



















Preview text:
CHAPTER 1: OVERVIEW ABOUT MACROECONOMICS
A. Economics: way, scarce sources – allocate – alternative uses- human needs Human needs: unlimited Resources: Limited >>TRADE- OFF B.
How people make decision? 1. Compare MB and MC
MB: Marginal Benefit: The amount of utility/ benefit increases when you take one more action
MC: Marginal Cost: The amount of cost increases when you take one more action MB>MC of one action: Do
MC2. Opportunity cost: The value of the best alternative for one action OC is high>> Don’t OC is low>> Do C.
Division: 2 (Roles and Subfields) 1.
Roles: Positive vs Normative Positive Normative Scientists Policy advisors
What is happening? What Happened What SHOULD/NEED to be done? Facts Advisory
2. Subfields: Macroeconomics vs Microeconomics Macro Micro Overview More detailed
The whole economy of a country, a region,
Focus on behaviors of 3 “actors” of Economy: the world households, firms, governments
A basket of goods, The Price Index
Can: separated goods, price of each good
Unemployment rate, Economic growth
rate, interest rate, Inflation rate D. 3 questions and 3 types
3 Questions: Produce: What, How, To Whom 3 Types
Command: Governments ANSWER/ DECIDE ALL 3 questions
Market: NO government intervention: Only Households answer: To Whom, Firms answer: What+ How
Invisible hand: Adam Smith, >> PRICE IS the factor that drives the behaviors of firms and households
Mixed: Governments, Households, Firms answer 3 questions TOGETHER. Firms and
households interact first, if market failures emerge>> Governments intervene to stabilize
Command+ Mixed: Models have GOVERNMENT: Visible hand: Kenyes E. 3 Economics Models 1. Supply and Demand:
Exogenous: outside, cannot see in the model>> Shift (increase: Right, decrease: Left)
Edogenous: inside, can see in the model>> Move along a curve
2. Circular Flow Diagram: 2 actors: Firms+ Households, 2 markets: Goods, Services and
Factors of Production, 2 REVERSED FLOWS: Money and tangible+ intangible goods
>> Income=Expenditure : from Households aspect
3. PPF: Production Possibility Frontier
2 goods, 1 economy produces, given resources and technology Meaning of PPF:
Trade off: OC when producing one more unit of X or Y>> PPF slopes down (increase X then decrease Y and vice visa)
Efficiency: On PPF: Possible+ Efficient: all resources are utilized, below (on the left handed
side): Possible+ Inefficient, Above (on right handed side): impossible (lack of resources)
Unemployment rate: Below> ON PPF (natural unemployment rate) > Above
CHAPTER 2: GDP, GNP, CPI A. GDP 1.
DEFINITION: ALL, MARKET VALUE, FINISHED GOODS, WITHIN A
COUNTRY, GIVEN PERIOD OF TIME •
All: không tính(exclude) self-supply (tự cung, tự cấp) and illegal -> VD: hoạt động ở nhà trông con •
Market value: không tính value on UNDERGROUND market •
Final: exclude INTERMEDIATE goods (EXCEPT: INTERMEDIATE goods FOR
EXPORTING and INTERMEDIATE FOR EXPORTING IN INVENTORY (còn trong tồn kho)) •
Within a country: GDP on country –only count for products produced in the territory
of that country (không tính: import) •
Produced + Given in a period of time: produce in which year>>count for that year only
(không tính: RESALES (mua đi+bán lại, thanh lý)
3 APPROACHES: Expenditure (production), Income, Value added
1. Expenditure: GDP = C +I +G+NX (product approach)
C: Consumption (của household)
HOUSEHOLDS: daily consumption for living, Note:
Include: renters: rental payments: included in C, home owners who use house for renting:
imputed value of the house (furniture, decoration, repair of goods in the house: included in C)
Exclude Households buy NEW HOUSE
I: Investment (total) = net investment + depreciation (khấu hao) •
Business: Inventory (PRODUCED but not SOLD YET) and NEW plants and
equipment (2 cách invest) •
Households: BUY NEW HOUSES
Investment of Macro vs General Investment •
Investment in the formula of GDP: TOTAL INVESTMENT = NET INVESTMENT+ DEPRECIATION •
Investment of Macro HAS to create Goods and services for market •
>> Stocks(cổ phiếu), bonds(trái phiếu) are not considered as an investment in marco but only SAVINGS STOCKS VS BONDS •
Stocks: ownership (equity), often depends on profit, khi nào cty có lợi nhuận, người giữ cố phiếu có lợi tức •
Bonds: debt , not depend on profit: chủ nợ của người phát hành trái phiếu, khi đến hạn,
có lợi nhuận hay k cx cần trả lợi nhuận cho người mua trái phiếu ➔ Stocks : risker > bonds ➔ Companies: risker > gov
HIGH RISK, HIGH RETURN(interest)
>> The yield (interest rate of stocks or bonds) depends on the risk that it has
G: Government spending (expenditure) •
Governments spend for goods and services •
Exclude TRANSFER PAYMENT : unemployment doll (trợ cấp thất nghiệp), pension
(lương hưu) , interest payment for bonds
NX: Net Export= Export – Import
2. Income : GDP =w+i+r+Pr+Ti+De • W: wage • I: Interest rate • R: rental payment • Pr: Profit = TR-TC • Ti: Indirect tax (VAT) •
De: Depreciation value (total I = 300, net I = 200 -> De = 300-200)
3. Value added: Sum of VA of all businesses in an economy
VA= value of production – value of intermediate goods bought from others
Trồng lúa mì, sau đó bán lúa mì cho người làm bột mì: 10
Người làm bột mì, mua lúa mì rồi sx bột bán đc giá: 20
Người làm bánh mì lại mua bột mì rồi bán được bm với giá: 30
VA on bán lúa mì = 10-0, VA on làm bột mì = 20-10, VA on bán bm = 30-20 GDP = 10+10+10 GDP nominal vs GDP real
GDP nominal: current price>> show difference in both Price and Ouput
GDP real: base year price>> Difference in GDPr>> Difference in output of economy GDP Deflator:
Dgdp: Price index = GDPn/GDPr x 100 (no unit) B. GNP 1.
DEFINITION: ALL, Market value, finished goods, people of one country, given a period of time GDP vs GNP
GNP= GDP + value of G&S produced by people of one country in other country – value of
G&S produced by people of other country in one country
=GDP+NFA(thu nhập dòng từ nhân tố nước ngoài) GNP GDP Geographical limit No Yes Personality limit Yes No Other formula: • NNP=GNP-De • NI=NNP-Ti • Yd= Y- Tax+ subsidies C.
CPI: Consumer Price Index
Definition: basket – typical consumer -> Cost of living How to calculate •
Fix the basket (find the goods + services in the basket) •
Find the prices of the goods and services in the basket •
Calculate the Cost of the basket in current year and the cost of basket in Base year •
Calculate CPI: CPI = Cost of the basket in current year/ cost of basket in Base year x 100 (no unit) •
Inflation rate = CPIt –CPI(t-1)/CPI (t-1) x 100 (%)
True/false: there are 2 indexs to calculate inflation rate
Why CPI is often overstated? •
Substitution: some goods have prices increased with quicker speed than others ->
consumers adjust their behaviors, but the basket is fixed (chicken for pork, beef for pork)
(không ghi nhân số lượng chính xác đc mua) •
Introduction of new goods: increase variety and choices>> real value of money
increases, but the basket doesn’t count this (Netflix) (không nghi nhận hàng hóa mua) •
Unmeasured Quality change of the goods and services in the basket: quality of goods
changes>> the real value of money changes >> but the basket doesn’t count (the upgraded
software with the same price)(VD: 10k 100ml -> KM: 10k 250ml) CPI Dgdp
Hàng hóa xa xỉ(luxurious item) X
Hàng hóa tư bản (phục vụ cho sx) X (capital goods)
Hàng hóa nhập khẩu (vì do 1 người tiêu X dung mua)
Giỏ hàng hóa(basket ) Cố định trong 1 Thay đổi vì sx ra khoảng thời gian gì thì tính cái đó CHAPTER 6: AD, AS A. AD: aggregate demand AD=C+I+G+NX 1.
AD: slopes down : P increases ->AD decreases and vice visa
➔ Mqh giữa P và AD tỉ lệ nghịch
P: mức giá chung (cpi, Dgdp)
Why AD slopes down : 3 theories: the wealth effect, the interest-rate effect, and the exchange rate effect. •
Pigou's wealth effect: When the price level fal s, cùng 1 income như cũ, mua đc nhiều
hàng hòa hơn -> consumers feel that they are wealthier, a condition which induces more
consumer spending>>a drop in the price level induces consumers to spend more, thereby
increasing the aggregate demand. •
Keynes's interest-rate effect: Price decreases>> Consumers need less money to buy a
certain number of goods and services>> They can have more money to save >> supply for
loanable funds market increases (supply for money) + ít nhu cầu vay -> cầu vay giảm >> Real
interest rate falls >> Investment of businesses increases >> AD increases (other factors keep unchanged) •
Mundell-Fleming's exchange-rate effect: Price decreases>> more savings>> interest
rate falls>> the people don’t want to invest domestically, instead they invest aboard (gửi tieefn
sang nước ngoài) >> the demand for foreign currency increases, demand for domestic currency
decreases, the value of domestic currency decreases>> Export increases, Import decreases>>
NX increases>> AD increases
2. Factors that make AD shift
Shift : khi là yếu tố ngoại sinh (yt không có trong hình)
Movement: khi là yếu tố nội sinh (yt có trong hình)
Nếu AD/AS tăng -> shift right
Nếu AD/AS giảm -> shift left Policies:
csach tiền tệ hay cs tài khóa chỉ tác động đến đường AD
cứ là chính sách mở rộng (tặng slg, kích cầu) -> AD tăng
csach thắt chặt -> AD giảm •
Fiscal policy: Government: Tax, Government spending (or subsidies) •
Monetary policy: Central Bank: 3 tools (in chapter Money and Monetary Tools) •
Fiscal or Monetary Policies ONLY AFFECT AD CURVE •
Policies to increases AD >> AD shifts right and vice visa
Demand shocks( include but not limited) • Shocks on Stock market •
Economic downturn>> decreases in Consumption, Investment •
Covid 19>> disruption in Global supply chain •
Có lợi: khởi sắc của thị trường Chkhoan, sự phục hồi nền kte-> shift right •
Bất lợi: covid 19 -> shift left B. AS 1.
Long term AS: LRAS, does NOT depend on Price
LRAS: depends on Technology, Human Resources ( Labour(population)), Natural
Resources, Labour, Capital (ngoại sinh) •
Tăng -> LRAS shift right •
Bất lợi -> LRAS shift left
LRAS cắt trục hoành tại Y*(mức sản lượng tiềm năng của nền kinh tế: mức sản lượng
khi nền kinh tế đã sử dụng tối đa nguồn lực – chỉ đạt đc trong dài hạn)
TRONG DÀI HẠN, NỀN KINH TẾ LUÔN Ở MỨC SẢN LƯỢNG TIỀM NĂNG
These factors change>> LRAS shifts to the right if potential yield increases and vice visa
2. Short term AS: SRAS: Slopes up due to 3 theories
Sticky wage: Price increases, but nominal wage stated in the contract (tiền lương kí hợp đồng)
doesn’t change immediately >> TR=PxQ of business increases, TC decreases relatively tương
đối so với cũ >> Profit increases>> Motive to produce more>> AS increases
Sticky price: Price increases, but the price on the menus or catalogues has not been
changed>> Consumers take chance to buy more in present (so that they can buy at cheaper
price in comparison with that in the future)>> TR=PxQ increases, other factors keep
unchanged, then profit increases, more motives to produce>> supply increases
Misconception: Price increases, the businesses think that the increase in prices may be due
to the increase in demand, so they produce more to meet the demands
3. What factors make SRAS shift? (include but not limited) Bất lợi -> trái Có lợi -> phải •
Prices of input for productions: tăng -> TC tăng -> profit giảm -> đluc sx giảm -> SRAS left •
Tax levied on production or businesses •
Future price (expected price): tăng -> sx trong tg lai có lợi hơn -> trái •
Recession(suy thOÁI) -> trái •
Disruption in GSC (global supply chain) C. AD-AS MODEL P: mức giá chung
VD giá dầu thô tăng -> ngoại sinh -> shift
Equilibrium in short term: SRAS and AD meet
Equilibrium in long term: point where LRAS, SRAS, AD meet. We have Y*: potential yield YY=Y*: balance Y>Y*: “hot” economy
In long run, the yield of economy always = Y* D.
STEPS to create the model
Step 1: Analyse to know the situation will affect AD, or SRAS
Step 2: let AD or SRAS shift
Step 3: Find new equilibrium in short term
Step 4: Conclude about the temporary Price and Yield at new equilibrium in short term
Note: CẢ 2 ĐƯỜNG CÙNG DỊCH, CHỈ XÁC ĐC 1 YẾU TỐ Y HOẶC P
DỰA VÀO THỰC TẾ (TỈ LỆ LẠM PHÁT, THẤT NGHIỆP) -> ĐỂ ĐƯA RA GIẢ
ĐỊNH, VẼ ĐC CẢ 2 ĐƯỜNG DỊCH CHUYỂN ===Analyze in long term===
Step 5. 1: SRAS dịch phải -> Y at new equilibrium in short term > Y* (hot economy) , then to
increase Y, have to increase the wage paid for employees >> cost of
businesses increases, other factors keep unchanged>> Profit decreases>>
motives to produce decrease>> SRAS shifts to the left, economy returns to balanced point Y*
Step 5.2: AD dịch trái -> Y at new equilibrium in short term see that the resources of economy has not been used up yet (or we have
redundancy in resources, especially the labours)-> umemployment rate có xu Y Y*
hướng cao hơn -> to hire employees, businesses might pay less>> Their cost
decreases, Profit increases>> motives to produce increases>> SRAS shifts to the
right, economy returns to balanced point
➔ Quay về Y* với P < P* (Policies)
Hỏi về chính sách -> đưa ra chính sách + vẽ hình, mô tả tác động của chính sách
(AD dịch chuyển thế nào? Khiến sl giá thay đổi ra sao?)
CHAPTER 3: APE AND FISCAL POLICY A.
APE ( tông chi tiêu dự kiến = aggregate expected expenditure) 1.
Assumptions to create APE model
Price and wage is sticky in short-term
Aggregate supply can meet the aggregate demand
Do not consider the effect of Monetary market to Goods & Services Market
>> To indicate that in short term, Aggregate demand depends on aggregate expenditure of the economy
Income of economy is equal to The Yield of economy = Y 2.
APE model of Kenyes (aggregate expenditure model): 2 lines
45 line: includes points in which: TOTAL AGGREGATE EXPENDITURE = TOTAL INCOME
APE line has 3 characteristics: •
Slopes up: the more income, the more expenditure • 0< hệ số góc <1 •
Angel coefficient <1: When income increases by 1, total aggregate expenditure increases
by an amount <1 ( khi thu nhap tang len 1 don vi, thì chi tiêu dự kiến tăng lên ít hơn 1 đv) •
Constant coefficient > 0( tông chi tiêu dự kiến tự đinh - tổng chi tiêu KHÔNG PHỤ
THUÔC VÀO THU NHÂP, LÀ MƯC CHI TIÊU THẤP NHẤT CUA NÊN KINH TÊ): Even
when the total income of economy(Y)=0, then there is still expenditure (for necessary
goods&services: foods, clothings,…). The level of aggregate expenditure o
Is the lowest level of aggregate expenditure o Does not depend on Income
45 line meets APE line at E0 where APE= Income (Y=APE), unexpected inventory=0
Real expenditure=expected expenditure E0(Y0,APE0)
If Y1 APE inventory increases (unexpected inventory (UI) >0) ➔ Kì tiếp, sx ít đi
If Y1>Y0 -> APE>Y -> inventory decreases (unexpected inventory <0)
➔ Kì tiếp, sx nhiều lên 3.
Formula of APE (APE= C+I+G+NX) 3.1. Consumption (C)
C NGANG: CHI TIÊU TỰ ĐỊNH CUA HÔ GIA ĐINH (CHI TIÊU CUA HGĐ KHÔNG
PHU THUÔC VÀO income, CHI TIÊU THẤP NHẤT CUA HGĐ)
MPC: XU HƯƠNG TIEU DÙNG CB: CHI TIÊU THAY ĐÔI LÊN BN KHI THU NHÂP
KHẢ DUNG THAY ĐÔI 1 ĐV (marginal propensity of consumption)
0Yd= thu nhập khả dụng = Y(thu nhập ) trư đi tất cả khoản thuế phải nộp và cộng vs trợ cấp nếu có
TH1: nền ktế đóng, ko có chính phủ
C= C ngang + MPC.Yd=C ngang + MPC (Y-0+0)= C ngang +MPC.Y Y=C+S
>> S=Y-C=Y – C NGANG-MPC.Y= - C NGANG + (1-MPC).Y
1-MPC=MPS = CHO BIÊT TK CO XU HƯƠNG THAY ĐÔI BN KHI thu nhập khả dung thay đổi 1 đv
TH2: Nền ktế đóng, có chính phủ, chính phủ đánh thuế tư đinh
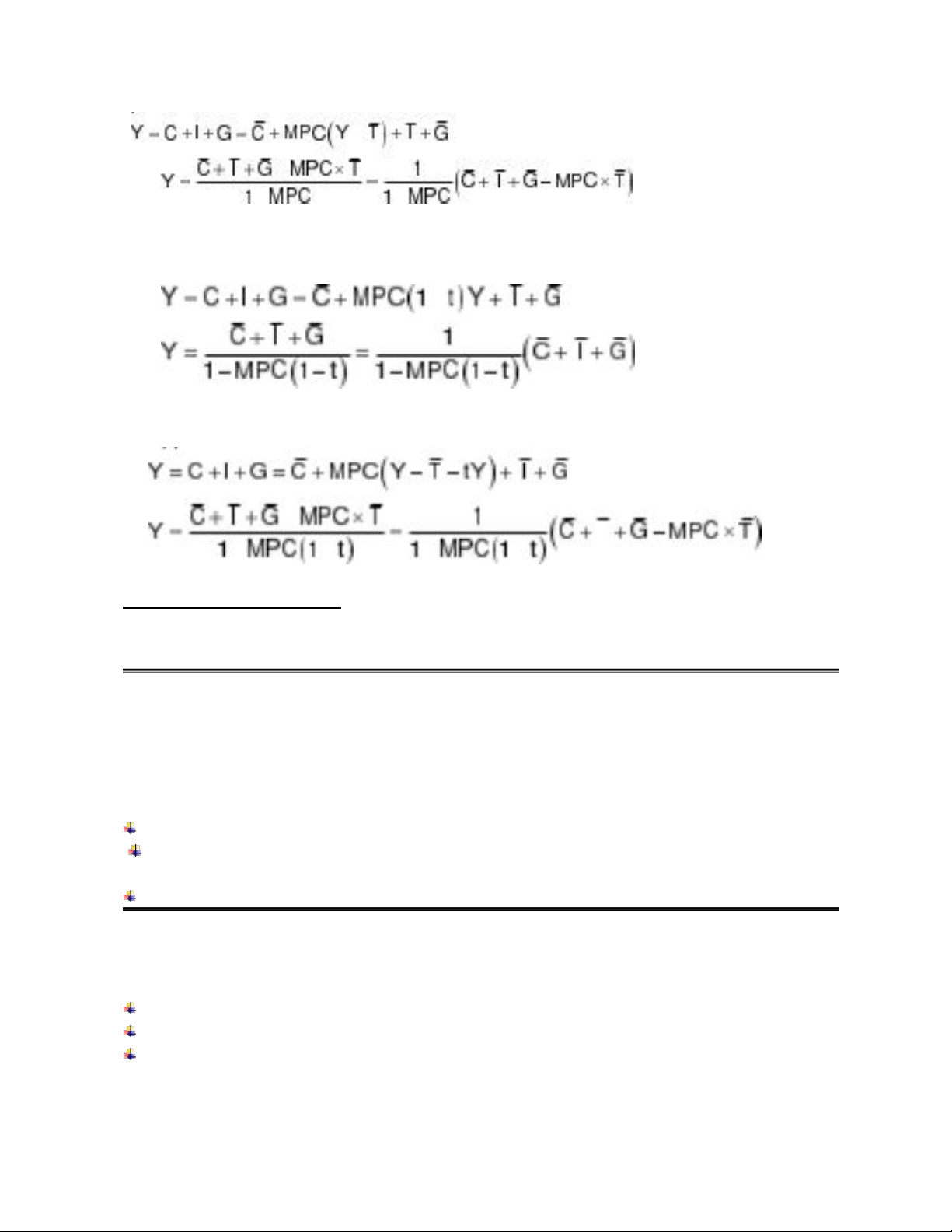
C= C ngang +MPC.Yd= C ngang + MPC (Y-T ngang )
TH3: Nền ktế đóng, có chính phủ,đánh thuế theo thu nhập >>tổng lượng thuế phải nộp = t.Y
C= C NGANG+ MPC.Yd= C ngang + MPC ( Y – tY)
TH4: Nền ktế đóng, có chính phủ,đánh thuế theo thu nhập(t.Y) và thuế tư đinh( T ngang)
C= C NGANG+ MPC.Yd= C ngang + MPC ( Y – tY- T ngang)
TH5: Nền ktế đóng, có chính phủ,đánh thuế theo thu nhập và thuế tự định và cho 1 khoản trợ cấp (TR)
C= C NGANG+ MPC.Yd = C ngang + MPC ( Y – tY- T ngang +TR) o C: Consumption of HOUSEHOLDS o
T ngang: Autonomous consumption (Tiêu dùng tự định) o
T: net tax = total Tax - subsidies o
Yd: dispensable income (income after tax and subsidies (if any) o
Yd= Y – autonomous tax – income tax + subsidies (if any) o
MPC: marginal propensity to consume: the amount of consumption increase when
dispensable income increases by 1 unit. MPC= dentaC/dentaYd o
MPS: Marginal propensity to save: the amount of saving increase when dispensable
income increases by 1 unit. MPS= dentaC/dentaYd
Investment : I = autonomous investment (does not depend on income, interest rate) = I ngang
Government spending: G = autonomous government spending = G ngang
Net export = NX = autonomous Export – autonomous Import – MPM. Y o Autonomous Export = EX/X ngang o Autonomous Import = IM/I ngang o
autonomous Export – autonomous Import = autonomous net export = NX ngang o
MPM: marginal propensity of import: the amount of import increases when INCOME
increases by 1 unit (=dentaIM/dentaY)
>> ĐỂ TIM SLG CB (Y) THI SẼ CHO APE=Y 4.
APE in simple +closed economy (without government and international trade) APE= C+I
The equilibrium of the economy (Y=Yd due to no tax and subsidies)
Saving function in simple economy No gov, no tax, Yd= Y C= CNGANG +MPC .Y
S=Y-C=Y-Cngang-MPC.Y= -Cngang + (1-MPC)Y 1-MPC=MPS 5.
APE in a closed economy (without international trade) APE = C+I+G 5.1. Autonomous tax 5.2. Tax depends on income 5.3. Both
Số nhân chi tiêu chính phủ: cho biết sản lượng CÂN BĂNG (Y) thay đôi bao nhiêu khi chi
tiêu chính phủ thay đôi 1 đơn vị>> mg=DentaY/DentaG
C2: đê tính sluong thay đôi:
Mg= 1/(1-MPC+MPC.t)= dentaY/dentaG
>>dentaY=mg x DentaG= 1/1-mpc+mpc.t x 200= 1/1-0,8+0,8.0,25 x200 =500 >> Ycân băng
mới =Y+ dentaY= 2000+500=2500
Trường hợp đóng, đánh thuế suất >> mg=1/(1-MPC+MPC.t)
Kinh tế đóng, không đánh thuế suất: mg=DentaY/dentaG= (dentaG/1-MPC ): DentaG= 1/(1- MPC)
Trường hợp đánh thuế suất+ KT mở=> mg=1/1-MPC+MPC.t+MPM
Các trạng thái của cán cân ngân sách : 3 trạng thái Cb: ccns=0 Thâm hụt: ccns <0 Thặng du : CCNS>0 6.
APE in an opened economy APE=C+I+G+NX 6.1. Autonomous Tax 6.2. Tax on income 6.3. Both 7. Expenditure Multiplier
Expenditure multiplier: amount of equilibrium yield in the economy INCREASE when expenditure increase by 1 unit
>> expenditure multiplier= 1/1-b >1
C1: Số nhân chi tiêu :
Viết phương trình APE =APE tự định + Hệ số góc.Y
Số nhân chi tiêu = 1/1-hệ số góc
C2: Số nhân chi tiêu =1/1-mpc+mpc.t+mpm
Ko có thuế suất -> t =0 Đóng -> mpm =0 8.
Tax and government spending multiplier
Tax multiplier: the amount of equilibrium yield in economy increases when tax increases by 1 unit (autonomous tax)
Government spending: the amount of equilibrium yield in economy increases when
government spending increases by 1 unit
Số nhân chi tiêu chính phủ: cho biết sản lượng CÂN BĂNG (Y) tăng lên bao nhiêu khi chi
tiêu chính phủ thay đổi 1 đơn vị>> mg=DentaY/DentaG
Trong nền kinh tế ĐONG, KHÔNG ĐÁNH THUÊ SUẤT Ban đầu ta có
Y cb khi Y=APE= Cngang+MPC (Y-T ngang)+Ingang+Gngang
>>Y = Cngang-MPC.T ngang+Ingang+Gngang/(1-MPC)(1)
APE=C+I+G=Cngang+MPC (Y-T ngang)+Ingang+Gngang+dentaGngang Tim Y cb1
Y1=APE= C+I+G=Cngang+MPC (Y1-T ngang)+Ingang+Gngang+dentaGngang
>>Y1-MPC.Y1= (Cngang -MPC. T ngang+Ingang+Gngang)+dentaGngang
>>Y1=(Cngang -MPC. T ngang+Ingang+Gngang)/1-MPC +dentaGngang/1-MPC >>Y1=(1)+dentaG/1-MPC
>>dentaY=Y1-Y=dentaG/1-MPC
>>mg=DentaY/dentaG=1/1-MPC
Trường hợp đánh thuế suất >> mg=1/1-MPC+MPC.t
Trường hợp đánh thuế suất+ KT mở=> mg=1/1-MPC+MPC.t+MPM
Số nhân thuế: cho biết sản lượng CÂN BĂNG (Y) thay đổi bao nhiêu khi THUÊ TỰ ĐINH
thay đổi 1 đơn vị>>mT= DentaY/DentaT
CMTT>> mt trong nền kinh tế giản đơn KHONG DÁNH THUÊ SUẤT: mt=-MPC/1-
MPC Trườnghợpđánhthuếsuất>>mt=-MPC/1-MPC+MPC.t
Trường hợp đánh thuế suất+ KT mở=> mt=-MPC/1-MPC+MPC.t+MPM
Cho cả thuế và chi tiêu chính phủ tăng lương là Denta K thì Sản lượng cb thay đôi tn (hay vao)
Gợi y:Nền kinh tế, là nền kinh tế đóng, khống đánh thuế suất
Khi chi tiêu chính phủ thay đổi 1 lượng là dentaK thì sản lượng can băng thay đổi 1 lượng là : Mg=1/1-MPC
dentaY1= dentaK.mg=dentaK.1/1-MPC
Khi thuế tự định thay đổi 1 lượng là dentaK thì slg cân băng thay đổi 1 lượng là
dentaY2= dentaK. Mt= dentaK . (-MPC)/1-MPC
>> Tông sự thay đôi của slg cb là:
dentaY1+dentaY2= dentaK.1/1-MPC+ dentaK . (-MPC)/1-MPC= dentaK 9. Fiscal policy
Expansionary fiscal policy: làm tăng AD
decreases Tax>> Yd tăng >> C tăng
increases government spending>>G tăng
>>AD tăng>>AD dịch phải>> slg tăng và giá tăng ( cơ chế của CSTK mơ rộng) o
Mechanism: makes Yd (C) of houses holds and G increase>> APE increases, shift to
higher position, equilibrium yield of economy increases>> AD shifts to the right, price and yield increase o
Used: recession, high unemployment rate, deflation (equilibrium Y is low) o
Note: the period of time used (because the consequences are high budget deficit and inflation)
Contractionary fiscal policy:
increases Tax>> Yd giảm>>C giảm
decreases government spending>> G giảm
>>AD giảm ( AD dịch trái >> SLg giảm, giá giảm) o
Mechanism: makes Yd (C) of houses holds and G decrease>> APE decreases, shift to
lower position, equilibrium yield of economy increases>> AD shifts to the left, price and yield decrease o
Used: high inflation, heated growth, property bubbles (equilibrium Y is too high) o
Note: targets, time, (consequences: high unemployment rate, recession)
Limit of fiscal policy: CROWDING EFFECT: governments increase spending, making the
budget deficit, governments has to borrow more and lend less, Supply on loanable funds
decreases, demand increases>> Interest rate increases>> Investment decreases
T-G giam, thưc hiên qua liêu>> thâm hut ngân sach >> chinh phu đi vay nhiêu hơn, savings
cua chinh phu se bi giam đi >> Savings giam, demand cua vôn thi lai tăng >>Lai suât tăng>>
đâu tư giam >> AD không tăng đươc nhiều như dư kiến ban đầu.
10. 3 types of government budget:
CSTK: Gov: 2 công cu chính: T và G (fiscal)
CSTT: Central bank: 3 công cu (monetary) FINAL CHAPTER A. BALANCE OF PAYMENT
Definition: a statement of all transactions made between entities in one country and the rest
of the world over a defined period (BOP)
BOP = Current account + capital/financial account + errors=0
Current account=+5, capital account+=-7>> errors: 2
Current account: Transactions in goods&services (NX), investment income (thu nhập tư
đầu tư), financial instrument income, Interest payment from other countries, current transfer
NẾu dong tiền nào đô vào: cột có : xuất khẩu thu được ngoại tệ về >>cột có, người VN ở
nươc ngoài chuyên tiền về ng nhà: cột có Đô ra: cột nợ
Giả sử em đi đầu tư FDI ra nươc ngoài : số tiền đầu tư FDI ra nươc ngoài : Vào cán cân vốn (capital acc)
Số tiền thu đuOc tư việc đầu tư >> cc vãng lai (current acc)
Capital account: transactions in financial instruments B.
EXCHANGE RATE (tỉ giá hối đoái) •
Nominal: Money for money •
Real: Goods/services for goods/services ➢
Direct: 1 foreign = ? Domestic ➢
Indirect: 1 domestic = ? Foreign