





Preview text:
ThS. Đinh Văn Phúc
Bài tập Hóa đại cương II
1. Định luật Henry về độ tan của chất khí trong chất lỏng: “Nếu C là nồng độ chất khí trong chất lỏng
và P là áp suất riêng của chất khí thì: C = k.P”, với k là hệ số Henry, chỉ phụ thuộc vào nhiệt độ.
2. Định luật Raoult: “Độ giảm tương đối áp suất hơi bão hòa của dung môi trên dung dịch bằng phần mol chất tan.” (I) Trong đó: PA
0 : áp suất hơi của dung môi nguyên chất
PA: áp suất hơi của dung dịch XB: phần mol chất tan B
Hệ quả của định luật Raoult: “Độ tăng điểm sôi (độ hạ điểm đông đặc) của dung dịch tỷ lệ với nồng độ
molan của chất tan: t = K.m” (trong đó: K là hằng số nghiệm sôi hay hằng số nghiệm lạnh).
3. Định luật Van’t Hoff về áp suất thẩm thấu của dung dịch: .V = n.R.T
Trong đó: - V là thể tích dung dịch - n là số mol chất tan - R là hằng số khí
- T là nhiệt độ tuyệt đối
Bài 1: Tính áp suất hơi của dung dịch đường chứa 24 gam đường (C12H22O11) trong 150 gam nước ở 200C
nếu ở nhiệt độ này áp suất hơi của nước nguyên chất bằng 17,54 mmHg. Tóm tắt: Bài giải m = 2 gam
Từ công thức (I), ta có: M = 232 gam/mol = 150 gam ⟶ ⟶ P = 17,39 mmHg to = 200C PA 0 = 17,54 mmHg P = ?
Bài 2: Ở 200C áp suất hơi của CCl4 = 91 mmHg. Tại nhiệt độ này áp suất hơi của phenol trong CCl4 chứa
4,7 gam phenol trong 100 gam CCl4 = 84 mmHg. Xác định khối lượng mol của phenol. Tóm tắt: Bài giải m = 4,7 gam
Từ công thức (I), ta có: = 100 gam to = 200C ⟶ ⟶ M = 94 (86,856) PA 0 = 91 mmHg P = 84 mmHg M = ? gam/mol
Bài 3: 45,20 gam đường (C12H22O11) tan trong 316 gam nước. Tính điểm sôi, điểm hóa rắn của dung dịch,
biết các hằng số nghiệm sôi và nghiệm lạnh là 0,51 và 1,86.
Nồng độ molan của dung dịch là: = 0,418
Bài 4: Hòa tan 187,6 gam Cr2(SO4)3 vào nước rồi thêm nước cho tới 1 lit dung dịch. Khối lượng riêng của
dung dịch này là 1,1722 kg/dm3. Tính: a) Nồng độ mol/l. b) Nồng độ molan
c) Phần mol của mỗi cấu tử
d) Nồng độ phần trăm của muối.
e) Nồng độ đương lượng Cho Cr = 52; S = 32; O = 16. Bài giải:
a) Nồng độ mol/l: là số mol chất tan có trong 1 lit dung dịch ThS. Đinh Văn Phúc
Bài tập Hóa đại cương II Số mol Cr2(SO4)3 = CM = mol/l
b) Nồng độ molan: là số mol chất tan có trong 1kg dung môi mdd = 1,1722 kg
md.m = 1,1722 – 0,1876 = 0,9846 kg m =
c) Phần mol của mỗi cấu tử
d) Nồng độ phần trăm của muối:
e) Nồng độ đương lượng gam: là số đương lượng gam chất tan có trong 1 lít dung dịch
Số đương lượng gam Cr2(SO4)3: ThS. Đinh Văn Phúc
Bài tập Hóa đại cương II
PHẦN 1: DUNG DỊCH KHÔNG ĐIỆN LI
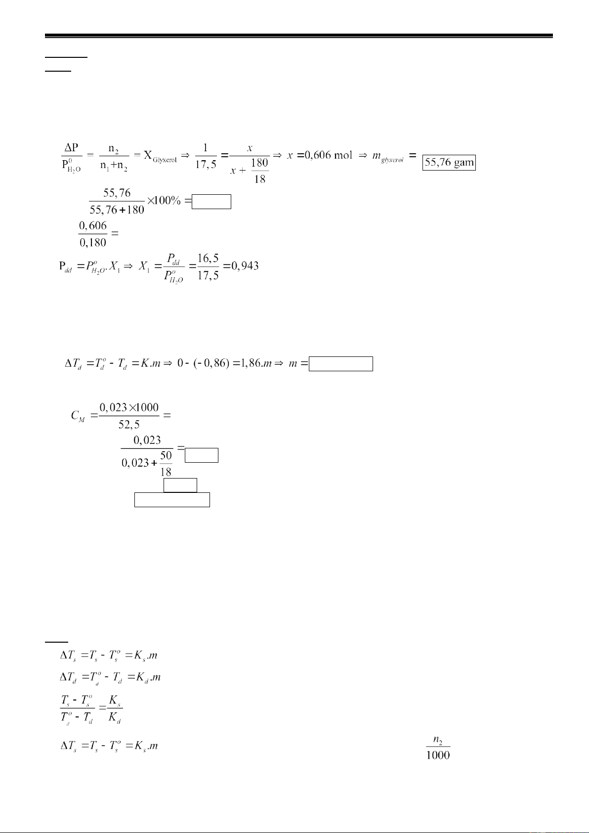
Bài 1: Ở 200C, áp suất hơi nước bão hòa là 17,5 mmHg.
