





Preview text:
lOMoAR cPSD| 58833082
Mô hình Okumura-Hata và CCIR 1. Mô hình Okumura
Mô hình Okumura là mô hình truyền radio được xây dựng dựa trên những dữ liệu được đo tại
thành phố Tokyo, Nhật Bản bởi ông Okumura. Mô hình được xây dựng để phục vụ cho các
khu vực đô thị và sau đó được sử dụng làm cơ sở để tính toán cho các khu vực ngoại ô và khu vực mở.
Mô hình Okumura được xem như là một trong những phương thức đơn giản nhất và tốt nhất
trong việc dự đoán độ chính xác của của độ suy hao cho hệ thống di động tế bào.
Khuyết điểm lớn nhất của mô hình này là sự phản hồi chậm đối với sự thay đổi nhanh chóng của địa hình.
Mô hình được áp dụng cho: •
Tần số sóng mang fc : 150 →1920 Mhz •
Độ cao ăng-ten MS: 1 →3 m •
Độ cao ăng-ten BS: 30 →100 m •
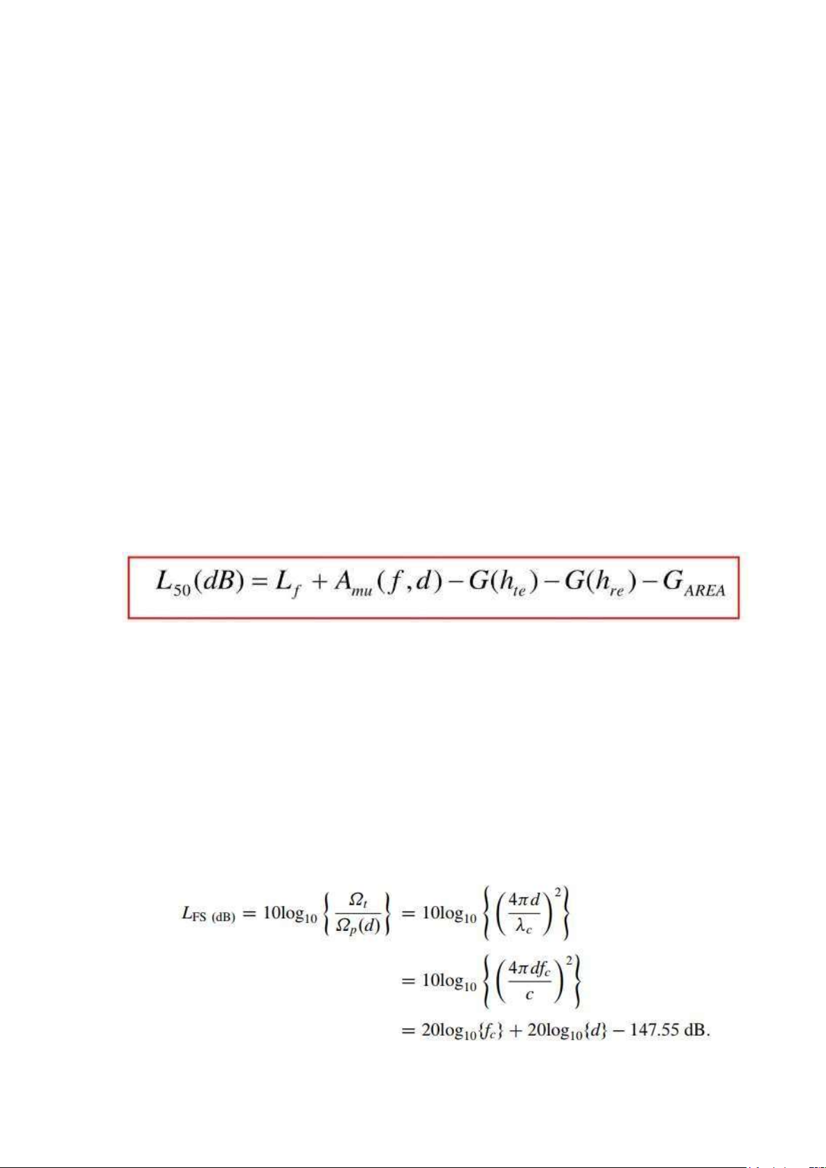
Khoảng cách giữa BS và MS: 1 →10 km Mô hình được biểu diễn theo công thức:
Trong đó: - L50 : 50% độ suy hao
- Lf : Mất mát trong không gian tự do
- Amu(f, d) : Độ suy giảm trung bình trong không gian mở
- 𝐺(ℎ𝑡𝑒): Độ gợn ăng-ten tại BS (Base Station)
- 𝐺(ℎ𝑟𝑒): Độ gợn ăng-ten tại MS (Mobile Station)
- GAREA : Độ gợn tùy theo môi trường
𝑳𝒇 (Free space porpagation) được tính dựa theo công thức: lOMoAR cPSD| 58833082
𝐀𝐦𝐮(𝐟, 𝐝) (Độ suy giảm trung bình trong không gian mở) được xác định qua tập các đường
cong biểu diễn như bảng dưới đây. Các đường cong này được phát triển từ những đo đạc
chuyên sâu của tiến sĩ Okumura, ông sử dụng các ăng ten đẳng hướng tại BS và MS, với độ
cao ăng ten tại BS và MS được lấy theo mức lý tưởng lần lượt là 200m và 3m và đo với địa
hình gần như bằng phẳng.
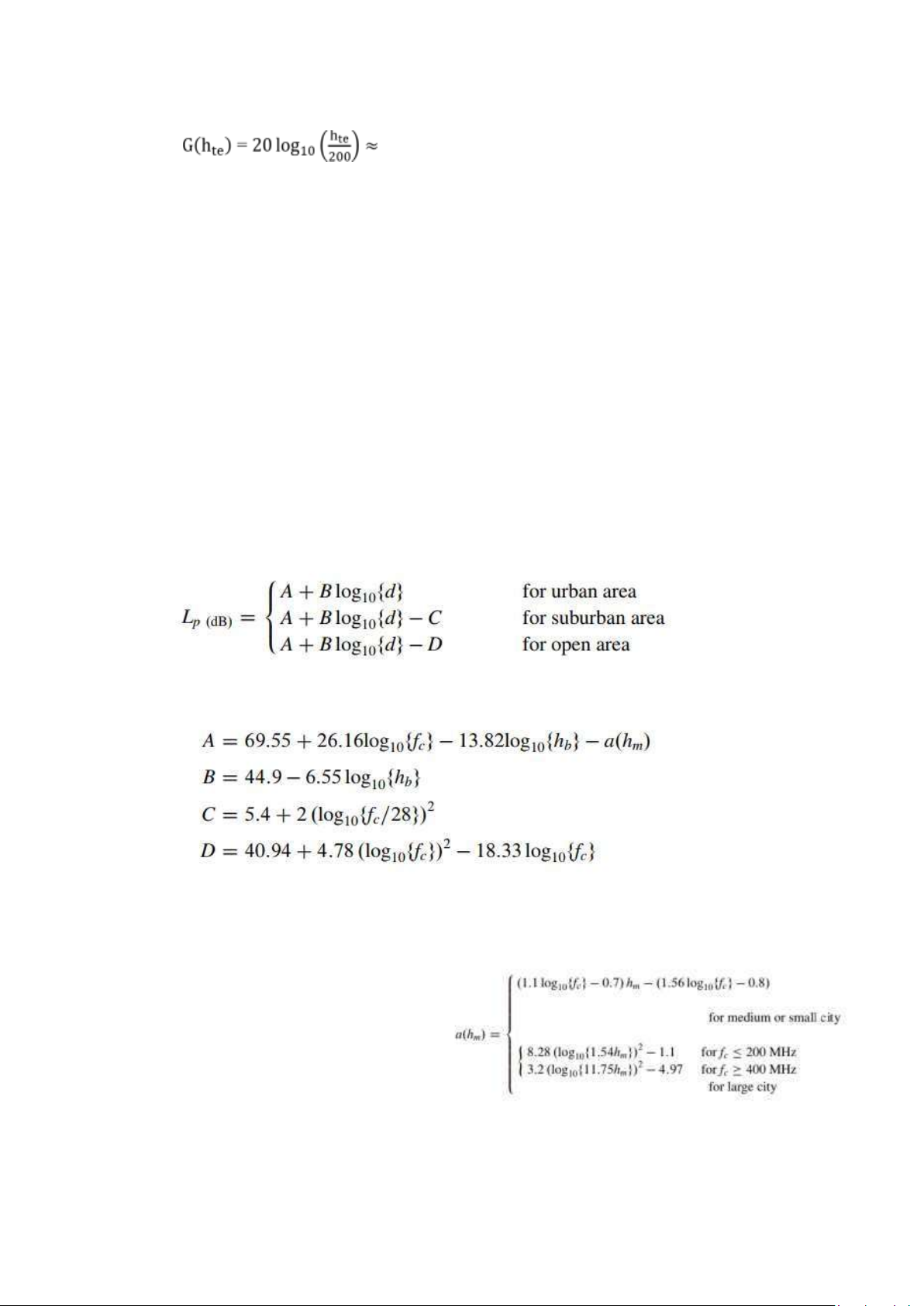
𝑮(𝒉𝒕𝒆) và 𝑮(𝒉𝒓𝒆) được tính dựa theo công thức: lOMoAR cPSD| 58833082
𝑮𝑨𝑹𝑬𝑨 (Độ gợn môi trường) sẽ phụ thuộc vào từng loại định hình nhất định, và có thể được xác định qua bảng sau:
Ví dụ: Tính toán độ suy hao sử dụng mô hình Okumura trong khu vực ngoại ô với các thông số sau
• Độ cao ăng ten tại BS h(te) (hb) là 100m
• Độ cao ăng ten tại MS h(re) (hm) là 10m
• Khoảng cách giữa BS và MS là d = 50km
• Tần số sóng mang fc = 900 Mhz Lời giải Ta có công thức: 5 db
Dựa theo 2 bảng được đề cập đến trong việc xác định Amu(f, d) và GAREA ở trên, với tần
số fc = 900 Mhz và d = 50 km ta xác định được Amu(f, d) ≈ 43 𝑑𝑏 và GAREA ≈ db lOMoAR cPSD| 58833082 10.46 db
Vậy L50(𝑑𝑏) = Lf + Amu(f, d) - G(hte) - G(hre) - GAREA = 155.06 db
2. Mô hình Hata (Mô hình Okumura-Hata)
Mô hình Hata được hình thành trên cơ sở của mô hình Okumura. Mô hình Okumura-Hata thừa
hưởng tất cả những ưu, nhược điểm của mô hình Okumura, tuy vậy nó không bao phủ đủ dải
tần số hoạt động của mô hình Okumura. Mô hình Okumura có thể áp dụng cho sóng mang với
tần số lớn nhất là 1920 Mhz trong khi mô hình Hata chỉ là 1000 Mhz.
Cụ thể, mô hình Hata được áp dụng cho: •
Tần số sóng mang fc : 150 →1000 Mhz •
Độ cao ăng-ten MS: 1 →10 m •
Độ cao ăng-ten BS: 30 →200 m •
Khoảng cách giữa BS và MS: 1 →20 km Mô hình được biểu diễn qua công thức sau:
Trong đó: - Lp : Độ suy hao - 𝐹c : Sóng mang
- hb: Độ cao ăng-ten tại BS
- hm: Độ cao ăng-ten tại MS
- ahm được tính theo công thức: lOMoAR cPSD| 58833082
Sơ đồ dưới đây thể hiện độ suy hao đo được của mô hình Okumura-Hata với các loại địa hình khác nhau: Ví dụ: Lời giải
Ta có: Thánh phố Tokyo là vùng đô thị, fc = 1000Hz
➢ Sử dụng công thức tính path loss cho vùng đô thị
𝐿𝑝(d𝑏) = A + 𝐵 log10(𝑑)
Với hb = 30, hm = 3, 𝑓c = 1000, ta có:
𝑎(ℎ𝑚) = 3.2(log10(11,75ℎ𝑚))2 − 4.97 = 2.68 (db) = 124.926 (db) = 35.22 (db)
Vậy 𝐿𝑝(d𝑏) = A + 𝐵 log10(𝑑) = 160.15 ≈ Giá trị path loss đo được lOMoAR cPSD| 58833082 3. Mô hình CCIR
Các vùng có mật độ dân cư khác nhau thì sẽ có độ suy hao (path loss) của các vùng khác nhau.
Để tính toán với đủ loại mật độ dân cư, CCIR đã phát triển 1 công thức để tính path loss như sau:
Gía trị E phụ thuộc vào mật độ dân cư và được tính theo công thức
Ví dụ: Ta sử dụng dữ liệu trong bài toán ví dụ của mô hình Okumura-Hata, với mức độ bao
phủ bởi các tòa nhà tại khu vực được xét là 40% Lời giải Ta có: Trong mô hình CCIR,
sẽ được tính theo công thức cho thành phố nhỏ và vừa Vậy = – 0.7) - – 0.8) = 3.92 (db) ➢ A = 69.55 + - - = 123.696 (db)
B = 35.22 (db) (theo kết quả đã tính ở trên)
Theo mô hình CCIR, ta thu được độ suy hao (path loss) là: