Report tài liệu
Chia sẻ tài liệu
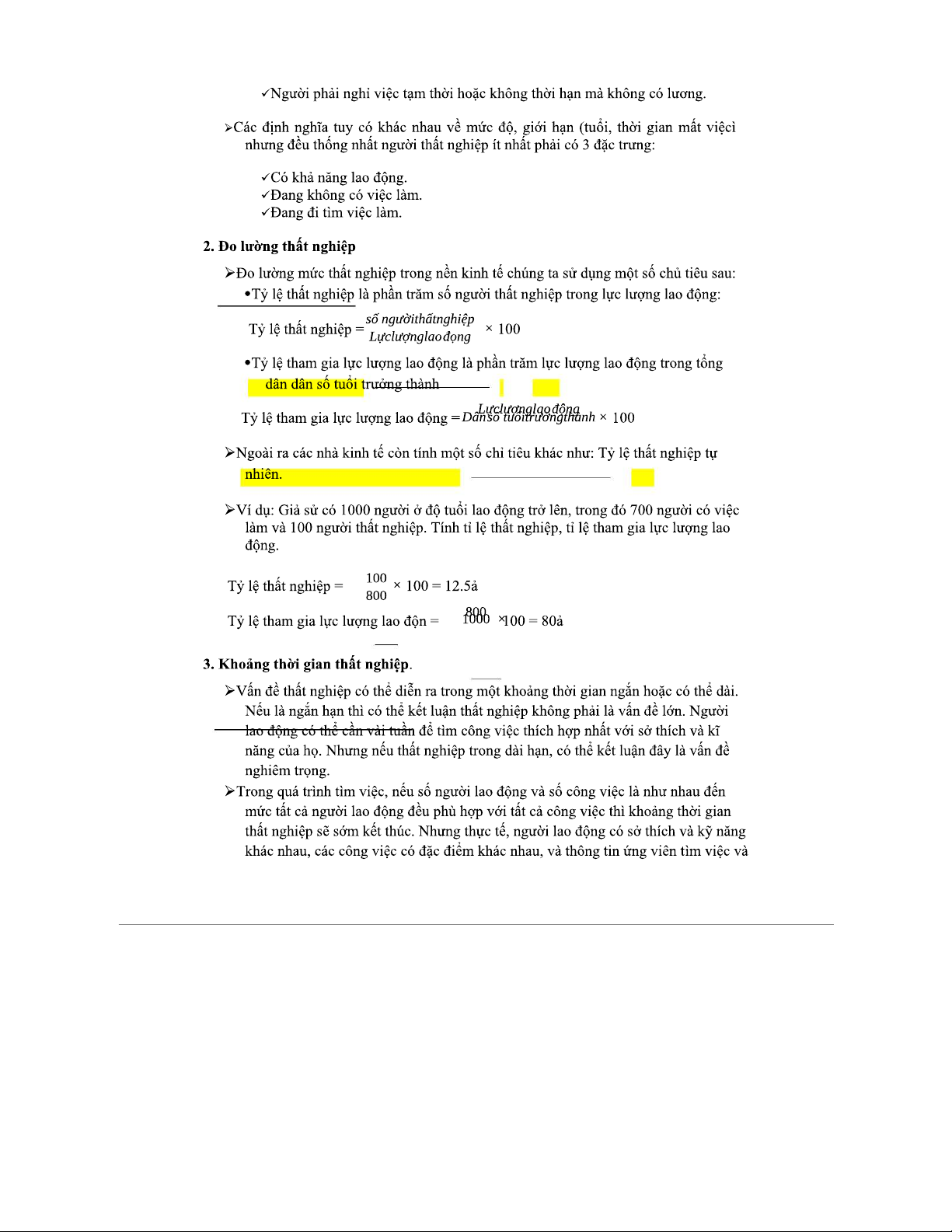
KHÁI NIỆM VÀ ĐO LƯỜNG THẤT NGHIỆP
KHÁI NIỆM VÀ ĐO LƯỜNG THẤT NGHIỆP
Môn: Xã hội 2.2 K tài liệu
Trường: Văn hóa - Xã hội - Nghệ thuật 2.6 K tài liệu
Tác giả:
Tài liệu liên quan:
-
Tổng Quan Về Công Ty TNHH Công Nghệ Dưỡng Phú và Xưởng TĐN 09
15 8 -
TCVN 11930:2017 Yêu Cầu Cơ Bản Về An Toàn Hệ Thống Thông Tin
9 5 -
Xác định Tính Khả Thi Ý Tưởng Kinh Doanh Chỉ Trong 5 Bước
10 5 -
NHẬT KÝ THỰC TẬP DIGITAL MARKETING - CÔNG TY HMEDIA
11 6 -
Phân rã Use Case Hệ Thống Đặt Món - Đặc Tả Chi Tiết
8 4






