Report tài liệu
Chia sẻ tài liệu
Đề cương môn Toán cao cấp - Trường Đại học lao động - xã hộ
Đề cương môn Toán cao cấp - Trường Đại học lao động - xã hội. Tài liệu được sưu tầm gồm 15 trang giúp bạn tham khảo , ôn tập và đạt kết quả cao
Môn: Toán cao cấp(TCC101) 19 tài liệu
Trường: Trường Đại học Lao động - Xã hội 1.8 K tài liệu
Tác giả:
Tài liệu khác của Trường Đại học Lao động - Xã hội
Preview text:
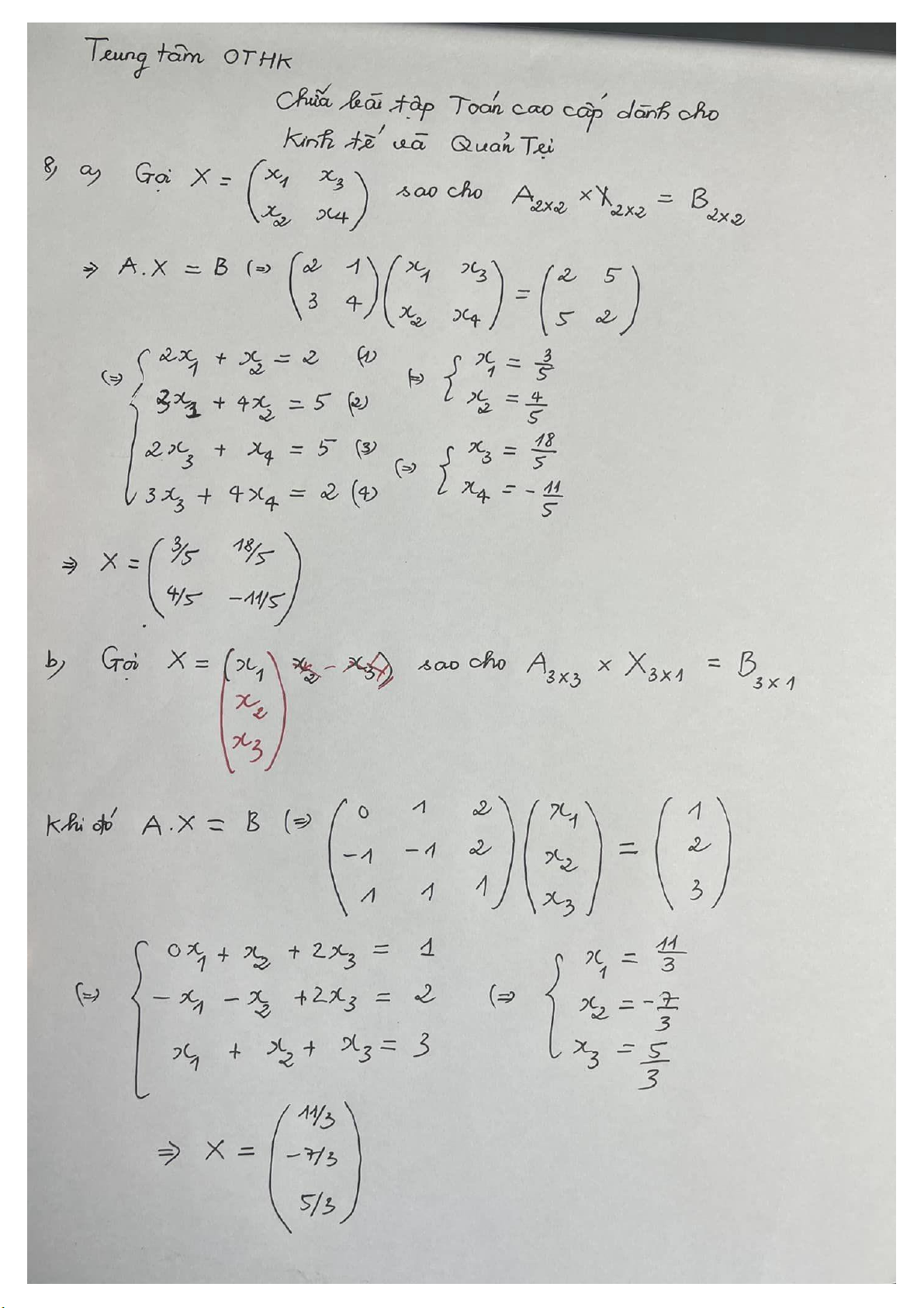
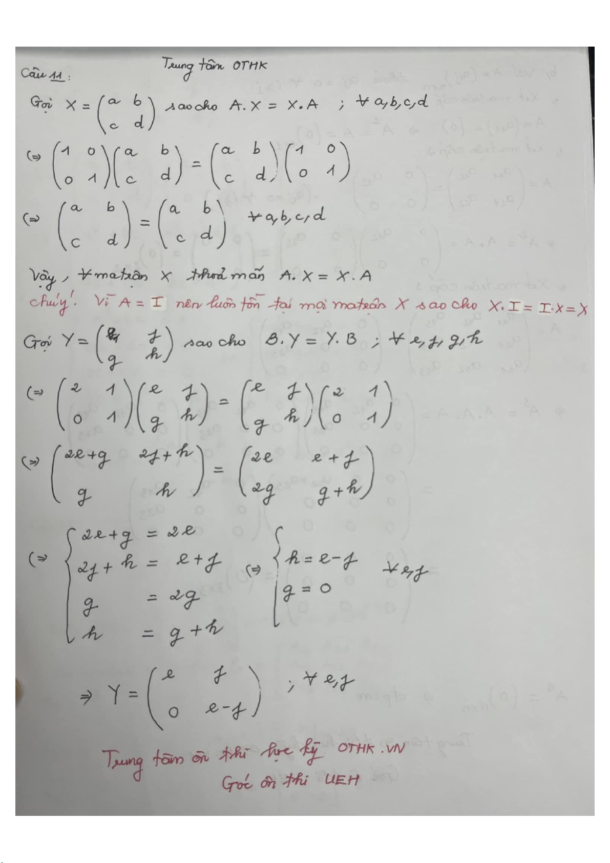
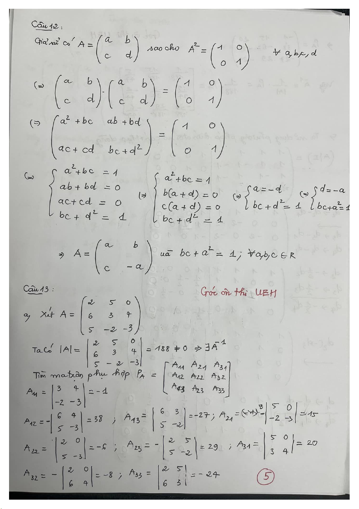
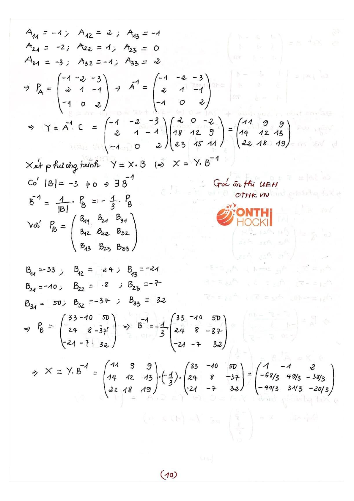
[Đáp án] Bài tập toán cao cấp dành cho kinh tế và quản trị Chương 1
Toán cao cấp (Trường Đại học Kinh tế Thành phố Hồ Chí Minh)