a. Cần hòa tan bao nhiêu gam Glyxerol vào 180 gam nước để thu được dung dịch có áp suất hơi bão hòa là 16,5 mmHg?
b. Tính nồng độ phần trăm, nồng độ molan của dung dịch và phần mol của các cấu tử có trong dung dịch khi đó. Giải: a. C% = 23,65% b. m = 3,36 mol/kg
Bài 2: Hòa tan 3,5 gam một chất X không điện li trong 50 gam nước cho một dung dịch có thể tích 52,5
ml và đông đặc tại – 0,860C.
a. Tính nồng độ molan, nồng đô mol/l của chất X và phần mol của mỗi cấu tử trong dung dịch.
b. Tìm khối lượng mol của X.
Biết hằng số nghiệm lạnh của nước là 1,86. a. - 0,462 mol/kg
- Trong 1 kg = 1000 g H2O có 0,462 mol chất X
Trong 50 gam nước có n2 = 0,023 mol chất X ⟶ 0,44M - Xchất X = 0,0082
Xnước = 1 – 0,0082 = 0,9918
b. M = 3,5/0,023= 152,17gam/mol
Bài 3: Băng điểm của dung dịch nước chứa một chất tan không bay hơi bằng – 1,50C. Xác định:
a. Nhiệt độ sôi của dung dịch.
b. Áp suất hơi của dung dịch ở 250C.
Cho biết hằng số nghiệm lạnh của nước 1,86; hằng số nghiệm sôi của nước là 0,513. Áp suất hơi
của nước nguyên chất ở 250C bằng 23,76 mmHg
Đáp số: a. Ts dung dịch = 100,4140C b. P = 23,43 mmHg Giải: a) ⟶ ⟶ Ts = 100,414 b)
= 0 – (-1,5) = 1,86. m ⟶ m = 0,806 (có nghĩa: m = )
Trong 1000g H2O (n1 = 55,56 mol) có n2 = 0,806 mol chất tan ThS. Đinh Văn Phúc
Bài tập Hóa đại cương II Phần mol của chất tan ⟶ mmHg
Bài 4: Benzen đông đặc ở 5,420C và sôi ở 81,10C. Nhiệt hóa hơi điểm sôi bằng 399J/g. Dung dịch
chứa 12,8 gam naphtalen trong 1 kg benzen đông đặc ở 4,910C.
a. Xác định nhiệt độ sôi của dung dịch này.
b. Tính áp suất hơi bão hòa của benzen trên dung dịch ở 80,10C.
c. Tính nhiệt nóng chảy riêng của benzen.
Đáp số: a. 81,360C; b. 754,1mmHg; c. 128,24J/g ThS. Đinh Văn Phúc
Bài tập Hóa đại cương II
MỘT SỐ BÀI TẬP PHẦN DUNG DỊCH
Bài 1: Ở 200C, áp suất hơi nước bão hòa là 17,5 mmHg.
a. Cần hòa tan bao nhiêu gam Glyxerol vào 180 gam nước để thu được dung dịch có áp suất hơi bão hòa là 16,5 mmHg?
b. Tính nồng độ phần trăm, nồng độ molan của dung dịch và phần mol của các cấu tử có trong dung dịch khi đó.
Bài 2: Hòa tan 3,5 gam một chất X không điện li trong 50 gam nước cho một dung dịch có thể
tích 52,5 ml và đông đặc tại – 0,860C.
a. Tính nồng độ molan, nồng đô mol/l của chất X và phần mol của mỗi cấu tử trong dung dịch.
b. Tìm khối lượng mol của X.
Biết hằng số nghiệm lạnh của nước là 1,86.
Bài 3: Băng điểm của dung dịch nước chứa một chất tan không bay hơi bằng – 1,50C. Xác định:
a. Nhiệt độ sôi của dung dịch.
b. Áp suất hơi của dung dịch ở 250C.
Cho biết hằng số nghiệm lạnh của nước 1,86; hằng số nghiệm sôi của nước là 0,513. Áp suất hơi
của nước nguyên chất ở 250C bằng 23,76 mmHg.
