I = 3A. Xác
định từ thông trong lõi thép và điện trở của cuộn dây. S.t.đ của cuộn dây:
F = N × I = 200N × 3 = 600A/vg Từ thông trong lõi thép:
Điện trở của cuộn dây:
Bài số 1-2. Một mạch từ được làm bằng các lá thép có chiều dài trung
bình l = 1.3m và tiết diện ngang S = 0.024m2. Cuộn dây quấn trên
mạch từ có N = 50vòng, điện trở R = 0.82 và khi nối nguồn một chiều
vào cuộn dây thì dòng điện qua cuộn dây là 2A. Từ trở của mạch từ
trong điều kiện này là 9 = 7425At/Wb. Xác định cường độ từ cảm và
điện áp nguồn cung cấp. Từ thông trong lõi thép: Từ cảm trong lõi thép:
Điện áp của nguồn điện:
U = R × I = 0.82 × 2 = 1.64V
Bài số 1-3. Một mạch từ có chiều dài trung bình l = 1.4m và tiết diện
ngang S = 0.25m2. Dây quấn kích thích quấn trên mạch từ có N =
140vòng, điện trở R = 30 . Xác định điện áp nguồn cần thiết để từ cản
trong lõi bằng 1.56T. Cho rằng từ trở của mạch từ trong trường hợp này là 9 = 768At/Wb. Từ thông trong lõi thép: S.t.đ của cuộn dây:
Dòng điện chạy trong cuộn dây:
Điện áp nguồn cung cấp
U = 0.3 × 2.139 = 0.82 × 2 = 64.17V
Bài số 1-4. Một lõi thép hình xuyến được làm bằng vật liệu sắt từ có
chiều dài trung bình l = 1.4m và tiết diện ngang S = 0.11m2. Độ từ thẩm
của lõi thép là 1.206×10-3Wb/At.m. Xác định từ trở của mạch từ. Từ trở của mạch từ:
Bài số 1-5. Một mạch từ có chiều dài trung bình l = 0.8m và tiết diện
ngang S = 0.06m2. Độ từ thẩm tương đối của lõi thép là r = 2167. Cuộn
dây quấn trên mạch từ có N = 340vòng, điện trở R = 64 và được nối
nguồn một chiều 56V. Xác định từ cảm trong lõi thép.
Dòng điện đi qua cuộn dây: S.t.đ của cuộn dây:
F = N × I = 340 × 0.875 = 297.5Av Từ trở của mạch từ: Từ thoong trong lõi thép: Từ cảm trong lõi thép:
Bài số 1-6. Một mạch từ gồm hai nửa hình xuyến bằng vật liệu khác
nhau được ghép lại thành một hình xuyến có tiết diện ngang S = 0.14m2
và từ trở tương ứng của hai nửa vòng xuyến là 650 At/Wb và 244
Av/Wb. Cuộn dây có N = 268 vòng, R = 5.2 quấn trên mạch từ hình
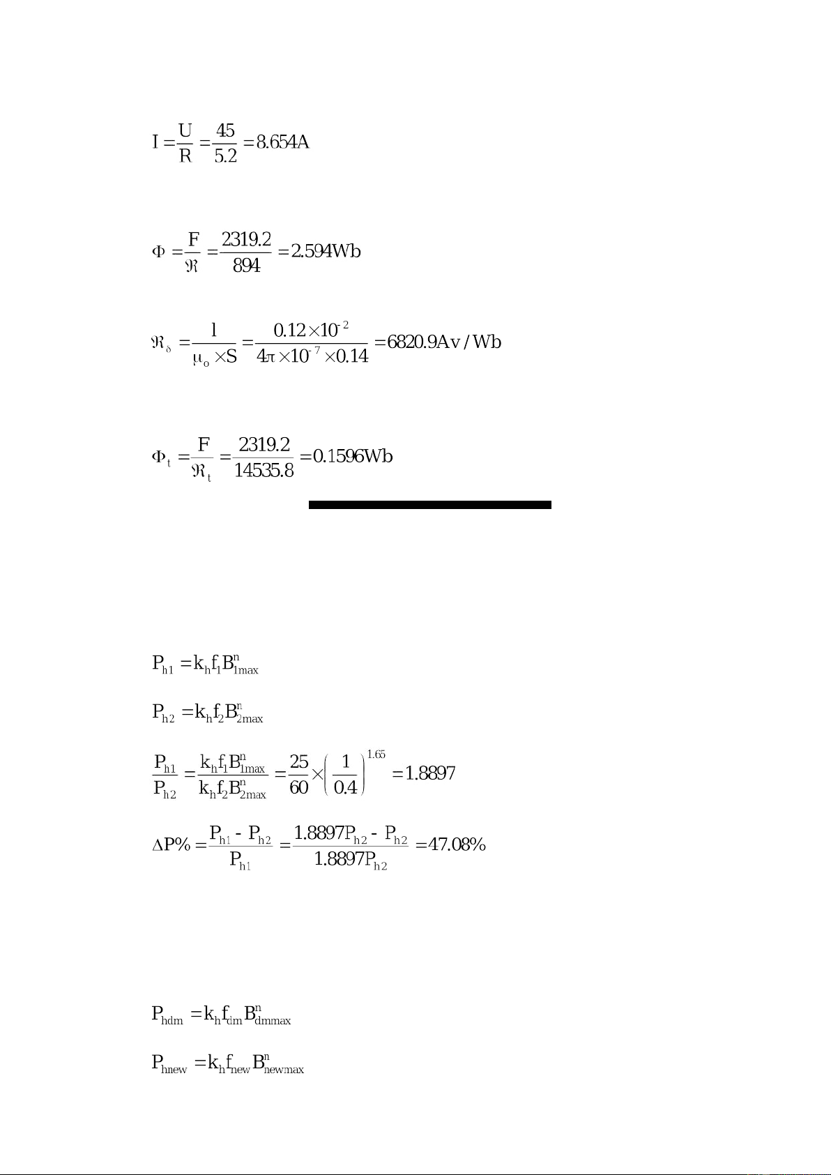
xuyến này được nối với nguồn một chiều có U = 45V. Tính . Tính và
s.t.đ trên khe hở không khí khi tách hai nửa xuyến một khoảng δ =
0.12cm ở mỗi đầu biết từ trở của mỗi nửa hình xuyến không đổi.
Từ trở toàn mạch từ là: 2
9 = 91 + 92 = 650 + 244 = 894Av/Wb
Dòng điện đi qua cuộn dây: S.t.đ của cuộn dây:
F = N × I = 268 × 8.654 = 2319.2Av Từ thông trong lõi:
Khi hai nửa xuyến tách nhau đoạn δ = 0.12cm, từ trở của khe hở không khí là:
Từ trở toàn mạch từ là:
9t = 91 + 92 + 29δ = 650 + 244 + 2×6820.9 = 14535.8Av/Wb Từ thông trong lõi:
Bài số 1-7. Một cuộn dây quấn trên lõi thép được cung cấp từ nguồn có
f = 25Hz. Tổn hao từ trễ thay đổi thế nào khi cuộn dây được cung cấp từ
nguồn có f = 60Hz với từ cảm giảm đi 60%? Cho hệ số Steinmetz n =
1.65 và điện áp nguồn bằng hằng số.
Tổn hao từ trễ tại tần số f1 = 25Hz:
Tổn hao từ trễ tại tần số f2 = 60Hz: Như vậy:
Bài số 1-10. Một thiết bị điện làm việc với điện áp định mức có tổn hao
từ trễ là 250W. Tính tổn hao từ trễ khi tần số giảm còn 60% tần số định
mức và điện áp giảm để từ cảm còn 80% từ cảm định mức biết n = 1.6.
Tổn hao từ trễ tại tần số định mức và điện áp định mức:
Tổn hao từ trễ tại khi tần số và điện áp giảm: Như vậy: 3 W
Bài số 1-11. Một thanh dẫn dài 0.32m có điện trở 0.25 đặt vuông góc
với từ trường đều có từ cảm B = 1.3T. Xác định điện áp rơi trên thanh
dẫn khi lực tác dụng lên nó là 120N. Tính lại điện áp này nếu thanh dẫn nghiêng một góc = 250.
Dòng điện đi qua thanh dẫn:
Điện áp rơi trên thanh dẫn:
U = R × I = 0.25 × 288.46 = 72.11V
Khi thanh dẫn nghiêng một góc = 250 ta có:
U = R × I = 0.25 × 682.5581 = 79.57V
Bài số 1-12. Một cuộn dây có N = 32 vòng với điện trở 1.56 đặt trong
từ trường đều có từ cảm B = 1.34T. Mỗi cạnh của cuộn dây dài l =
54cm, cách trục quay đoạn d = 22cm và nghiêng một góc = 80. Tính
dòng điện và điện áp rơi trên cuộn dây của biết mômen tác dụng lên nó là 84Nm.
Lực tác dụng lên một cạnh của cuộn dây:
Lực tác dụng lên một thanh dẫn:
Dòng điện trong thanh dẫn:
Điện áp rơi trên cuộn dây:
U = R × I = 1.56 × 17.76 = 27.71V
Bài số 1-13. Xác định vận tốc của một thanh dẫn dài l = 0.54m biết
rằng khi nó chuyển động trong từ trường B = 0,86 T thì sđđ cảm ứng trong nó là e = 30,6V. 4
Vận tốc của thanh dẫn:
Bài số 1-14. Một thanh dẫn dài l = 1.2 m chuyển động cắt vuông góc
các đường sức từ của một từ trường đều B = 0.18T với vận tốc 5.2m/s.
Tính sđđ cảm ứng trong thanh dẫn.
S.đ.đ cảm ứng trong thanh dẫn:
Bài số 1-15. Xác định tần số và sđđ hiệu dụng của một cuộn dây có 3
vòng dây quay với tốc độ n = 12vg/s trong từ trường của 4 cực từ với = 0,28Wb/cực. Tần số s.đ.đ:
Trị số hiệu dụng của s.đ.đ:
Bài số 1-16. Xác định tốc độ quay trong từ trường của 2 cực từ có =
0.012Wb/cực để có được e = 24V trong một cuộn dây có N = 25 vòng. Tần số s.đ.đ:
Tốc độ quay của thanh dẫn trong từ trường:
Bài số 1-17. Từ thông xuyên qua một cuộn dây có N = 20 vòng dây biến
thiên theo quy luật = 1.2sin(28t) Wb. Xác định tần số và trị số hiệu dụng
của sđđ cảm ứng trong cuộn dây. Tần số s.đ.đ: 5
Trị số hiệu dụng của s.đ.đ:
Bài số 1-18. Một cuộn dây quấn trên lõi thép được cung cấp từ nguồn
xoay chiều có U = 120V, f = 25Hz. Tổn hao do dòng điện xoáy thay đổi
thế nào khi cuộn dây được nối với nguồn có U = 120V, f = 60Hz.
Tổn hao do dòng điện xoáy tại tần số f1 = 25Hz:
Tổn hao do dòng điện xoáy tại tần số f2 = 60Hz: Như vậy:
Bài số 1-19. Một thiết bị điện làm việc với điện áp và tần số định mức
có tổn hao do dòng điện xoáy là 212.6W. Xác định tổn hao do dòng điện
xoáy nếu tần số giảm còn 60% tần số định mức và điện áp giảm còn 80% điện áp định mức. Ta có: W 6