Report tài liệu
Chia sẻ tài liệu
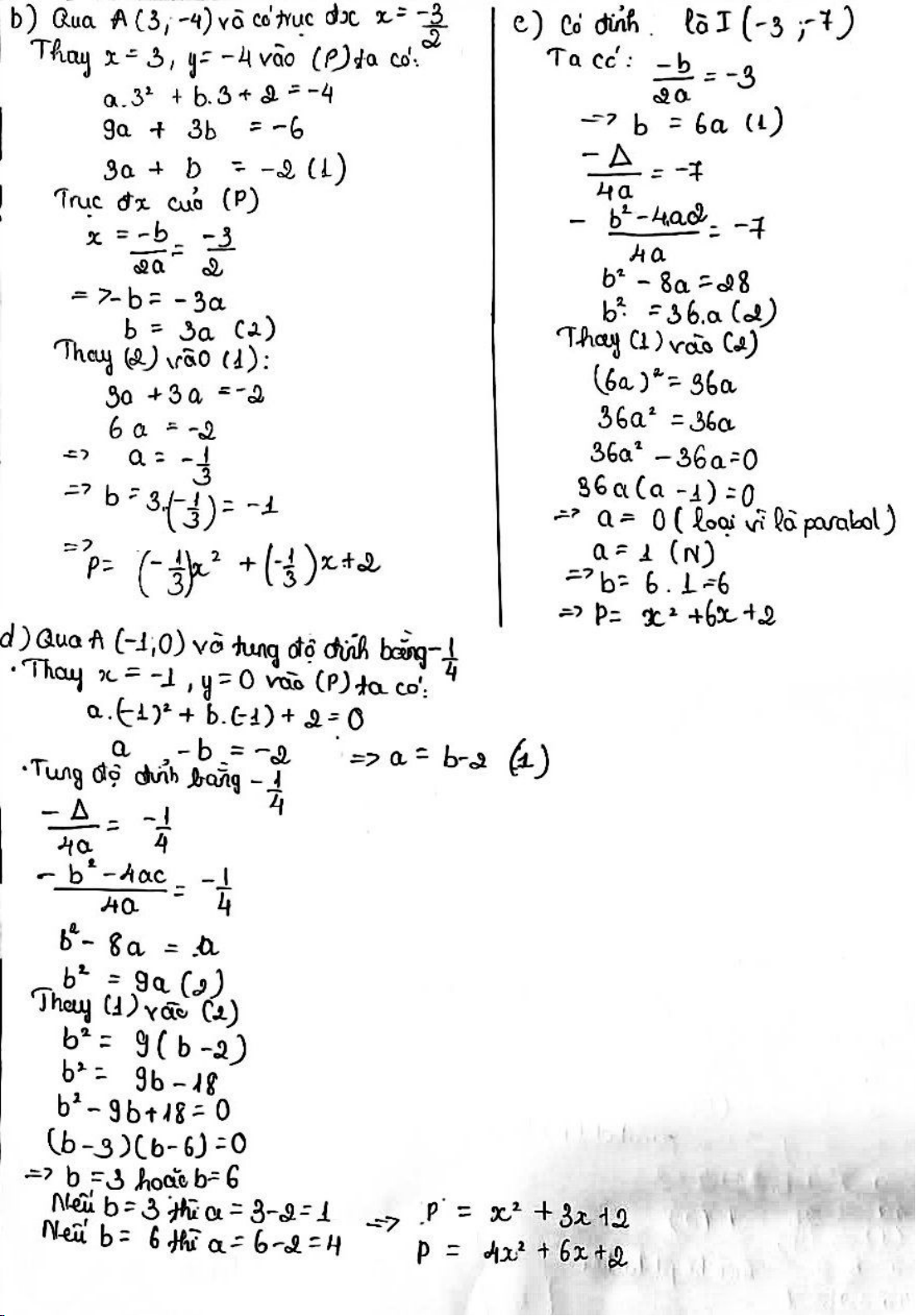
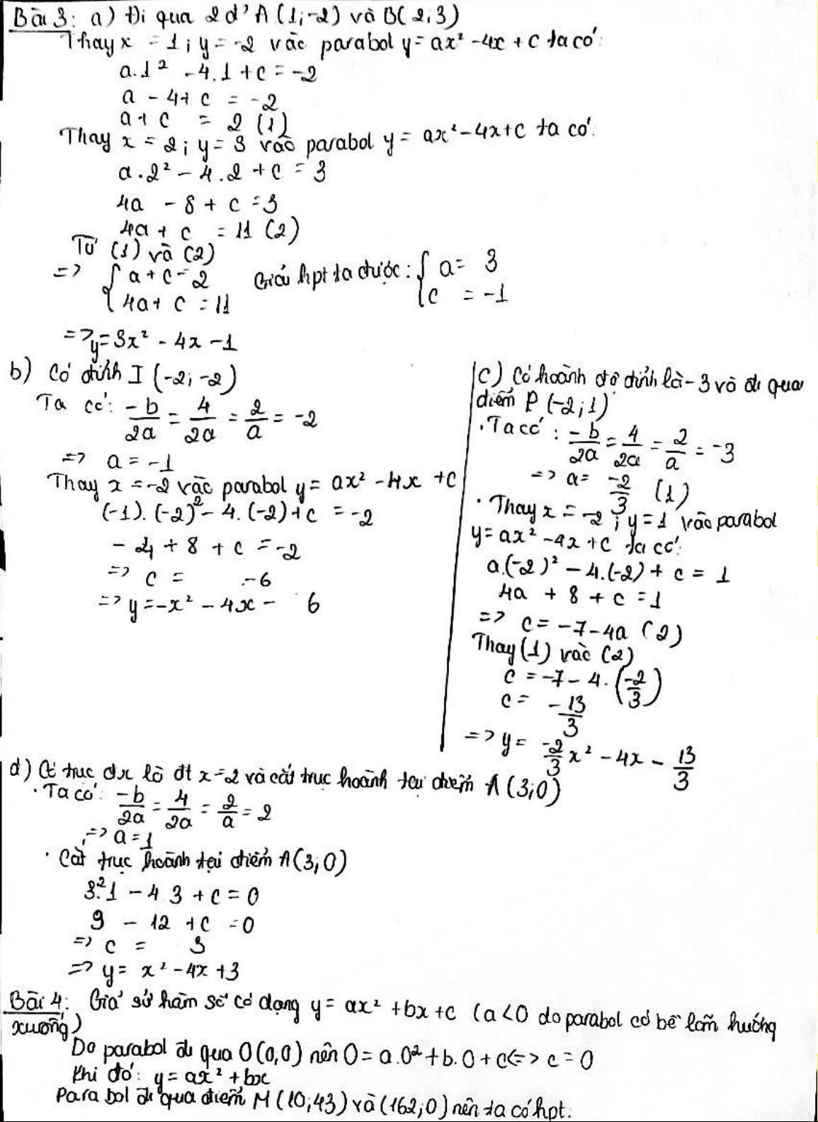
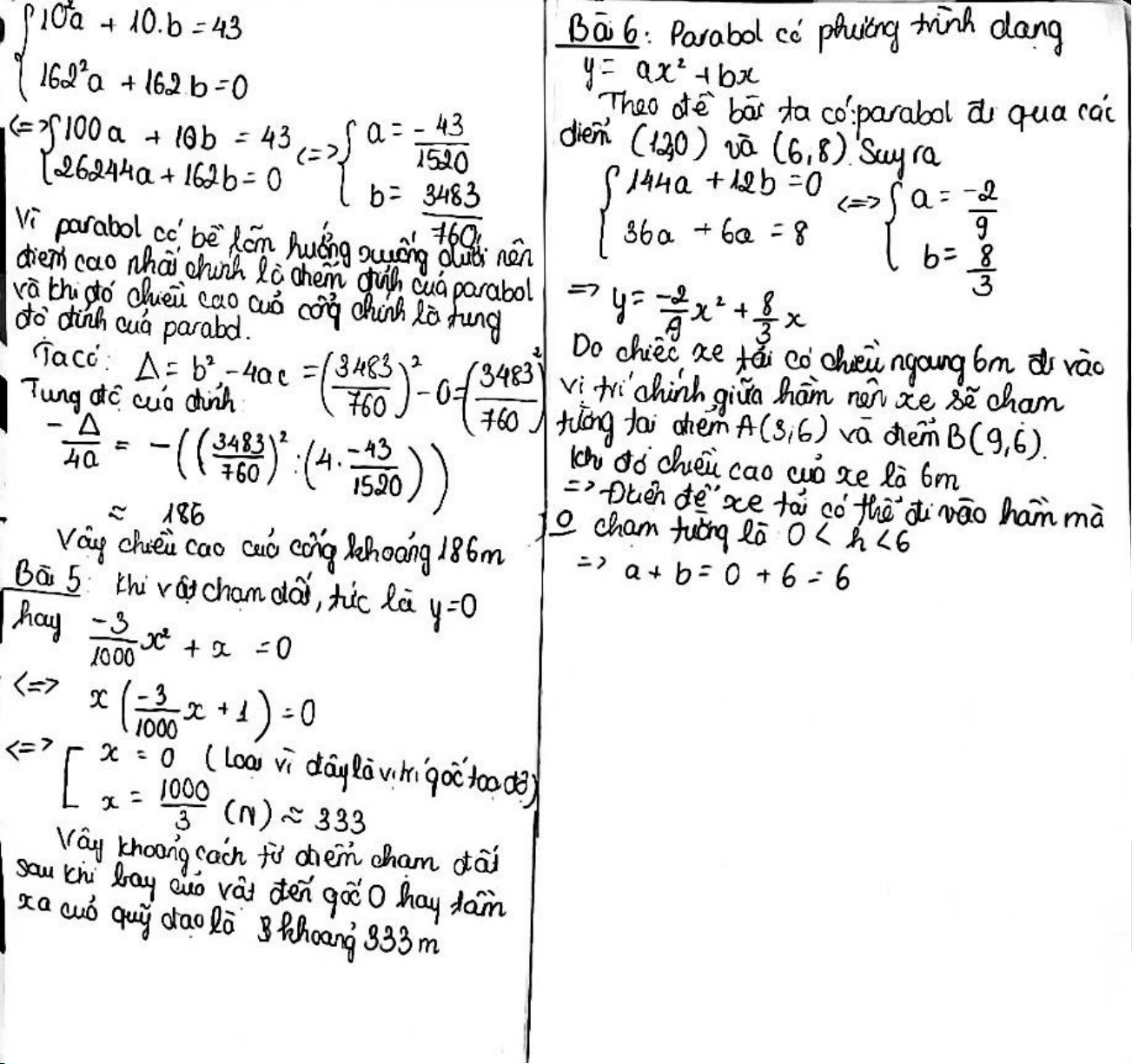
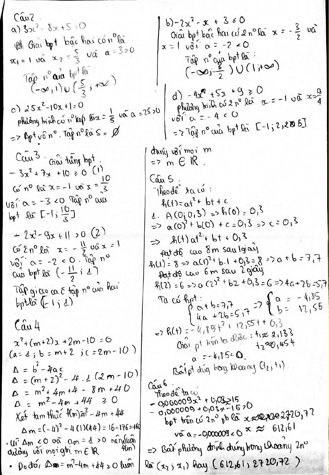
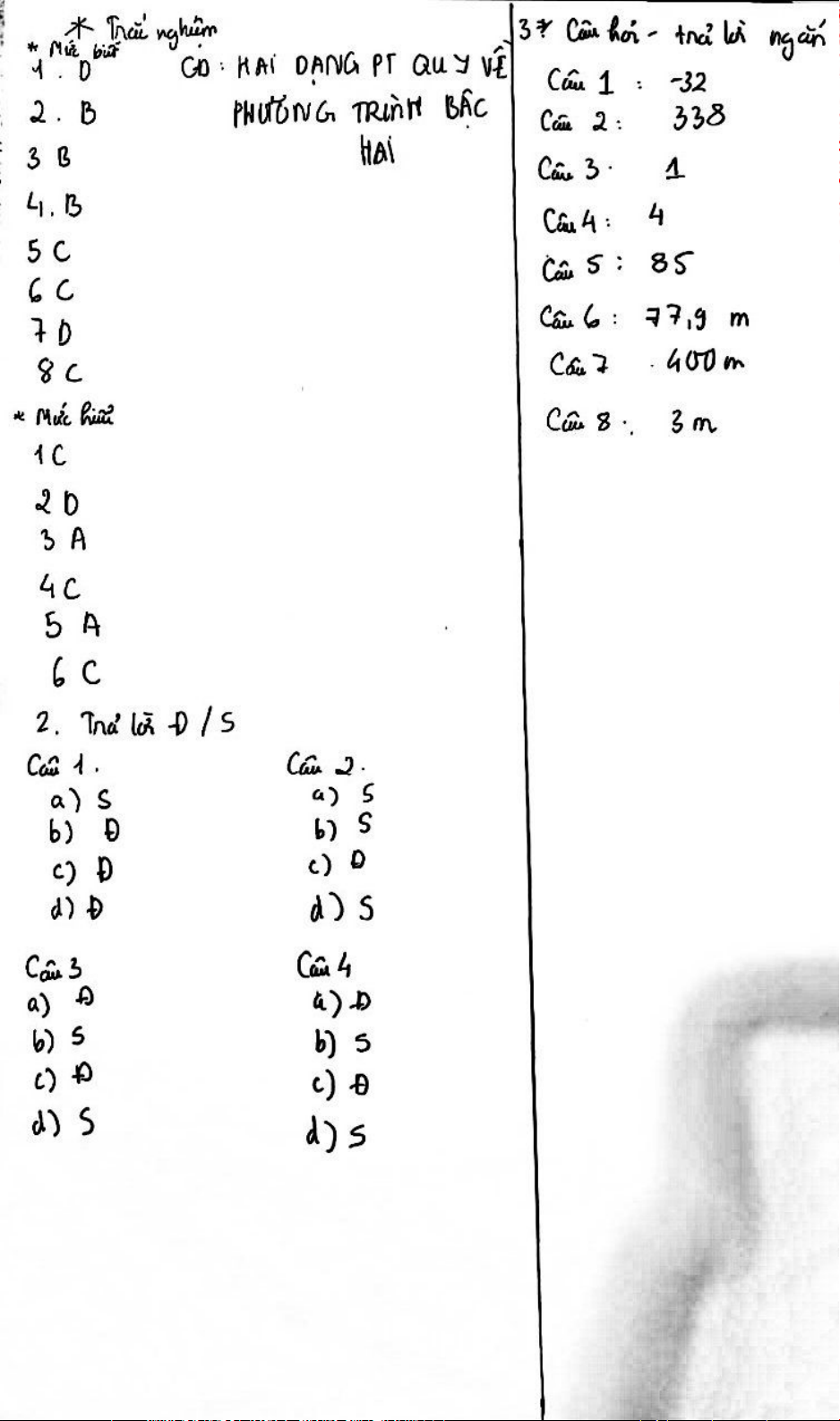
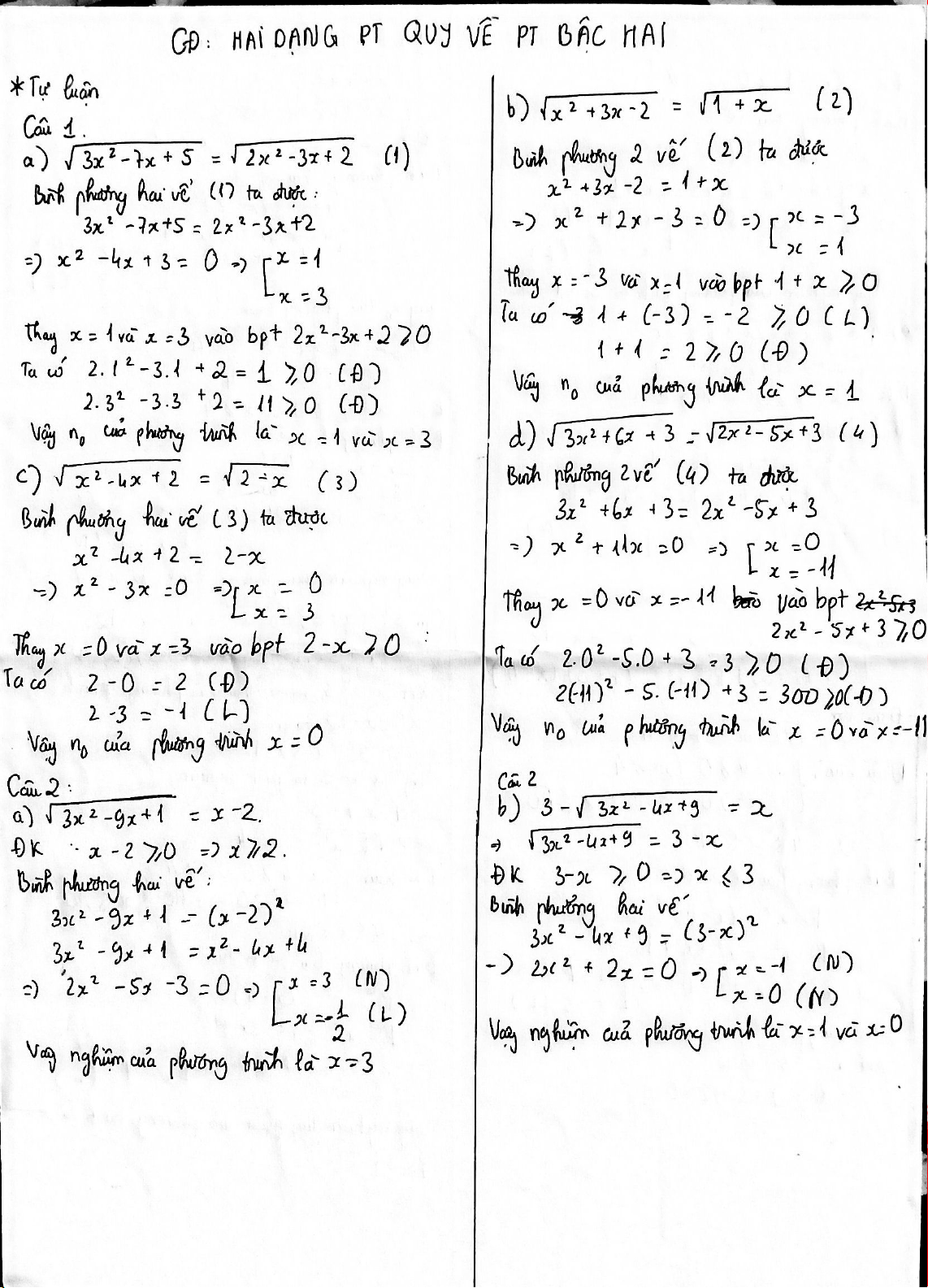