Bài 4: Dung dịch chứa 0,01279 gam hiđrocacbon thơm trong 25 ml xiclohexan có áp suất thẩm thấu 74,7 mmHg tại 270C.
Bài 5: Tính pH của các dung dịch sau: 1. HCl 0,02M 2. H2SO4 0,03M 3. NaOH 10-5M 4. HNO2 0,2M có pKa = 3,4
5. Trộn 25 ml dung dịch HCl 0,13M với 35 ml dung dịch NaOH 0,12M
6. Trộn 100 ml dung dịch hỗn hợp HCl 0,01M và H2SO40,005M với 100 ml dung dịch hỗn hợp NaOH 0,02M và Ba(OH)2 0,01M. 7. Trộn 50 ml dung dịch NH +
3 0,1M với 50 ml dung dịch axit HCl. Biết pKa (NH4 ) = 9,3.
8. 1 lit dung dịch chứa 0,05 mol CH3COO- và 0,05 mol CH3COOH. Giá trị pH này sẽ thay đổi như
thế nào khi thêm 0,01 mol HCl vào dung dịch này. Cho biết Ka (CH3COOH) = 1,8.10-5.
Bài 6: Cho biết các dung dịch sau có môi trường axit hay bazơ hay trung tính?
Na2CO3; NH4Cl; KHS và (NH4)2CO3 Biết: ; ; ; ;
Bài 7: 1. Tính tích số tan của các chất sau khi biết độ tan: Độ tan S (mol.l-1) a. AgCl 1,3.10-5 b. Ag2SO4 2,6.10-2 c. Zn(OH)2 1,66.10-5
2. Biết tích số tan của các chất ở 250C. Tính độ tan ra gam/lit. Tích số tan a. CuI T = 5.10-12 b. Fe(OH)3 T = 1,1.10-36
Bài 8: Cho từ từ dung dịch Na2CO3 rất loãng vào dung dịch chứa đồng thời Ba2+ 10-3M và Ca2+ 10-
2M. Hỏi kết tủa nào xuất hiện trước? Biết: và
Bài 9: So sánh độ tan của BaSO4 trong nước nguyên chất và trong dung dịch H2SO4 0,1M, biết
tích số tan của BaSO4 là 10-10.
Bài 10: Cho dung dịch chứa 0,1 mol.l-1 Cu2+. Tính nồng độ của ion Cu2+ sau khi thêm 1 mol.l-1
NH3 vào dung dịch trên. Biết . ThS. Đinh Văn Phúc
Bài tập Hóa đại cương II
BÀI TẬP TỔNG HỢP
Bài 1: Tính pH của các dung dịch sau:
a. dung dịch NH4Cl 10-1 M và dung dịch NH4Cl 10-4M. Biết
b. dung dịch hỗn hợp chứa KCN 0,1M và NH3 0,1M. Biết KHCN = 10-9,35 và
c. dung dịch hỗn hợp chứa CH3COOH 10-2M và NH4Cl 10-1M. Biết
d. dung dịch hỗn hợp chứa HCN 10-3M và KCN 10-1M. Biết Ka = 10-9,35
e. dung dịch hỗn hợp chứa HCOOH 10-1M và HCOONa 10-2M. Biết Ka = 10-3,75
f. dung dịch NaHCO3 2.10-2 M. Biết Ka1 = 10 -6,35; Ka2 = 10 -10,33.
Bài 2: Đánh giá sự thay đổi pH của hỗn hợp đệm A gồm: CH3COOH 0,1M và CH3COONa 0,1M
a. Khi thêm 10-3 mol HCl vào 1 lit dung dịch A
b. Khi thêm 10-3 mol NaOH vào 1 lit dung dịch A
Bài 3: Trộn 1 ml dung dịch MgCl2 0,02M với 1 ml dung dịch đệm gồm (NH3 2M và NH4Cl 2M). Có xuất
hiện kết tủa Mg(OH)2 hay không? Biết
. Bỏ qua sự tạo phức hiđroxo.
Bài 4: Khi cho từ từ dung dịch HCl vào dung dịch chứa ion Ag+ 10-3M và Pb2+ 10-1M.
a. Hỏi kết tủa nào được hình thành trước?
b. Có thể tách phân đoạn kết tủa AgCl và PbCl2 được hay không? Biết
Bài 5: Cân bằng phản ứng oxi hóa – khử sau theo phương pháp ion – electron:
a. Fe + H2SO4 ----> Fe2(SO4)3 + SO2 + H2O
b. SCN- + MnO4 - + H+ ----> CN- + SO 4 2- + Mn2+ + H 2 O
Bài 6: Cho biết ở điều kiện chuẩn phản ứng sau có xảy ra hay không? 2Cu2+ + 4I- 2CuI + I2 Biết Bài 7: Bài 8: Bài 9: Bài 10: