









Preview text:
lOMoAR cPSD| 59735516 CHƯƠNG 7
7.1 Trình bày nguyên lý (phương trình) Bernoulli . Phương trình Bernoulli được áp dụng vào
môi trường đất như thế nào
Nguyên lý Bernoulli mô tả mối quan hệ giữa áp suất, vận tốc dòng chảy và độ cao tại các điểm
khác nhau trong một chất lỏng lý tưởng (không nén, không nhớt) khi nó chuyển động trong
dòng chảy liên tục. Phương trình Bernoulli được biểu diễn như sau:
Trong môi trường đất, phương trình Bernoulli được điều chỉnh để áp dụng cho dòng chảy của
nước trong đất hoặc các vật liệu xốp (như dòng thấm qua đất). Sự điều chỉnh này phụ thuộc vào
khái niệm thế năng thủy lực (hydraulic head), được biểu diễn bởi:
7.2 Định nghĩa của gra - đi - ăng thủy lực là gì? Thế nào là dòng chảy phẳng (laninar flow) và
thế nào là dòng chảy rối
Gradient thủy lực là sự thay đổi thế năng thủy lực (hydraulic head) trên một đơn vị chiều dài
theo hướng dòng chảy. Nó biểu diễn độ dốc năng lượng của dòng chảy và là động lực chính
khiến nước di chuyển qua môi trường đất hoặc vật liệu xốp.
Dòng chảy phẳng là dòng chảy trong đó chất lỏng di chuyển theo các lớp song song, không có sự
xáo trộn giữa các lớp. Trong dòng chảy này, các hạt chất lỏng di chuyển theo các đường thẳng
hoặc cong nhẹ nhàng, nhưng không cắt ngang nhau.
Dòng chảy rối là dòng chảy trong đó các hạt chất lỏng di chuyển một cách hỗn loạn và không
theo các lớp song song. Có sự trộn lẫn mạnh mẽ giữa các lớp chất lỏng.
7.3 Miêu tả định luật Darcy và nêu rỗ điều kiện ứng dụng của định luật Darcy. Giá trị tiêu biểu
của hệ số thấm cho cát (sand) và đất sét (Clay) là bao nhiêu?
Định luật Darcy mô tả dòng chảy của chất lỏng qua vật liệu xốp, chẳng hạn như nước thấm qua
đất. Được phát biểu bởi Henry Darcy vào năm 1856, định luật này là nền tảng của cơ học đất và
thủy lực thấm. Công thức của định luật Darcy được viết như sau: q=k.i
Điều kiện áp dụng định luật Darcy:
+)Dòng chảy phẳng (laminar flow) +)Đất bão hòa
+)Đặc tính đất đồng nhất lOMoAR cPSD| 59735516 +)Nhiệt độ ổn định
Hệ số thấm (k) phụ thuộc vào loại đất và mức độ chặt chẽ của đất. Giá trị tiêu biểu là:
Cát (Sand): 10^-3 đến 10^-5
Đất sét (Clay) : 10^-7 đến 10^-9
7.4 Miêu tả nguyên lý và tính toán hệ số thấm (k) của đất từ thí nghiệm chiều cao cột nước
không đổi (constant head test)
Nguyên lý của thí nghiệm dựa trên định luật Darcy, với lưu lượng nước chảy qua một mẫu đất
đồng nhất dưới gradient thủy lực không đổi.
Hệ số thấm (k) được tính từ định luật Darcy:
7.5 Miêu tả nguyên lý và tính toán hệ số thấm (k) của đất từ thí nghiệm chiều cao cột nước
thay đổi (falling head test) Nguyên lý: •
Khi nước thấm qua mẫu đất, chiều cao cột nước trong ống dần dần giảm. •
Thí nghiệm dựa trên định luật Darcy, sử dụng sự thay đổi cột nước theo thời gian để tính toán k
Công thức tính hệ số thấm từ thí nghiệm chiều cao cột nước thay đổi được suy ra từ định luật
Darcy và mối quan hệ giữa dòng chảy và sự thay đổi chiều cao cột nước: CHƯƠNG 8
8.1 Thế nào là vật liệu đàn hồi, vật liệu dẻo và vật liệu đàn dẻo? Đất thuộc loại vật liệu gì?
Vật liệu đàn hồi là loại vật liệu có khả năng phục hồi hoàn toàn hình dạng và kích thước ban đầu
sau khi tải trọng tác dụng được loại bỏ.
Vật liệu dẻo là loại vật liệu không phục hồi hoàn toàn hình dạng và kích thước ban đầu sau khi
tải trọng được loại bỏ.
Vật liệu đàn dẻo là loại vật liệu kết hợp cả hai tính chất đàn hồi và dẻo: Ban đầu, vật liệu biến
dạng đàn hồi khi tải trọng còn nhỏ. Khi ứng suất vượt qua giới hạn đàn hồi, vật liệu chuyển sang
trạng thái biến dạng dẻo (biến dạng không hồi phục). lOMoAR cPSD| 59735516
Đất là một loại vật liệu đàn dẻo, vì: Ở tải trọng nhỏ, đất có thể biểu hiện tính đàn hồi, tức là biến
dạng phục hồi một phần khi tải trọng được loại bỏ. Ở tải trọng lớn hơn, đất thường biểu hiện
tính dẻo, với biến dạng không thể phục hồi hoàn toàn.
8.2 Thế nào là ứng sử tuyến tính/phi tuyến của vật liệu? Đường cong về ứng suất và
biến dạng của đất biến đổi thế nào?
Ứng xử tuyến tính:Vật liệu có ứng xử tuyến tính khi mối quan hệ giữa ứng suất (σ) và biến dạng
(ε) là một đường thẳng.
Ứng xử phi tuyến: Ứng xử phi tuyến xảy ra khi mối quan hệ giữa ứng suất (σ) và biến dạng (ε)
không còn là một đường thẳng mà là một đường cong.
Ứng xử của đất thường là phi tuyến và thay đổi theo loại đất, điều kiện tải trọng, và trạng thái
ban đầu của đất. Đường cong ứng suất – biến dạng của đất thường biểu hiện ba giai đoạn chính: 1. Giai đoạn đàn hồi:
o Ở tải trọng thấp, ứng suất và biến dạng gần như tỷ lệ tuyến tính.
o Đất biểu hiện khả năng phục hồi biến dạng khi tải trọng bị gỡ bỏ.
2. Giai đoạn phi tuyến và dẻo:
o Khi ứng suất tăng, quan hệ ứng suất – biến dạng trở nên phi tuyến.
o Đất bắt đầu có biến dạng dẻo (không phục hồi hoàn toàn).
o Quá trình này thường do các hạt đất tái sắp xếp hoặc trượt qua nhau. 3. Giai đoạn phá hoại:
o Ứng suất đạt đến một giá trị cực đại gọi là ứng suất cắt tới hạn hoặc điểm phá hoại.
o Sau điểm này, đất có thể giảm khả năng chịu tải (mềm hóa) hoặc duy trì một mức
ứng suất ổn định (ứng suất dư).
o Đường cong ứng suất – biến dạng tăng dần hoặc duy trì ổn định sau phá hoại,
tùy thuộc vào độ nhão và trạng thái bão hòa. 8.3
Trình bày định nghĩa về mô đun đàn hồi của vật liệu (E)? Tương tự cho mô đun
đàn hồi 1 chiều (M) (mô đun đàn hồi không nở hông), mô đun biến dạng cắt (G)
Mô đun đàn hồi (E) là đại lượng vật lý đặc trưng cho khả năng chống lại sự biến dạng của một
vật liệu khi chịu ứng suất. Nó được định nghĩa là tỷ lệ giữa ứng suất (σ) và biến dạng (ε) trong vùng đàn hồi lOMoAR cPSD| 59735516
Mô đun đàn hồi một chiều (M) là tỷ lệ giữa ứng suất (σ) và biến dạng (ε) khi không có sự giãn
nở hông (mô hình bị ràng buộc trong điều kiện 1 chiều)
Mô đun biến dạng cắt (GGG) là đại lượng đặc trưng cho khả năng chống lại sự biến dạng trượt
(biến dạng cắt) của vật liệu. Nó được định nghĩa là tỷ lệ giữa ứng suất cắt (τ) và biến dạng cắt (γ) 8.4
Trình bày phương trình liên hệ giữa mô đun đàn hồi (E) và mô đun biến dạng
cắt (G). Bạn có thể chứng minh phương trình này? 8.5
Trình bày phương trình liên hệ giữa mô đun đàn hồi (E) và mô đun đàn hồi một
chiều (M). Bạn có thể chứng minh phương trình này? 8.6
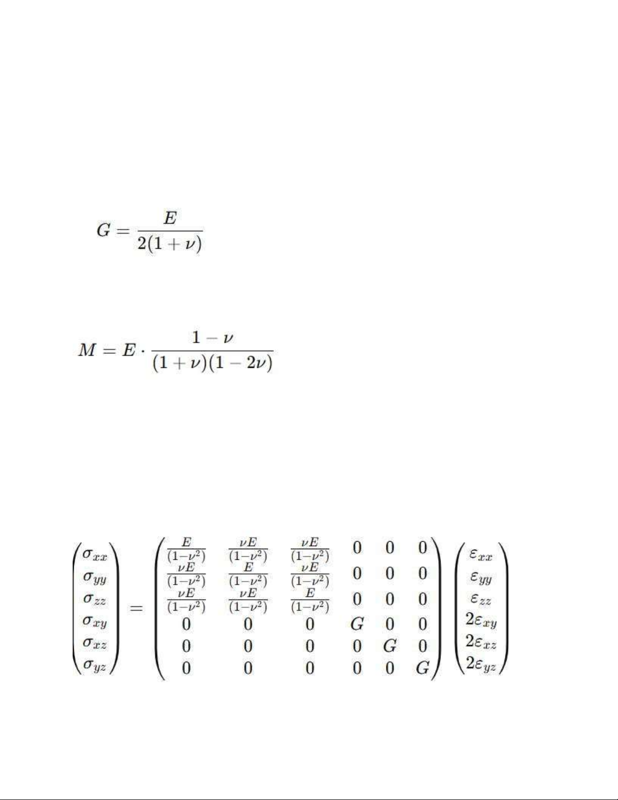
Trình bày mối liên hệ ứng suất – biến dạng đàn hồi của một phân tố vật liệu 3D
theo định luật Hoooke
Định lý Hooke mô tả mối quan hệ giữa ứng suất và biến dạng trong phạm vi đàn hồi. Trong ba
chiều, mối quan hệ này có thể được thể hiện dưới dạng các phương trình sau, với sự phụ thuộc
vào các mô đun đàn hồi của vật liệu như E, G và hệ số Poisson ν
Trong trường hợp vật liệu đồng nhất và đàn hồi, mối quan hệ giữa ứng suất và biến dạng có thể
được mô tả qua ma trận: 8.7
Trong thực tế, mô đun biến của đất là thay đổi theo cấp áp lực (dù ở tải trọng
và biến dạng rất nhỏ) và và các điều kiện biên. Mô đun cát tuyến (Es ) được định nghĩa lOMoAR cPSD| 59735516
như thế nào từ đường công ứng suất – biến dạng của thí nghiệm nén mẫu nở hông?
Khi áp dụng cho thí nghiệm nén 3 trục, định nghĩa này đúng và không đúng khi nào?
Trong thí nghiệm nén mẫu nở hông, mô đun biến dạng (hay mô đun đàn hồi) của đất được xác
định thông qua mối quan hệ giữa ứng suất và biến dạng trong quá trình nén. Cụ thể, mô đun
biến dạng của cát (Es) trong thí nghiệm này có thể được định nghĩa từ đường cong ứng suất-
biến dạng thu được trong quá trình nén mẫu, theo công thức:
Khi định nghĩa mô đun biến dạng đúng trong thí nghiệm nén 3 trục: •
Khi đất chưa bị phá vỡ •
Khi đất bị nén trong điều kiện áp lực trục chính nhỏ và độ biến dạng không quá lớn
