



















Preview text:
CĐ1 ALKANE
KIẾN THỨC CẦN NHỚ
A. KHÁI QUÁT VỀ HYDROCARBON
- Khái niệm: Hydrocacbon là những hợp chất hữu cơ trong phân tử chỉ chứa 2 nguyên tố C và H.
- Công thức tổng quát: CnH2n + 2 – 2k (k = π + v là độ bất bão hòa) - Phân loại: Hydrocacbon no Hydrocacbon không no
Hydrocacbon thơm (Arene)
- Phân tử chỉ chứa liên kết - Phân tử chứa liên kết bội:
- Phân tử chứa vòng benzene. đơn C – C, C – H. C = C, C ≡ C. VD: C6H6, C7H8, … VD: Alkane: CH 4, C2H6, … VD: Alkene: C2H4, C3H6, … Cycloalkane: C3H6 ( ) Alkyne: C2H2, C3H4, … B. ALKANE
I. Khái niệm, đồng phân, danh pháp
1. Khái niệm – công thức chung của alkane
- Alkane là những hydrocarbon no, mạch hở chỉ chứa các liên kết đơn trong phân tử.
- Công thức chung: CnH2n+2 (n 1) 2. Đồng phân
- Alkane từ 4C trở lên có đồng phân về mạch carbon (mạch không phân nhánh và phân nhánh).
- Bậc của một nguyên tử carbon trong phân tử alkane bằng số nguyên tử carbon liên kết trực tiếp
với nguyên tử carbon đó. Bậc của một nguyên tử carbon kí hiệu bằng các số La Mã (I, II, III, IV). 3. Danh pháp
♦ Tên gọi thay thế của các alkane không phân nhánh = Tên tiền tố (chỉ số C) + ane Số C Công thức alkane
Tiền tố (phần nền) Tên alkane Cách nhớ 1 CH4 meth- methane mẹ 2 CH 3 – CH 3 eth- ethane em 3 CH3 – CH2 – CH3 prop- propane phải 4 CH3 – [CH2]2 – CH3 but- butane bón 5 CH3 – [CH2]3 – CH3 pent- pentane phân 6 CH3 – [CH2]4 – CH3 hex- hexane hóa 7 CH3 – [CH2]5 – CH3 hept- heptane học 8 CH3 – [CH2]6 – CH3 oct- octane ở 9 CH3 – [CH2]7 – CH3 non- nonane ngoài 10 CH3 – [CH2]8 – CH3 dec- decane đồng 1
KIẾN THỨC CẦN NHỚ
♦ Tên gọi thay thế của các alkane phân nhánh
- Gốc alkyl là phần còn lại sau khi lấy đi một nguyên tử hydrogen từ phân tử alkane. Alkane (C − nH2n+2) 1H ⎯⎯⎯ → Alkyl (CnH2n+1-)
(tên t iền tố + ane) (tên tiền tố + yl)
- Tên gọi thay thế của alkane phân nhánh:
Các bước gọi tên Chú ý
- Mạch chính là mạch dài nhất, nhiều nhánh
B1: Xác định mạch chính nhất.
- Từ phía gần nhánh nhất để tổng vị trí nhánh là
B2: Đánh số nguyên tử carbon mạch chính nhỏ nhất.
- Nếu có nhiều nhánh giống nhau thì thêm: di-
(2), tri- (3), tetra- (4), … để chỉ số lượng nhóm
B3: Xác định tên gọi các nhánh và vị trí nhánh giống nhau;
- Nếu có nhiều nhánh khác nhau thì gọi tên
nhánh theo bảng chữ cái ABC.
Bước 4: Gọi tên theo công thức: Vị trí nhánh – tên nhánh + tên alkane mạch chính
(Chữ với số cách nhau bởi dấu “–”; số với số cách nhau bởi dấu “,”; chữ với chữ viết liền) ♦ Tên riêng
- Một số alkane có tên riêng: C số 2 có 1 nhóm CH3- thêm “iso”, C số 2 có 2 nhóm CH3- thêm “neo”
II. Đặc điểm cấu tạo
- Phân tử alkane chỉ chứa các liên kết đơn C – C, C – H là các liên kết σ bền vững và kém phân
cực Phân tử alkane hầu như không phân cực và ở điều kiện thường chúng trơ về mặt hóa học.
- Trong alkane, mỗi nguyên tử C đều nằm ở tâm của một hình tứ diện liên kết với bốn nguyên tử
nằm ở 4 đỉnh của hình tứ diện đó. methane ethane
III. Tính chất vật lí
- Ở điều kiện thường: Alkane C1 – C4 và neopentane: chất khí (khí gas); C5 – C17 trừ neopentane:
chất lỏng (xăng, dầu); C18 trở lên: chất rắn (nến, sáp).
- Các alkane nhẹ hơn nước, rất ít tan trong nước, tan tốt trong dung môi không phân cực do alkane kém phân cực.
- Nhiệt độ nóng chảy, nhiệt độ sôi tăng dần theo phân tử khối, alkane mạch không phân nhánh có
nhiệt độ sôi cao hơn so với mạch phân nhánh.
IV. Tính chất hóa học
- Ở điều kiện thích hợp, alkane tham gia phản ứng thế, phản ứng cracking, phản ứng reforming và phản ứng oxi hóa.
1. Phản ứng thế halogen (Cl2, Br2/ ánh sáng hoặc to) TQ: CnH2n+2 + aX2 as ⎯⎯→ C 1:a nH2n+2-aXa + aHX (X: Cl, Br)
- Phản ứng trên gọi là phản ứng halogen hóa alkane, sản phẩm tạo thành gọi là dẫn xuất halogen. 2 - Từ C
3H8 trở lên, phản ứng tạo ra nhiều sản phẩm thế và tuân theo qui tắc “Ưu tiên thế vào H của C có bậc cao hơn”.
KIẾN THỨC CẦN NHỚ
2. Phản ứng cracking
- Cracking alkane là quá trình phân cắt liên kết C – C (bẻ gãy mạch carbon) của các alkane mạch
dài để tạo thành hỗn hợp các hydrocarbon mạch ngắn hơn. o xt,t TQ: CnH2n+2 ⎯⎯⎯
→ CmH2m +2 + CqH2q (n = m + q)
- Phản ứng cracking được ứng dụng trong công nghệ lọc dầu, giúp tạo thêm các hydrocarbon lỏng
(xăng, dầu) từ alkane rắn. 3. Phản ứng refoming
- Reforming alkane là quá trình chuyển các alkane mạch không phân nhánh thành các alkane mạch
phân nhánh và các hydrocarbon mạch vòng.
- Phản ứng reforming không làm thay đổi số nguyên tử carbon trong phân tử và cũng không làm
thay đổi đáng kể nhiệt độ sôi của chúng.
