Report tài liệu
Chia sẻ tài liệu
Đề cương môn Toán cao cấp- Trường Đại học bách khoa - Đại học đà nẵng.
Một sô công thức tính đạo hàm cấp cao
Đề cương môn Toán cao cấp- Trường Đại học bách khoa - Đại học đà nẵng.
Tài liệu gồm 6 trang , giúp bạn tham khảo, ôn tập và đạt kết quả cao.
Môn: Toán cao cấp(TCC10) 25 tài liệu
Trường: Trường Đại học Bách khoa, Đại học Đà Nẵng 1.7 K tài liệu
Tác giả:






Tài liệu khác của Trường Đại học Bách khoa, Đại học Đà Nẵng
Preview text:
Công thức số 1
Áp dụng quy tắc L’Hospital. Công thức 2
Công thức số 4 Công thức số 5 Công thức số 6 Công thức số 7
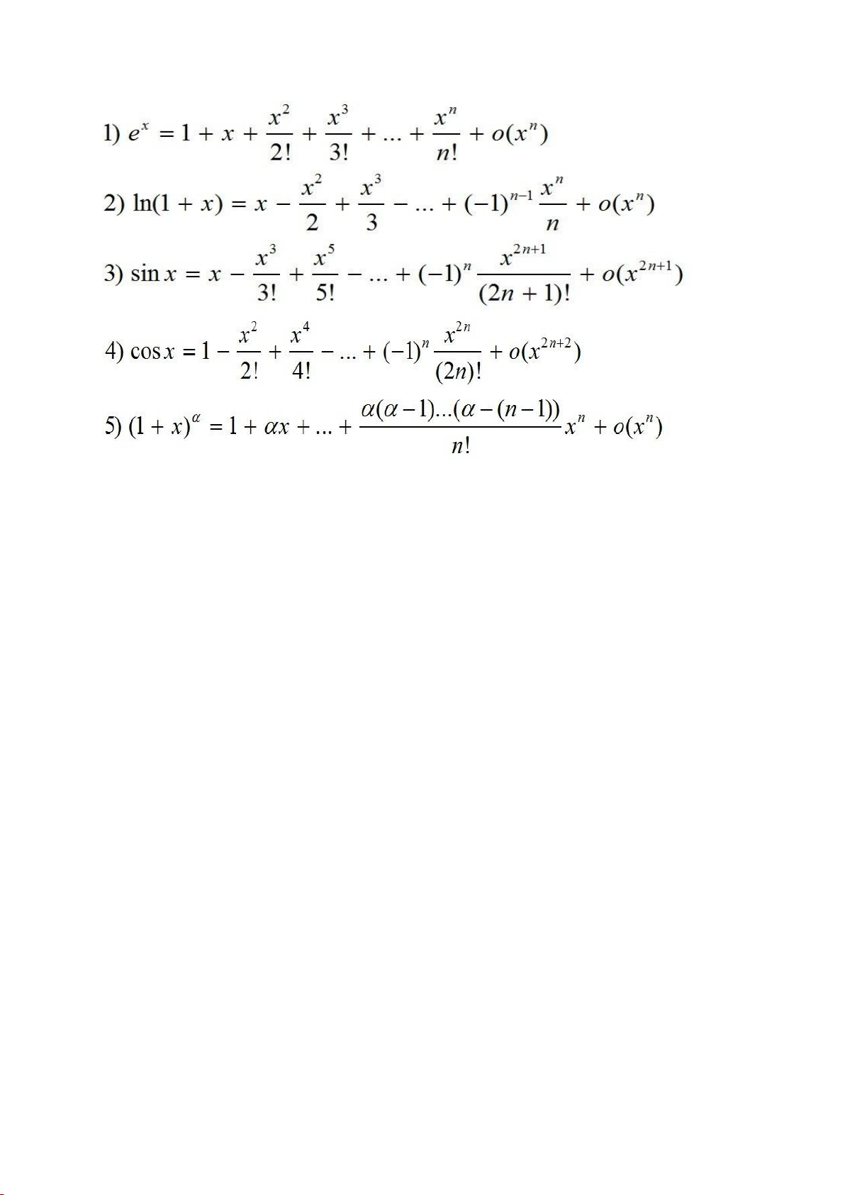
Khai triển Maclaurin của một số hàm sơ cấp Công thức số 8 Công thức số 9
Tài liệu liên quan:
-
Bài giảng môn Phương pháp tính | Trường Đại học Bách khoa, Đại học Đà Nẵng
56 28 -
Đề cương môn Toán cao cấp- Trường Đại học bách khoa - Đại học đà nẵng.
76 38 -
Đề cương môn Toán cao cấp- Trường Đại học bách khoa - Đại học đà nẵng.
64 32 -
Đề cương môn Toán cao cấp- Trường Đại học bách khoa - Đại học đà nẵng.
90 45