Khi định nghĩa mô đun biến dạng không đúng trong thí nghiệm nén 3 trục: •
Khi đất chịu áp lực cao hoặc bắt đầu bị phá vỡ •
Khi có hiện tượng nở hông hoặc nén không đồng đều
8.8 Trình bày định nghĩa về cố kết của nền đất sét (definition of consolidation of clay)?
Cố kết của đất sét có thể được định nghĩa là quá trình giảm thể tích của đất sét khi đất chịu tải
trọng và nước trong các lỗ rỗng của đất bị ép ra ngoài, dẫn đến sự gia tăng mật độ và độ chặt
của đất. Quá trình này xảy ra chủ yếu qua sự chuyển động của nước trong các lỗ rỗng của đất
sét dưới tác động của áp suất ngoài.
8.9 Thí nghiệm nén cố kết 1 chiều (oedometer test) trong phòng được dùng để xác
định các các thông số cố kết của đất sét. Trình bày nguyên lý của thí nghiệm này và
các tính toán cần thiết để vẽ đường cong e-log
Nguyên lí: Thí nghiệm nén cố kết một chiều được thực hiện trong một thiết bị gọi là oedometer,
dùng để xác định khả năng cố kết của đất, đặc biệt là đất sét, dưới tác dụng của các tải trọng
ngoài. Quá trình cố kết xảy ra khi nước trong các lỗ rỗng của đất sét bị ép ra, làm đất giảm thể
tích và trở nên chặt chẽ hơn.
Mô hình đường cong: Đường cong e−logσ thường được mô tả bằng một phương trình dạng ′ logarit:
8.10Tại sao trong thực tế tính toán, ta lại vẽ đường cong e−logσ trên hệ tọa đó bán lô-ga-rit
mà không vẽ trên hệ tọa độ tuyến tính lOMoAR cPSD| 59735516
Vì khi chúng ta thể hiện đường cong cấu kết trên hệ tuyến tính thì sẽ là đường cong khó phan
tích.Còn trên hệ trục bán loga, đường cong xuất hiện 2 phần tương đối tuyến tính, từ đó chúng
ta có thể sử dụng các đoạn tương đối tuyến tính để phân tích
8.11 Để tính toán biến dạng của nền đất sétdưới điều kiện tải trọng 1D, 3 thông số Cc,Cr, σp
của đất cần được xác định từ đường cong e-logσ’v. Xác định Cc và Cr từ đường cong.
Hệ số nén Cc(Compression Index): Đây là hệ số mô tả sự giảm tỷ lệ rỗng khi áp suất hiệu quả
thay đổi. Nó có thể được tính toán từ độ dốc của đường cong e−logσ trong giai đoạn nén đàn ′′ hồi.
Công thức tính Cc từ đường cong e−logσ :′
Hệ số phục hồi Cr: Recompression Index): Hệ số phục hồi có thể được xác định từ đường cong
nén khi giảm áp suất hiệu quả, và tính tương tự như hệ số nén Cc, nhưng trong vùng phục hồi.
8.12 Trình bày hai phương pháp xác định giá trị σp’ (áp suất hiệu quả trước cố kết): phương
pháp Casagrande và phương pháp Silva.
Cách xác định áp suất hiệu quả σp’ theo phương pháp Casagrande: •
Xác định đoạn thẳng tiếp tuyến với phần đầu của đường cong trong vùng nén đàn hồi
(vùng có độ dốc lớn, liên quan đến sự thay đổi nhanh của tỷ lệ rỗng khi áp suất tăng). •
Tiếp theo, vẽ một đoạn thẳng tiếp tuyến với phần cuối của đường cong, nơi có sự thay
đổi dần dần và trở nên ổn định hơn. •
σp’ được xác định là điểm giao nhau của hai tiếp tuyến này, vì đó là giá trị áp suất hiệu
quả cao nhất mà đất đã từng chịu
Cách xác định áp suất hiệu quả σp theo phương pháp Silva:′ •
Đầu tiên, xác định đường cong nén e−logσ từ kết quả thí nghiệm nén cố kết.′ •
Silva xác định σp’bằng cách sử dụng đoạn cong có liên quan đến sự thay đổi tỷ lệ rỗng
mạnh mẽ. Thông qua một số công thức toán học, phương pháp Silva sử dụng một phân
tích toán học để xác định giá trị áp suất này một cách chính xác.
8.13 Định nghĩa tổng quát sức kháng cắt của đất? Sức kháng cắt của đất được kiểm
soát bởi các ứng suất tổng hay các ứng suất hữu hiệu?
Sức kháng cắt của đất (hay còn gọi là độ bền cắt của đất) là khả năng của đất chống lại sự trượt
hoặc sự thay đổi hình dạng khi có một lực cắt tác dụng lên nó. Khi đất chịu tải trọng, các phân lOMoAR cPSD| 59735516
tử đất bị kéo hoặc đẩy trong các hướng khác nhau, và sức kháng cắt xác định khả năng của đất
trong việc giữ cho các phân tử không chuyển động qua nhau dưới tác động của lực cắt.
Trong cơ học đất, sức kháng cắt của đất chủ yếu phụ thuộc vào ứng suất hữu hiệu, vì nó phản
ánh phần áp lực thực sự có tác dụng lên cấu trúc đất.
8.14 Thoát nước và không thoát nước khác nhau ở những điểm nào? Phương trình
sức khángcắt thoát nước (drained shear strength) và sức kháng cắt không thoát nước
(undrained shear strength) là gì
Thoát nước và không thoát nước là hai trạng thái quan trọng trong cơ học đất khi đất chịu tải
trọng, đặc biệt là trong quá trình chịu cắt (shear). Sự khác biệt giữa chúng chủ yếu là sự thay đổi
của áp suất nước trong lỗ rỗng khi đất bị biến dạng dưới tải trọng.
1. Thoát nước (Drained condition):
o Trong trường hợp thoát nước, nước trong lỗ rỗng có thể di chuyển ra khỏi hoặc
vào trong đất khi đất bị biến dạng. Tức là, đất có đủ thời gian để cho nước thoát
ra khỏi các lỗ rỗng, làm cho áp suất nước trong lỗ rỗng không bị tăng lên đáng
kể trong quá trình biến dạng.
o Điều này xảy ra khi đất có độ thấm cao và có đủ thời gian cho nước thoát ra khi
đất bị nén hoặc bị biến dạng. o Trong điều kiện thoát nước, đất sẽ ổn định và
khả năng chịu lực của đất được kiểm soát bởi ứng suất hữu hiệu (σ ).′
2. Không thoát nước (Undrained condition):
o Trong trường hợp không thoát nước, nước trong lỗ rỗng không thể thoát ra
ngoài do đất có độ thấm thấp hoặc quá trình biến dạng xảy ra quá nhanh khiến
nước không kịp thoát ra. Khi đó, áp suất nước trong lỗ rỗng sẽ tăng lên và tác
động đáng kể đến sức kháng cắt của đất.
o Điều này xảy ra trong các điều kiện như đất sét hoặc các loại đất ít thấm, hoặc
khi quá trình biến dạng diễn ra nhanh và không có đủ thời gian cho nước thoát ra.
o Trong điều kiện không thoát nước, đất chịu cắt mà không có sự thay đổi đáng kể
trong nước, và khả năng chịu cắt của đất sẽ bị giảm đi do sự tồn tại của áp suất nước trong lỗ rỗng.
Phương trình sức kháng cắt thoát nước (Drained shear strength):
Phương trình sức kháng cắt không thoát nước (Undrained shear strength): lOMoAR cPSD| 59735516
8.15 Các thông số cơ bản của sức kháng cắt của đất là gì?Độ bền kết dính (choặc c )′
Góc ma sát (ϕ hoặc ϕ’) Ứng suất tổng (σ)
Ứng suất hữu hiệu (σ )′
Sức kháng cắt không thoát nước (τu)
Sức kháng cắt thoát nước (τd)
8.16 Miêu tả nguyên lý của thí nghiệm cắt trực tiếp và cách xác định các thông số
sức kháng cắt củađất
Nguyên lý của thí nghiệm cắt trực tiếp:
Thí nghiệm cắt trực tiếp (Direct Shear Test) là một phương pháp xác định sức kháng cắt của đất
thông qua việc đặt mẫu đất vào trong một hộp cắt và áp dụng một lực cắt ngang qua mẫu đất
cho đến khi mẫu đất bị trượt. Thí nghiệm này cung cấp các thông số cơ bản như độ bền kết dính
(ccc) và góc ma sát (ϕ) của đất.
Trong thí nghiệm này, mẫu đất được chia thành hai phần, và lực cắt được áp dụng theo một
phương ngang, khiến một phần của mẫu đất trượt so với phần còn lại. Trong quá trình thí
nghiệm, áp lực nén (hoặc ứng suất tổng) và lực cắt được theo dõi để xác định sức kháng cắt.
8.17 Có mấy loại thí nghiệm 3 trục (Triaxial test) thông dụng trong thực tế. Miêu tả
nguyên lý thí nghiệm và các thông số sức kháng cắt đạt được từ mỗi loại thí nghiệm
3 trục ) 1. Thí nghiệm 3 trục không cố kết không thoát nước (UU - Unconsolidated
Undrained Test) Nguyên lý thực hiện: •
Mẫu đất được đặt trong buồng áp lực và chịu ứng suất toàn phần (σ3) từ môi trường xung quanh. •
Trong quá trình gia tải, mẫu đất không được cố kết (không cho thoát nước trước thí
nghiệm) và không thoát nước trong suốt quá trình nén.
Các thông số sức kháng cắt thu được: Chỉ đo được sức kháng cắt không thoát nước (Su), không
tách riêng được c và ϕ lOMoAR cPSD| 59735516
2. Thí nghiệm 3 trục cố kết không thoát nước (CU - Consolidated Undrained Test) Nguyên lý thực hiện: •
Mẫu đất được cố kết (cho thoát nước) để đạt trạng thái cân bằng ứng suất với áp lực
buồng (σ3) trước khi nén. •
Trong quá trình gia tải, nước không được phép thoát ra.
Các thông số sức kháng cắt thu được: •
Đường cong sức kháng cắt có thể xác định được góc ma sát trong (ϕ) và lực dính (c)
trong điều kiện thoát nước. •
Đồng thời, có thể xác định được áp lực nước lỗ rỗng sinh ra trong quá trình nén không thoát nước.
3. Thí nghiệm 3 trục cố kết thoát nước (CD - Consolidated Drained Test)
Nguyên lý thực hiện: Mẫu đất được cố kết (cho thoát nước) trước khi nén, sau đó được gia tải
từ từ với tốc độ thấp, cho phép nước tiếp tục thoát ra trong suốt quá trình nén.
Các thông số sức kháng cắt thu được: Xác định chính xác các thông số sức kháng cắt như góc ma
sát trong (ϕ) và lực dính (c) trong điều kiện thoát nước
8.18 Miêu tả nguyên lý thí nghiệm và các thông số sức kháng cắt đạt được t ừ thí nghiệm nén
một trục có nở hông (unconfined compression test)
Thí nghiệm nén một trục có nở hông (Unconfined Compression Test - UCT)
Thí nghiệm nén một trục có nở hông là một phương pháp thí nghiệm đơn giản và nhanh chóng
để xác định cường độ chịu nén không giới hạn (quq_uqu) của đất, đặc biệt thường áp dụng cho đất sét bão hòa. Nguyên lý thí nghiệm Chuẩn bị mẫu đất lOMoAR cPSD| 59735516
1. Mẫu đất được lấy từ hiện trường hoặc chế bị trong phòng thí nghiệm, có dạng
trụ với kích thước chuẩn (thường tỷ lệ chiều cao so với đường kính là 2:1).
2. Đảm bảo mẫu bão hòa hoàn toàn trước khi thử nghiệm (nếu là đất sét). Cài đặt mẫu
1. Mẫu được đặt giữa hai tấm nén phẳng trong máy nén.
2. Không có áp lực xung quanh tác động lên mẫu (khác với thí nghiệm 3 trục). Tiến hành nén
1. Tăng tải trọng trục dọc từ từ với tốc độ không đổi (thường theo tiêu chuẩn ASTM hoặc TCVN).
2. Trong quá trình nén, mẫu đất có thể tự do nở ra theo phương ngang (không bị giới hạn). .