- Phản ứng reforming được dùng trong công nghiệp lọc dầu để tăng chỉ số octane của xăng. 4. Phản ứng oxi hóa
♦ Phản ứng oxi hóa hoàn toàn (phản ứng cháy) + o TQ: C t nH2n+2 + 3n
1O2 ⎯⎯→ nCO2 + (n +1)H2O 2
- Khi đốt cháy ankan ta luôn có: n n và ngược lại. n = n − n . H2O C 2 O ankan H2O C 2 O
- Phản ứng đốt cháy alkane tỏa lượng nhiệt lớn để đun nấu, sưởi ấm, cung cấp năng lượng cho các ngành công nghiệp.
♦ Phản ứng oxi hóa không hoàn toàn
- Phản ứng đốt cháy thiếu oxygen: tạo C hoặc CO. o VD: 2C t 5H12 + 11O2 (thiếu) ⎯⎯ → 10CO + 12H2O
- Phản ứng oxi hóa cắt mạch tạo carboxylic acid o TQ: RCH xt, t
2 – CH2R’ + 2,5O2 ⎯⎯⎯ → RCOOH + R’COOH + H2O
- Alkane không làm mất màu dung dịch thuốc tím KMnO4.
V. Nguồn alkane trong tự nhiên, điều chế và ứng dụng của alkane
♦ Nguồn alkane trong tự nhiên
- Trong tự nhiên alkane có nhiều trong thành phần của dầu mỏ, khí thiên nhiên và khí mỏ dầu. ♦ Điều chế
- Alkane thể khí được lấy từ khí thiên nhiên và khí mỏ dầu: Khí dầu mỏ hóa lỏng (LPG) có thành
phần chính là propane và butane, khí thiên nhiên hóa lỏng (LNG) có thành phần chính là methane.
- Alkane thể lỏng và rắn được điều chế từ dầu mỏ bằng phương pháp chưng cất phân đoạn: Xăng,
dầu hỏa, dầu diesel, dầu nhờn, … và nhựa đường. ♦ Ứng dụng
- Alkane được dùng làm nhiên liệu, dung môi, dầu nhờn, …, nguyên liệu trong tổng hợp hữu cơ.
♦ Ô nhiễm không khí do phương tiện giao thông
- Khí thải từ các phương tiện giao thông như CO2, CO, NOx, … gây ô nhiễm môi trường.
- Biện pháp hạn chế ô nhiễm môi trường: Sử dụng nhiên liệu sạch, nhiên liệu sinh học, sử dụng
tiết kiệm năng lượng, … 3
❖ BÀI TẬP TỰ LUẬN
♦ VÍ DỤ MINH HỌA
Câu 1. Cho các công thức: CH4, C2H4, C2H2, C2H6, C3H8, C4H6, C5H12, C6H10, C6H6. Những
công thức nào là của alkane?
Câu 2. Viết các đồng phân và gọi tên (tên thay thế và tên thông thường nếu có) của alkane có
công thức C4H10, C5H12, C6H14.
Câu 3. Viết các đồng phân và gọi tên gốc alkyl có công thức C3H7- và C4H9-.
Câu 4. Viết công thức cấu tạo thu gọn của các chất có tên gọi sau và xác định bậc của các
nguyên tử carbon trong các công thức đó: (1) pentane; (2) 2 – methylbutane; (3) 2, 3 – dimethylbutane;
(4) 3 – ethyl – 2 – methylheptane; (5) isopentane; (6) neopentane.
Câu 5. [CTST - SBT]* Gọi tên alkane sau theo danh pháp thay thế:
CH − C H − C H − CH − CH − C H − CH − CH − CH − CH 3 2 2 2 2 2 3 | | | CH CH C H 3 3 2 (a) | CH − C H 3 | CH3 CH3 |
CH − C H − CH − C− CH − C H − CH (b) 3 2 2 3 | | | CH CH − C− CH CH 3 3 3 3 | CH3
Câu 6. Xác định công thức phân tử và số đồng phân cấu tạo của alkane X biết:
(a) Alkane X có phân tử khối là 30
(b) Alkane X có tỉ khối so với hydrogen là 29.
(c) Alkane X có %mC = 83,72%. (d) Alkane X có mC : mH = 5.
Câu 7. [CTST - SGK] Quan sát biểu đồ thể hiện nhiệt độ sôi của bốn alkane đầu tiên.
(a) Nhận xét và giải thích sự biến đổi nhiệt độ sôi của các alkane đã cho trong biểu đồ.
(b) Ở nhiệt độ phòng, methane, ethane, propane và butane là những chất lỏng hay chất khí? 4
Câu 8. [CTST - SBT] So sánh và giải thích nhiệt độ sôi của alkane mạch không phân nhánh với
alkane mạch phân nhánh khi chúng có cùng số nguyên tử carbon trong phân tử.
Câu 9. [CTST - SGK] Biết rằng thành phần chủ yếu của xăng dầu là hydrocarbon. Hãy giải thích vì sao:
(a) phải chứa xăng dầu trong các thùng chứa chuyên dụng và bảo quản ở những kho riêng.
(b) các sự cố tràn dầu trên biển thường gây ra thảm hoạ cho một vùng biển rất rộng.
(c) khi bị cháy xăng dầu không nên dùng nước để dập đám cháy.
Câu 10. [CTST - SBT] Em hãy cho biết xăng có tan được trong nước hay không và chất béo có
tan được trong xăng hay không. Theo em, bác thợ sửa xe thường rửa tay bằng gì để sạch các vết dầu mỡ?
Câu 11. [CTST - SBT] Butane là chất lỏng có thể nhìn thấy bên trong một chiếc bật lửa trong
suốt, có nhiệt độ sôi thấp hơn một ít so với nhiệt độ của nước đóng băng (-0,5 oC). Tuy nhiên vì
sao butane trong bật lửa lại không sôi?
Câu 12. Viết phương trình hóa học xảy ra khi cho
(a) methane tác dụng với chlorine (có chiếu sáng hoặc đun nóng), các nguyên tử hydrogen trong
methane lần lượt bị thay thế bởi các nguyên tử chlorine, tạo 4 dẫn xuất chloro khác nhau.
(b) neopentane (2, 2 - dimethylpropane) tác dụng với Cl2 (as, tỉ lệ 1 : 1).
(c) isopentane (2 - methylbutane) tác dụng với Cl2 (as, tỉ lệ 1 : 1). Xác định sản phẩm chính.
(d) cracking decane (C10H22), viết 3 phản ứng khác nhau.
(e) reforming pentane, viết 2 phản ứng khác nhau.
(g) Đốt cháy hoàn toàn butane, hexane. 5
(h) Đốt cháy alkane ở dạng tổng quát. Tìm mối liên hệ giữa số mol CO2, H2O và số mol alkane tham gia phản ứng.
Câu 13. [KNTT - SBT] Monochloro hoá propane (có chiếu sáng, ở 25°C), thu được 45% 1-
chloropropane và 55% 2-chloropropane; còn monobromine hoá propane (có chiếu sáng và đun
nóng đến 127 °C), thu được 4% 1-bromopropane và 96% 2-bromopropane. Dựa trên các kết quả
thực nghiệm này, hãy nhận xét về:
(a) quan hệ giữa khả năng tham gia phản ứng thế của alkane và bậc của carbon;
(b) khả năng phản ứng của các halogen và tính chọn lọc vị trí thế của các halogen.
Câu 14. [CD - SBT] Khí gas đun nấu (có thành phần chính là propane và butane) có thể gây
ngạt. Khí gas nặng hơn không khí (propane nặng gấp 1,55 lần; butanne nặng gấp 2,07 lần không
khí) nên khi thoát khỏi thiết bị chứa, gas tích tụ ở những chỗ thấp trên mặt đất và tạo thành hỗn
hợp gây cháy nổ. Khi phát hiện rò rỉ khí gas trong nhà, chúng ta cần phải làm gì để đảm bảo an toàn?
Câu 15. [CTST - SGK] Nguyên nhân nào đã làm gia tăng khói thải và các hạt bụi mịn vào không khí?
(a) Khí thải do các phương tiện giao thông hoạt động thải ra trong quá trình đốt cháy nhiên liệu
là hỗn hợp của các khí và các hạt khác nhau. Bụi mịn PM2.5 là các hạt bụi có đường kính nhỏ
hơn hoặc bằng 2,5 μm. Chúng lo lửng trong không khí và được hình thành từ các nguyên tố như'
C, S, N cùng các hợp chất kim loại khác. Cho biết tác hại của bụi mịn PM2.5 đến sức khoẻ?
(b) Em hãy đề xuất một số giải pháp để hạn chế tình trạng ô nhiễm không khí hiện nay.
Câu 16. [CTST - SBT]* Chỉ số octane (octane number) là
đại lượng đặc trưng cho yếu tố đo lường khả năng chống
kích nổ của một nhiên liệu khi nhiên liệu này bốc cháy với
không khí bên trong xi lanh của động cơ đốt trong. Nếu chỉ
số octane của một mẫu xăng thấp, xăng sẽ tự cháy mà
không do bu-gi bật tia lửa điện đốt. Điều này làm cho hiệu suất động cơ giảm và sẽ hư hao các chi tiết máy.
Người ta quy ước rằng chỉ số octane của 2,2,4-trimethylpentane là 100 và của heptane là 0. Các
hydrocarbon mạch vòng và mạch phân nhánh có chỉ sô octane cao hơn hydrocarbon mạch không
phân nhánh. Để xác định chỉ số octane của một mẫu xăng, người ta dùng máy đo chỉ số octane.
(a) Chỉ số octane càng cao, chất lượng xăng sẽ như thế nào? 6
(b) Trong thực tế, xăng không chỉ gồm 2,2,4-trimethylpentane và heptane mà là một hỗn hợp
gồm nhiều hydrocarbon khác nhau. Giả thiết một mẫu xăng chỉ gồm 8 phần thể tích 2,2,4-
trimethylpentane và 2 phần thể tích heptane thì chỉ số octane của mẫu xăng này là bao nhiêu?
(c) Thế nào là xăng RON 92? RON 95? Xăng nào có chỉ số octane cao hơn?
(d) Ethanol có thể làm tăng chỉ số octane của xăng không? Biết rằng chỉ số octane của ethanol là 109.
(e) Thế nào là xăng E5, E10. Tính chỉ số octane của xăng E5 và xăng E10.
♦ BÀI TẬP TỰ LUYỆN
Câu 17. [CTST - SGK] Hãy nêu nhận xét đặc điểm cấu tạo phân tử của các alkane viết công thức chung của alkane.
(a) Alkane nào dưới đây có mạch phân nhánh? (1) CH − CH − CH 3 2 2 CH − CH− CH 3 3 (2) | CH3
(b) Phân tử của một alkane trong sáp nến có 52 nguyên tử hydrogen. Xác định số nguyên tử
carbon trong phân tử alkane nói trên.
Câu 18. [KNTT - SGK] Tên gọi của chất sau đây bị sai, em hãy giải thích và sửa lại cho đúng. CH − C H − CH − CH 3 2 3 | : 1-methylbutane CH3
Câu 19. [CTST - SBT] Để hoàn thành bài tập gọi tên các đồng phân của alkane có công thức
phân tử là C4H10, một bạn học sinh đã vẽ các dạng mạch carbon của alkane này, biết rằng dạng
mạch carbon này chỉ chứa các liên kết đơn có thể có, sau đó bạn tiếp tục bổ sung các nguyên tử
hydrogen vào dạng mạch carbon để hoàn tất bài tập. Theo em, học sinh đó đã sai ở điểm nào? Câu 20. [KNTT - SBT] 7
(a) Viết công thức cấu tạo của các alkane có tên gọi sau: Pentane; 2-methylbutane (isopentane)
và 2,2-dimethylpropane (neopentane).
(b) Gọi tên các alkane sau: (i) (ii)
Câu 21. [CTST - SBT] Mặc dù có 5 nguyên tử carbon trong phân tử nhưng neopentane (2,2-
dimethylpropane) ở thể khí trong điều kiện thường. Giải thích.
Câu 22. [CD - SBT]. Trong quá trình khai thác hoặc vận chuyển dầu mỏ, đôi khi xảy ra sự cố tràn dầu trên biển.
(a) Các sự cố tràn dầu trên biển gây ra thảm họa về môi trường như thế nào?
(b) Để xử lý sự cố tràn dầu trên biển, người ta thường làm như thế nào? Giải thích lí do sử dụng các kĩ thuật đó.
Câu 23. Hãy giải thích vì sao:
(a) các bể chứa xăng thường được quét một lớp nhũ màu trắng bạc?
(b) khi tiếp xúc lâu dài với xăng sẽ làm cho da bị phồng rộp và gây đau nhức?
(c) Xăng dầu nhiên liệu cho ô tô, xe máy là hỗn hợp của các hydrocarbon mạch nhánh C5H12 –
C11H24, trong đó có octane là chất có khả năng chịu kích nổ tốt. Vì sao người ta không dùng một
loại hydrocarbon (ví dụ octane để làm xăng mà lại dùng hỗn hợp các hydrocarbon?
Câu 24. [CD – SGK] Vì sao không được dùng nước để dập tắt đám cháy xăng, dầu mà phải dùng cát hoặc CO2
Câu 25. [CD - SBT]. Trong phản ứng thế nguyên tử H của phân tử alkane, bromine có tính chọn
lọc cao, nghĩa là xác xuất thế nguyên tử H ở nguyên tử carbon bậc ba gấp hàng trăm lần xác xuất
thế H ở nguyên tử carbon bậc một và bậc hai. Xác định công thức cấu tạo sản phẩm chính của
phản ứng xảy ra khi cho (CH3)2CHCH2CH3 phản ứng với bromine (chiếu sáng)
Câu 26. [KNTT - SBT] Cho các alkane sau: (a) butane; (b) isobutane (2-methylpropane) và (c)
neopentan (2,2-dimethylpropane). Số dẫn xuất một lần thế được tạo thành khi chlorine hoá các
hydrocarbon trên là bao nhiêu? Viết công thức cấu tạo và gọi tên các sản phẩm.
Câu 27. [CD – SGK] Viết công thức cấu tạo và gọi tên thay thế của các hydrocarbon có công
thức phân tử C5H12. X là một trong các đồng phân của C5H12 khi thế monochloro thu được một
dẫn xuất duy nhất. Xác định công thức và tên gọi của X. 8
Câu 28. Viết phương trình hóa học xảy ra khi cho 3 – methylpentane tác dụng với Cl2 (as, tỉ lệ 1
: 1). Xác định sản phẩm chính.
Câu 29. [CD – SGK] Dầu thô có thành phần chính là các hydrocarbon. Người ta có thể phân
tách các hydrocacrbon có trong dầu thô bằng phương pháp chưng cất phân đoạn. Mỗi phân đoạn
gồm một số hydrocarbon có nhiệt độ sôi gần nhau.
(a) Vì sao khó thu được hydrocarbon tinh khiết bằng cách chưng cất dầu thô?
(b) Undecane (C11H24) là một hydrocarbon mạch dài có trong dầu thô. Undecane có thể bị
cracking tạo thành pentane và một alkene. Viết phương trình hoá học của phản ứng xảy ra.
Câu 30. [CD – SGK] Biogas hay khí sinh học là một hỗn hợp khí (chủ yếu là methane, chiếm
hơn 60%) được sinh ra từ quá trình phân hủy kị khí ủa các phụ phẩm nông nghiệp ( chất thải của
gia súc, gia cầm, rơm, rạ,…), rác thải hữu cơ,…Mỗi m3 biogas có thể cung cấp năng lượng tương
đương 0,4 kg dầu diesel hoặc 0,6 kg xăng hoặc 0,8 kg than. Cho biết sử dụng biogas mang lại lợi ích gì?
Câu 31. [CD – SGK] Khí thải của động cơ có thể chứa những chất nào gây ô nhiễm môi
trường? Có những giải pháp nào để hạn chế ô nhiễm môi trường do khí thải của động cơ?
Câu 32. [CD - SBT]. “Băng cháy” là dạng tinh thể hydrate của methane với nước, có công thức
là CH4.nH2O. Băng cháy được hình thành ở sâu dưới lòng đất dưới đấy biển và là nguồn
methane quan trọng trong tương lai. Tìm hiểu các tài liệu và internet em hãy đề xuất biện pháp khai thác băng cháy.
Câu 33. Xác định công thức cấu tạo và gọi tên thay thế của X trong các trường hợp sau:
(a) Alkane X thể khí điều kiện thường, khi thế chlorine (as) chỉ cho một sản phẩm thế monochloro.
(b) Alkane X có tỉ khối hơi so với hydrogen là 36. Khi X thế chlorine (as) thu được 4 sản phẩm thế monochloro.
(c) Alkane X có %mC = 83,33%. Khi X thế clo (as) thu được một sản phẩm thế monoclo.
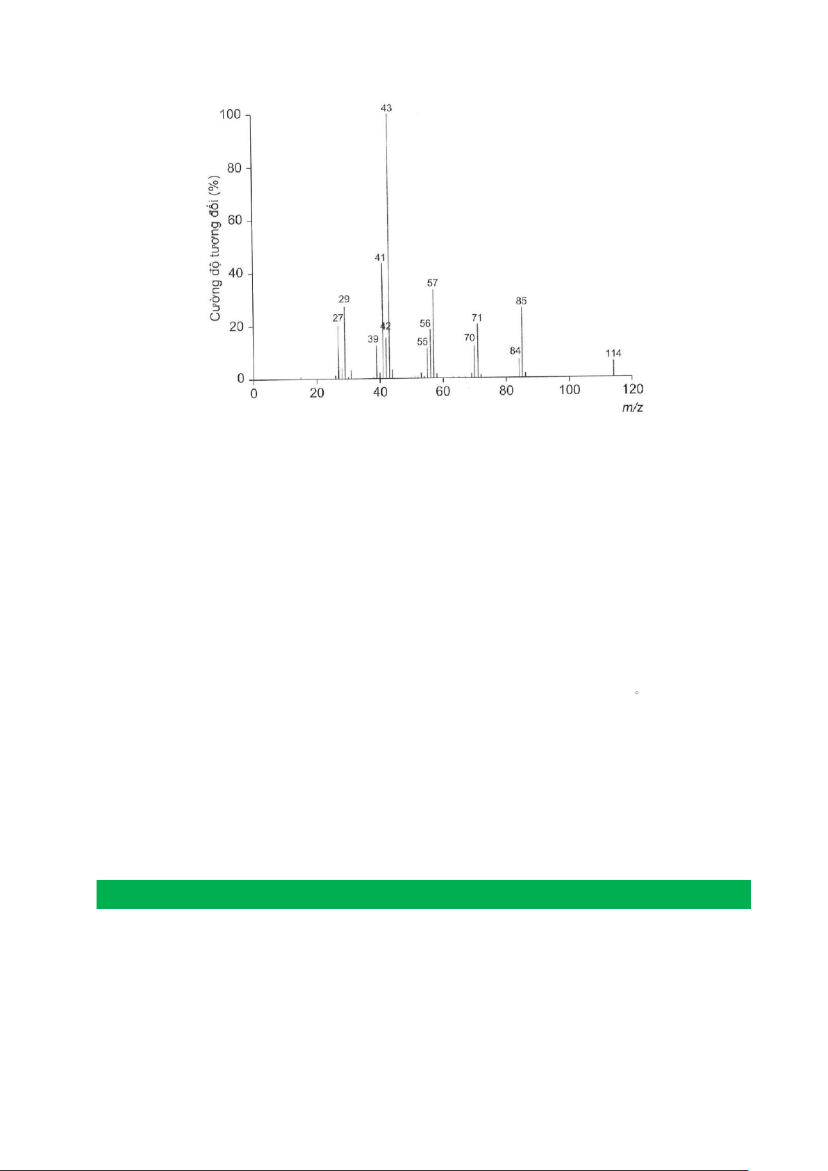
Câu 34. [CTST - SBT] Phân tích thành phần nguyên tố của hợp chất hữu cơ X thu được kết quả
%C và %H (theo khối lượng) lần lượt là 84, 21% và 15,79%. Phân tử khối của hợp chất X này
được xác định thông qua kết quả phổ khối lượng như hình bên dưới với peak ion phân tử có giá trị m/z lớn nhất. 9
(a) Xác định công thức phân tử của X.
(b) Nếu không có kết quả phân tích phổ khối lượng của X, trình bày cách xác định công thức
phân tử của X dựa trên những dữ kiện em đã biết.
Câu 35. [CTST - SBT] Trong phản ứng thế của propane với chlorine ở nhiệt độ phòng khi có
ánh sáng, tỉ lệ khả năng phản ứng tương đối của nguyên tử hydrogen gắn ở nguyên tử carbon bậc
I và nguyên tử carbon bậc II tương ứng là 1: 4 .
(a) Xác định tỉ lệ phần trăm các sản phẩm thế monochloro thu được trong phản ứng thế trên.
(b) Dự đoán khả năng phản ứng và tỉ lệ phần trăm các sản phẩm thế thu được khi thay chlorine bằng bromine.
Câu 36. [CTST - SBT] Khi cho 2-methylpropane tác dụng với bromine ở 127C thu được hỗn
hợp 2 sản phẩm thế monobromo là 1-bromo-2-methylpropane (0,56%) và 2-bromo-2-
methylpropane (99, 44%) . Xác định tỉ lệ khả năng phản ứng tương đối của nguyên tử hydrogen
gắn ở nguyên tử carbon bậc I và nguyên tử carbon bậc III trong phản ứng.
❖ BÀI TẬP TRẮC NGHIỆM
1. Mức độ nhận biết
Câu 1. Đặc điểm nào sau đây là của hydrocarbon no?
A. Chỉ có liên kết đôi.
B. Chỉ có liên kết đơn.
C. Có ít nhất một vòng no.
D. Có ít nhất một liên kết đôi.
Câu 2. Alkane là các hydrocarbon
A. no, mạch vòng.
B. no, mạch hở. 10
C. không no, mạch hở.
D. không no, mạch vòng.
Câu 3. Alkane là những hydrocarbon no, mạch hở, có công thức chung là
A. CnH2n+2 (n ≥1). B. CnH2n (n ≥2).
C. CnH2n-2 (n ≥2). D. CnH2n-6 (n ≥6).
Câu 4. Các Alkane như: CH4, C2H6, C3H8, … hợp thành dãy nào dưới đây?
A. đồng đẳng của acetylen.
B. đồng phân của methane.
C. đồng đẳng của methane.
D. đồng phân của Alkane.
Câu 5. [KNTT - SBT] Công thức phân tử nào sau đây không phải là công thức của một alkane? A. C2H6. B. C3H6. C. C4H10. D. C5H12.
Câu 6. Nhóm nguyên tử còn lại sau khi lấy bớt một nguyên tử H từ phân tử alkane gọi là gốc
ankyl, có công thức chung là
A. CnH2n-1 (n ≥ 1). B. CnH2n+1 (n ≥ 1).
C. CnH2n+1 (n ≥ 2). D. CnH2n-1 (n ≥ 2).
Câu 7. Nhóm nguyên tử CH3- có tên là A. methyl. B. ethyl. C. propyl. D. butyl.
Câu 8. Nhóm nguyên tử CH3CH2- có tên là A. methyl. B. ethyl. C. propyl. D. butyl.
Câu 9. Nhóm nguyên tử CH3CH2CH2- có tên là A. methyl. B. ethyl. C. propyl. D. isopropyl.
Câu 10. Dãy các Alkane được sắp xếp theo thứ tự tăng dần phân tử khối là
A. hexane, heptane, propane, methane, ethane.
B. methane, ethane, propane, hexane, heptane.
C. heptane, hexane, propane, ethane, methane.
D. methane, ethane, propane, heptane, hexane.
Câu 11. [KNTT - SBT] Pentane là tên theo danh pháp thay thế của
A. CH3[CH2]2CH3. B. CH3[CH2]3CH3.
C. CH3[CH2]4CH3. D. CH3[CH2]5CH3.
Câu 12. [KNTT - SBT] Alkane (CH3)2CH–CH3 có tên theo danh pháp thay thế là
A. 2-methylpropane. B. isobutane. C. butane. D. 2-methylbutane.
Câu 13. Ở điều kiện thường hydrocarbon nào sau đây ở thể lỏng? A. C4H10. B. C2H6. C. C3H8. D. C5H12.
Câu 14. Alkane hòa tan tốt trong dung môi nào sau đây? 11 A. Nước. B. Benzene.
C. Dung dịch acid HCl. D. Dung dịch NaOH.
Câu 15. Trong các chất dưới đây, chất nào có nhiệt độ sôi thấp nhất? A. Butane. B. Ethane. C. Methane. D. Propane.
Câu 16. Phản ứng đặc trưng của hydrocarbon no là
A. Phản ứng tách.
B. Phản ứng thế.
C. Phản ứng cộng.
D. Phản ứng oxi hóa.
Câu 17. Các alkane không tham gia loại phản ứng nào?
A. Phản ứng thế.
B. Phản ứng cộng.
C. Phản ứng tách. D. Phản ứng cháy.
Câu 18. Khi đốt cháy một hydrocarbon, thu được a mol CO2 và b mol H2O. Trong trường hợp
nào sau đây có thể kết luận rằng hydrocarbon đó là alkane? A. a > b. B. a < b. C. a = b. D. a ≥ b.
Câu 19. (QG.15): Khí thiên nhiên được dùng làm nhiên liệu và nguyên liệu cho các nhà máy sản
xuất điện, sứ, đạm, ancol methylic,… Thành phần chính của khí thiên nhiên là methane. Công
thức phân tử của methane là A. CH4. B. C2H4. C. C2H2. D. C6H6.
Câu 20. (QG.19 - 201). Hiện nay, nhiều nơi ở nông thôn đang sử dụng hầm biogas để xử lí chất
thải trong chăn nuôi gia súc, cung cấp nhiên liệu cho việc đun nấu. Chất dễ cháy trong khí biogas là A. Cl2. B. CH4. C. CO2. D. N2.
Câu 21. [CTST - SBT] Biogas là một loại khí sinh học, được sản xuất bằng cách ủ kín các chất
thải hữu cơ trong chăn nuôi, sinh hoạt. Biogas được dùng để đun nấu, chạy máy phát điện sinh
hoạt gia đình. Thành phần chính của biogas là A. N2. B. CO2. C. CH4. D. NH3.
Câu 22. [CTST - SBT] Theo ước tính, trung bình mỗi ngày một con bò "ợ" vào bầu khí quyển
khoảng 250 L - 300 L một chất khí có khả năng gây hiệu ứng nhà kính. Khí đó là A. O2. B. CO2. C. CH4. D. NH3.
Câu 23. [CD - SBT]. Trong công nghiệp, các alkane được điều chế từ nguồn nào sau đây?
A. Sodium acetate.
B. Dầu mỏ và khí dầu mỏ.
C. Aluminium carbide (Al4C3). D. Khí biogas.
2. Mức độ thông hiểu
Câu 24. Khi nói về phân tử Alkane không phân nhánh thì đặc điểm nào sau đây là đúng? 12
A. Chỉ có carbon bậc I và II.
B. Chỉ có carbon bậc I, II và III.
C. Chỉ có carbon bậc II.
D. Chỉ có carbon bậc I.
Câu 25. Bậc của nguyên tử carbon đánh dấu (*) trong hợp chất sau là A. bậc I. B. bậc II. C. bậc III. D. bậc IV.
Câu 26. Trong phân tử sau đây, các nguyên tử carbon:
A. 1 và 4 giống nhau; 2 và 3 giống nhau.
B. 1 và 4 giống nhau; 5 và 6 giống nhau.
C. 1, 4, 5, 6 giống nhau; 2 và 3 giống nhau.
D. 2 và 3 giống nhau; 5 và 6 giống nhau.
Câu 27. Số đồng phân cấu tạo tương ứng với công thức phân tử C4H10 là A. 1. B. 2. C. 3. D. 4.
Câu 28. Số đồng phân cấu tạo tương ứng với công thức phân tử C5H12 là A. 1. B. 2. C. 3. D. 4.
Câu 29. [KNTT - SBT] Alkane X có công thức phân tử C6H14.Số công thức cấu tạo của X là A. 2. B. 3. C. 4. D. 5
Câu 30. Hydrocarbon X có công thức cấu tạo:
Danh pháp thay thế của X là
A. 2,3-dimethylpentane.
B. 2,4-dimethylbutane.
C. 2,4-dimethylpentane. D. 2,4-methylpentane.
Câu 31. Hydrocarbon Y có công thức cấu tạo:
Danh pháp thay thế của Y là
A. 2,3,3-methylbutane.
B. 2,2,3-dimethylbutane.
C. 2,2,3-trimethylbutane.
D. 2,3,3-trimethylbutane.
Câu 32. Công thức cấu tạo thu gọn của 2,2-dimethylpropane là 13
A. (CH3)2CHCH2CH3. B. (CH3)4C.
C. CH3CH2CH2CH2CH3. D. CH3CH2CH(CH3)2.
Câu 33. Công thức cấu tạo thu gọn của 2,3-dimethylbutane là
A. (CH3)2CH−CH(CH3)2.
B. (CH3)3C−C(CH3)3.
C. (CH3)2C−CH(CH3)2. D. CH3CH2C(CH3)3.
Câu 34. [CD - SBT] Tên thay thế của hydrocarbon có công thức cấu tạo (CH3)3CCH2CH2CH3 là
A. 2,2-dimethylpentane.
B. 2,3-dimethylpentane.
C. 2,2,3- trimethylbutane.
D. 2,2- dimethylbutane.
Câu 35. Trong phân tử 2,2,4-trimethylpentane có bao nhiêu nguyên tử hydrogen? A. 8. B. 12. C. 16. D. 18.
Câu 36. [KNTT - SBT] Tên gọi của alkane nào sau đây đúng?
A. 2-ethylbutane.
B. 2,2-dimethylbutane.
C. 3-methylbutane.
D. 2,3,3-trimethylbutane.
Câu 37. Phần trăm khối lượng carbon trong C4H10 là A. 28,57 %. B. 82,76 %. C. 17,24 %. D. 96,77 %.
Câu 38. Theo chiều tăng dần số nguyên tử carbon trong phân tử, phần trăm khối lượng carbon
trong phân tử alkane
A. không đổi. B. tăng dần.
C. giảm dần.
D. biến đổi không theo quy luật.
Câu 39. Trong dãy đồng đẳng của methane, alkane nào có hàm lượng hydrogen lớn nhất? A. CH4. B. C3H8. C. C6H14. D. C10H22.
Câu 40. Phần trăm khối lượng carbon trong alkane X là 83,33 %. Công thức phân tử của X là A. CH4. B. C3H8. C. C5H12. D. C10H22.
Câu 41. Phần trăm khối lượng hydrogen trong alkane X là 25,00 %. Công thức phân tử của X là A. CH4. B. C2H6. C. C3H8. D. C4H10.
Câu 42. Hàm lượng nguyên tố hydrogen trong alkane X là 82,76 %. Số đồng phân cấu tạo của X là A. 1. B. 2. C. 3. D. 4.
Câu 43. [KNTT - SBT] Cho các alkane kèm theo nhiệt độ nóng chảy và nhiệt độ sôi (°C) sau:
propane (-187,7 và - 42,1), butane (-138,3 và - 0,5), pentane (-129,7 và 36,1), hexane (- 95,3 và
68,7). Số alkane tồn tại ở thể khí ở điều kiện thường là A. 1. B. 2. C. 3 D. 4. 14
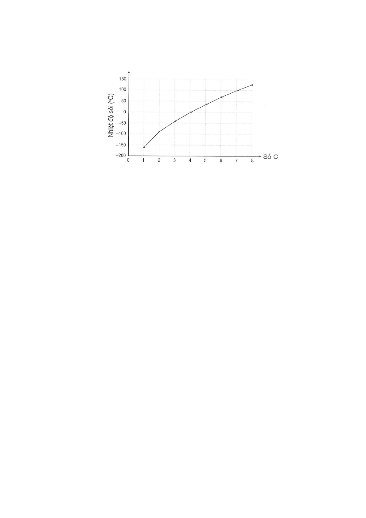
Câu 44. [CTST - SBT] Đồ thị dưới đây thể hiện mối tương quan giữa nhiệt độ sôi và số nguyên
tử carbon trong phân tử alkane không phân nhánh được biểu diễn như sau:
Đồ thị biểu diễn mối tương quan giữa nhiệt độ sôi và số nguyên tử carbon trong phân tử
alkane không phân nhánh
Dựa vào đồ thị đã cho, số phân tử alkane không phân nhánh ở thể khí trong điều kiện thường là A. 4. B. 2. C. 3. D. 1.
Câu 45. Phân tử methane không tan trong nước vì lí do nào sau đây?
A. Phân tử methane không phân cực.
B. Methane là chất khí.
C. Phân tử khối của methane nhỏ.
D. Methane không có liên kết đôi.
Câu 46. [KNTT - SBT] Cho các chất sau: chloromethane, dichloromethane, trichloromethane và
tetrachloromethane. Số chất là sản phẩm của phản ứng xảy ra khi trộn methane với chlorine và
chiếu ánh sáng tử ngoại là A. 1. B. 2. C. 3. D. 4
Câu 47. [KNTT - SBT] Cho các chất sau: (X) 1-chloropropane và (Y) 2-chloropropane. Sản
phẩm của phản ứng monochloro hoá propane là A. (X). B. (Y).
C. cả hai chất. D. chất khác X, Y.
Câu 48. [CD - SBT] Hydrocarbon Y có công thức cấu tạo như sau: (CH3)2CHCH2CH3. Khi cho
Y phản ứng với bromine có thể thu được bao nhiêu dẫn xuất monobromo là đồng phân cấu tạo của nhau? A. 3. B. 4. C. 5. D. 6.
Câu 49. (A.08): Cho isopentane tác dụng với Cl2 theo tỉ lệ số mol 1: 1, số sản phẩm monochloro
tối đa thu được là A. 5. B. 4. C. 3. D. 2. 15
Câu 50. Khi cho 2,2-dimethylpropane phản ứng với chlorine (tỉ lệ mol 1:1), chiếu sáng thì có thể
tạo ra tối đa bao nhiêu sản phẩm thế monochloro? A. 1. B. 2. C. 3. D. 5.
Câu 51. [CTST - SBT] Khi cho 2,2-dimethylbutane tác dụng với chlorine thu được tối đa bao
nhiêu dẫn xuất monochloro? A. 3. B. 2. C. 5. D. 4.
Câu 52. Khi cho 2,3,4-trimethylpentane phản ứng với chlorine (tỉ lệ mol 1:1), chiếu sáng thì có
thể tạo ra tối đa bao nhiêu sản phẩm thế monochloro? A. 4. B. 5. C. 8. D. 6.
Câu 53. [CTST - SBT] Alkane A có công thức phân tử C5H12. A tác dụng với chlorine khi đun
nóng chỉ tạo một dẫn xuất monochloro duy nhất. Tên gọi của A là A. pentane.
B. 2-methylbutane.
C. 2,2-dimethylpropane. D. 3-methylbutane.
Câu 54. (A.13): Khi được chiếu sáng, hydrocarbon nào sau đây tham gia phản ứng thế với
chlorine theo tỉ lệ mol 1: 1, thu được ba dẫn xuất monochloro là đồng phân cấu tạo của nhau? A. neopentane. B. pentane. C. butane. D. isopentane.
Câu 55. Đồng phân cấu tạo nào của alkane có công thức phân tử C5H12 chỉ tạo ra duy nhất một
sản phẩm thế khi phản ứng với chlorine (tỉ lệ mol 1:1), chiếu sáng? A. pentane.
B. 2-methylbutane.
C. 2,2-dimethylpropane.
D. Không có đồng phân nào.
Câu 56. Khi phản ứng với bromine (tỉ lệ mol 1:1), chiếu sáng, 2-methylpentane có thể tạo ra sản
phẩm chính là dẫn xuất thế ở carbon nào? A. C6. B. C2. C. C3. D. C4.
Câu 57. [CD - SBT]. Cho butane phản ứng với chlorine thu được sản phẩm chính là
A. 2-chlorobutane. B. 1-chloributane.
C. 3-chlorobutane. D. -cholorobutane.
Câu 58. [KNTT - SBT] Cracking alkane là quá trình phân cắt liên kết C-C (bẻ gãy mạch
carbon) của các alkane mạch dài để tạo thành hỗn hợp các hydrocarbon có mạch carbon A. ngắn hơn. B. dài hơn.
C. không đổi. D. thay đổi.
Câu 59. Cho phản ứng cracking sau: 16
Công thức cấu tạo thu gọn của X là A. CH3CH2CH3.
B. CH3−CH=CH2.
C. CH3−CH=CH−CH3. D. CH3CH2CH2CH3.
Câu 60. [KNTT - SBT] Oxi hoá butane bằng oxygen ở 180°C và 70 bar tạo thành sản phẩm hữu
cơ X duy nhất. X là A. HCOOH B. CH3COOH. C. C2H5COOH. D. CO2.
Câu 61. [CD - SBT] Cho nhiệt đốt cháy hoàn toàn 1 mol các chất ethane, propane, butane và
pentane lần lượt là 1570 kJ mol-1 ; 2220 kJ mol-1 ; 2875 kJ mol-1 và 3536 kJ mol-1. Khi đốt cháy
1 gam chất nào sẽ thu được nhiệt lớn nhất? A. Ethane. B. Propane C. Butane. D. Pentane.
Câu 62. [CD - SBT] Phát biểu nào sau đây là đúng?
A. Những hợp chất mà trong phân tử chỉ chứa liên kết đơn là hydrocarbon no.
B. Hydrocarbon chỉ chứa liên kết đơn trong phân tử là hydrocarbon no.
C. Hydrocarbon có các liên kết đơn trong phân tử là hydrocarbon no.
D. Hydrocarbon có ít nhất một liên kết đơn trong phân tử là hydrocarbon no.
Câu 63. [CD - SBT] Nhỏ 1 mL nước bromine vào ống đựng 1 mL hexane, chiếu sáng và lắc
đều. Hiện tượng quan sát được là
A. trong ống nghiệm có chất lỏng đồng nhất.
B. màu của nước bromine bị mất.
C. màu của nước bromine không thay đổi.
D. trong ống nghiệm xuất hiện kết tủa.
Câu 64. [KNTT - SBT] Phát biểu nào sau đây không đúng?
A. Trong phân tử alkane chỉ chứa các liên kết σ bền vững.
B. Các phân tử alkane hầu như không phân cực.
C. Ở điều kiện thường các alkane tương đối trơ về mặt hoá học.
D. Trong phân tử methane, bốn liên kết C–H hướng về bốn đỉnh hình vuông.
Câu 65. [KNTT - SBT] Phát biểu nào sau đây không đúng (ở điều kiện thường)?
A. Các alkane từ C1 đến C4 và neopentane ở trạng thái khí.
B. Các alkane từ C5 đến C17 (trừ neopentane) ở trạng thái lỏng.
C. Các alkane không tan hoặc tan rất ít trong nước và nhẹ hơn nước.
D. Các alkane không tan hoặc tan rất ít trong các dung môi hữu cơ. 17
Câu 66. [KNTT - SBT] Nhận xét nào sau đây đúng về tính chất hoá học của alkane
A. Khá trơ về mặt hoá học, phản ứng đặc trưng là thế và tách
B. Hoạt động hoá học mạnh, phản ứng đặc trưng là thế và tách.
C. Khá trơ về mặt hoá học, phản ứng đặc trưng là cộng và trùng hợp.
D. Hoạt động hoá học mạnh, phản ứng đặc trưng là cộng và trùng hợp.
Câu 67. [CD – SGK] Biện pháp nào sau đây không làm giảm ô nhiễm môi trường gây ra do sử
dụng nhiên liệu từ dầu mỏ?
A. Đưa thêm hợp chất có chứa chì vào xăng để làm tăng chỉ số octane của xăng.
B. Đưa thêm chất xúc tác vào ống xả động cơ để chuyển hoá các khí thải độc hại.
C. Tăng cường sử dụng biogas.
D. Tổ chức thu gom và xử lí dầu cặn.
Câu 68. [KNTT - SBT] Phát biểu nào sau đây không đúng về phản ứng reforming alkane?
A. Chuyển alkane mạch không phân nhánh thành các alkane mạch phân nhánh.
B. Chuyển alkane mạch không phân nhánh thành các hydrocarbon mạch vòng.
C. Số nguyên tử carbon của chất tham gia và của sản phẩm bằng nhau.
D. Nhiệt độ sôi của sản phẩm lớn hơn nhiều so với alkane tham gia phản ứng.
Câu 69. [KNTT - SBT] Phát biểu nào sau đây về ứng dụng của alkane không đúng?
A. Propane C3H8 và butane C4H10 được sử dụng làm khí đốt.
B. Các alkane C6, C7, C8 là nguyên liệu để sản xuất một số hydrocarbon thơm.
C. Các alkane lỏng được sử dụng làm nhiên liệu như xăng hay dầu diesel.
D. Các alkane từ C11 đến C20 được dùng làm nến và sáp.
Câu 70. [CD - SBT]. Để tăng chất lượng của xăng, dầu, người ta thực hiện cách nào sau đây?
A. Thực hiện phản ứng reforming để thay đổi cấu trúc của các alkane không nhánh thành
hydrocarbon mạch nhánh hoặc mạch vòng có chỉ số octane cao.
B. Thực hiện phản ứng cracking để thay đổi cấu trúc các alkane mạch dài chuyển thành các
alkene và alkane mạch ngắn hơn.
C. Thực hiện phản ứng hydrogen hóa để chuyển các alkene thành alkane.
D. Bổ sung thêm heptane vào xăng, dầu.
Câu 71. [CD - SBT]. Phương pháo nào sau đây có thể được thực hiện để góp phần hạn chế ô
nhiễm môi trường do các phương tiện giao thông gây ra?
A. Không sử dụng phương tiện giao thông.
B. Cấm các phương tiện giao thông tại các đô thị.
C. Sử dụng phương tiện chạy bằng điện hoặc nhiên liệu xanh. 18
D. Sử dụng các phương tiện chạy bằng than đá.
3. Mức độ vận dụng - vận dụng cao
Câu 72. (A.13): Tên thay thế của (CH3)3C–CH2–CH(CH3)2 là
A. 2,2,4,4-tetramethylbutane.
B. 2,4,4-trimethylpentane.
C. 2,2,4-trimethylpentane.
D. 2,4,4,4-tetramethylbutane.
Câu 73. Hydrocarbon X có công thức cấu tạo:
Số nguyên tử carbon và số nhánh trong mạch chính của X là:
A. 4 carbon và 2 nhánh.
B. 5 carbon và 2 nhánh.
C. 5 carbon và 1 nhánh.
D. 4 carbon và 1 nhánh.
Câu 74. Hydrocarbon Z có công thức cấu tạo:
Danh pháp thay thế của Z là
A. 2,2,3-trimethylpentane.
B. 2,3,3-trimethylpentane.
C. 3-ethyl-2,2-dimethylbutane.
D. 2-ethyl-3,3-dimethylbutane.
Câu 75. [CTST - SBT] Cho alkane sau: CH − C H − C H − CH 3 3 | | C H CH 2 3 | CH3
Danh pháp thay thế của alkane trên là
A. 2-ethyl-3-methylbutane.
B. 2-methyl-3-ethylbutane.
C. 3,4-dimethylpentane.
D. 2,3-dimethylpentane.
Câu 76. Hydrocarbon T có công thức cấu tạo:
Danh pháp thay thế của T là
A. 3-ethyl-2,4-dimethylpentane.
B. 2-methyl-3-propylpentane.
C. 2,4-dimethyl-3-ethylpentane.
D. 2-propyl-3-methylpentane. 19
Câu 77. Alkane X có công thức cấu tạo như sau: CH3 CH2 CH CH2 CH3 CH CH3 CH3 Tên gọi của X là
A. 3- isopropylpentane.
B. 2-methyl-3-ethylpentane.
C. 3-ethyl-2-methylpentane.
D. 3-ethyl-4-methylpentane.
Câu 78. Alkane X có công thức cấu tạo như sau: C2H5 CH3 C CH2 CH CH2 CH3 CH3 CH3
Tên gọi của X là
A. 2-methyl-2,4-diethylhexane.
B. 2,4-diethyl-2-methylhexane.
C. 3,3,5-trimethylheptane.
D. 3-ethyl-5,5-dimethylheptane.
Câu 79. Đồng phân cấu tạo nào của alkane có công thức phân tử C6H14 tạo ra ít sản phẩm thế
nhất khi phản ứng với chlorine (tỉ lệ mol 1:1), chiếu sáng?
A. 2,2-dimethylbutane.
B. 2,3-dimethylbutane.
C. 2-methylpentane. D. 3-methylpentane.
Câu 80. Đồng phân cấu tạo nào của Alkane có công thức phân tử C6H14 tạo ra nhiều sản phẩm
thế nhất khi phản ứng với chlorine (tỉ lệ mol 1:1), chiếu sáng?
A. 2-methylpentane.
B. 3-methylpentane. C. pentane. D. 2,2-dimethylbutane.
Câu 81. [CTST - SBT] Có bao nhiêu alkane (có số nguyên tử C 5 ) khi tác dụng với chlorine
(có ánh sáng hoặc đun nóng) tạo duy nhất một sản phẩm thế monochloro? A. 3. B. 2. C. 1. D. 4.
Câu 82. Cho các Alkane sau: propane (I); 3-methylpentane (II); 2,2-dimethylbutane (III) và 2,3-
dimethylbutane (IV). Chất nào tác dụng với chlorine trong điều kiện chiếu sáng thu được ba dẫn xuất monochloro? A. II và III.
B. I, III và IV. C. II, IV. D. Chỉ III.
Câu 83. Dãy alkane nào sau đây thỏa mãn điều kiện: mỗi công thức phân tử có một đồng phân
khi tác dụng với chlorine theo tỉ lệ mol 1: 1 tạo ra 1 dẫn xuất monochloro duy nhất?
A. CH4, C3H8, C4H10, C6H14.
B. CH4, C2H6, C5H12, C8H18. 20