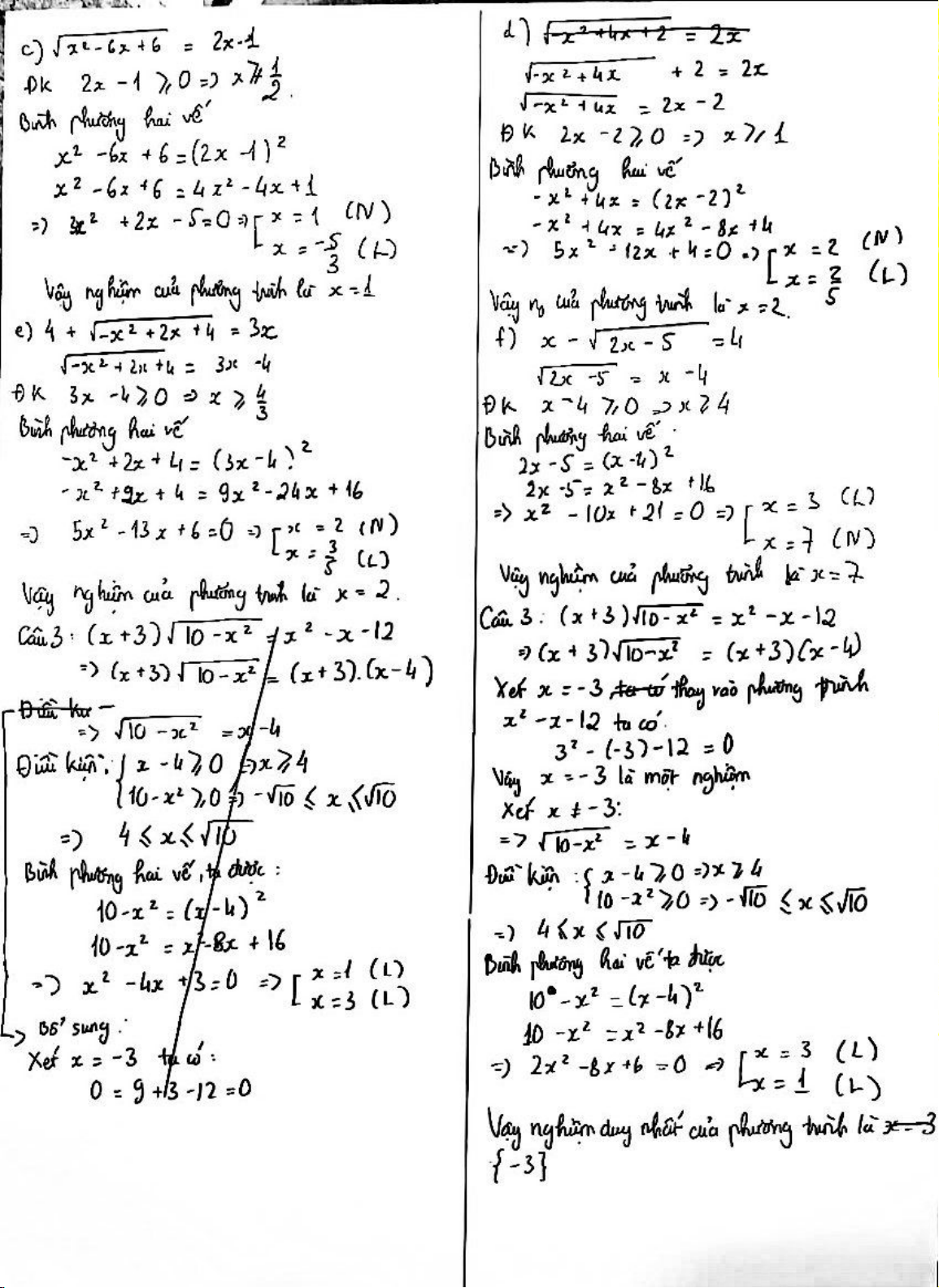
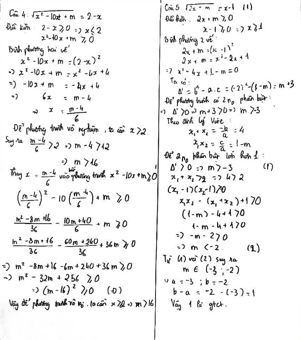
Giải đề cương môn Toán 10
Giải đề cương môn Toán 10. Tài liệu được sưu tầm giúp bạn tham khảo, ôn tập và đạt kết quả cao. Mời bạn đọc đón xem.
Chủ đề: Đề cương Toán 10 208 tài liệu
Môn: Toán 10 3.3 K tài liệu
Tác giả:



















