Report tài liệu
Chia sẻ tài liệu
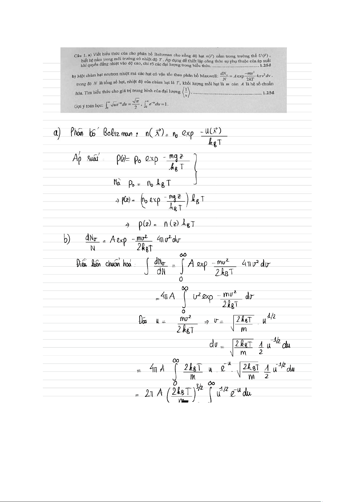
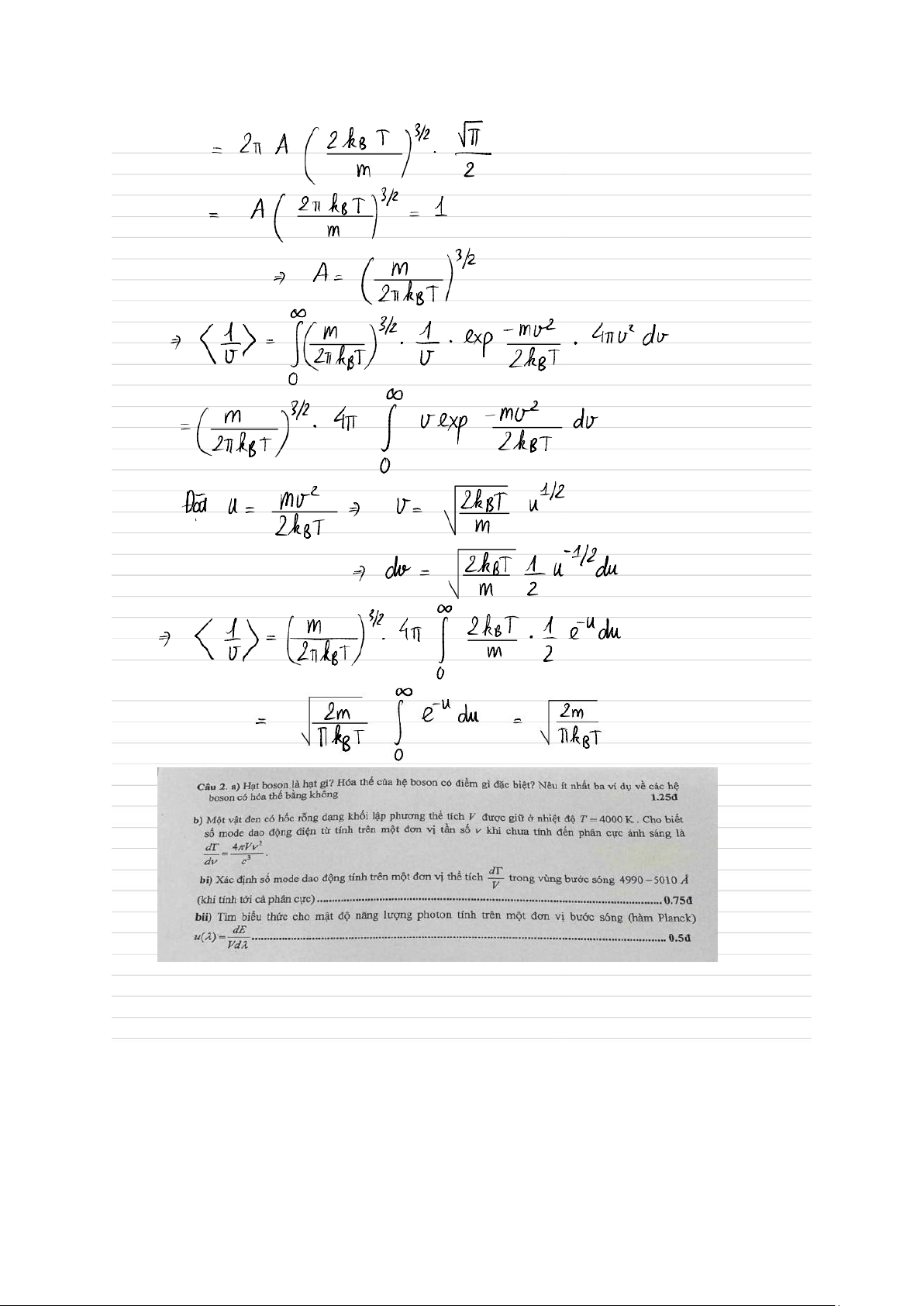
Giải đề cuối kỳ: Phân tích và giải quyết các bài tập môn Vật lý thống kê | Trường Đại học Bách Khoa Hà Nội
Giải đề cuối kỳ: Phân tích và giải quyết các bài tập môn Vật lý thống kê. Tài liệu được sưu tầm gồm 5 trang, giúp các bạn ôn luyện và phục vụ cho việc học tập, đạt kết quả tốt. Mời các bạn đón xem!
Môn: Vật lý thống kê 6 tài liệu
Trường: Đại học Bách Khoa Hà Nội 3.5 K tài liệu
Tác giả:
Tài liệu liên quan:
-
Tài liệu Khí lý tưởng môn Vật lý thống kê | Trường Đại học Bách Khoa Hà Nội
32 16 -
Đề cương ôn tập | Vật lý thống kê | Trường Đại học Bách Khoa Hà Nội
195 98 -
Đề thi và lời giải cuối kỳ I | Môn Vật lý thống kê | Trường Đại học Bách Khoa Hà Nội
218 109 -
Bài tập Vật lý thống kê | Môn Vật lý thống kê | Trường Đại học Bách Khoa Hà Nội
308 154




