














Preview text:
lOMoAR cPSD| 61260386
CHƯƠNG 1: NHẬP MÔN KINH TẾ LAO ĐỘNG
1.1. Các khái niệm chính:
Thị trường lao động: trao đổi, mua bán hàng hóa sức lao động giữa NSDLĐ và NLĐ
1.1.1. Sức lao động và lao động:
Sức lao động là khả năng lao động của con người, gồm thể lực, trí lực, tâm lực và được
con người vận dụng trong quá trình lao động.
Sức lao động tồn tại dưới hai dạng tiềm năng - thực tế. Bị tiêu hao trong quá trình sống
→ cần tái sản xuất thông qua chế độ làm việc, nghỉ ngơi.
Lao động là hoạt động có mục đích của con người, tác động vào tự nhiên biến thành
những đồ vật có ích nhằm đáp ứng nhu cầu.
Đặc trưng của lao động: về tính chất: phải có mục đích (ý thức) của con người, về mục
đích: tạo ra sp thỏa mãn nhu cầu chính đáng, về nội dung: tạo ra của cải, vật chất và tinh thần.
1.1.2. Nhân lực và nguồn nhân lực:
Nhân lực: là sức lực con người, nằm trong mỗi con người và làm cho con người hoạt
động, xét đến khả năng lao động của những người trong và trên độ tuổi lao động.
Nguồn nhân lực: sức mạnh tiềm ẩn của dân cư, khả năng huy động tham gia lao động.
1.1.3. Kinh tế lao động:
Đối tượng: tìm hiểu, giải thích sự vận động của thị trường lao động.
Mục tiêu: hiểu, giải thích các vấn đề kinh tế - xã hội; ứng dụng xây dựng chính sách
1.2. Các nhân vật chính trên thị trường lao động:
1.2.1. Người lao động: tìm kiếm công việc “tốt nhất”
Là yếu tố quan trọng nhất
Tối đa hóa lợi ích ⇔ Umax
Tổng cung lđ = tổng tg làm việc của từng cá nhân
DN có thể tiếp cận: 1, Cung lao động trong nền kt, 2, số lượng & chất lượng của các kỹ năng nghề nghiệp
W tăng → Cung lđ tăng: Do NLĐ sẽ cung nhiều tg và nỗ lực hơn nếu được trả lương cao hơn.
1.2.2. Doanh nghiệp: tìm kiếm lợi nhuận Quyết
định đối tượng tuyển dụng và sa thải
Tối đa hóa lợi nhuận ⇔ π max π = TR - TC = pq - TC(q)
1.2.3. Chính phủ: đạt được các mục tiêu công, duy trì lợi ích hài hòa giữa các bên
Đưa ra các quy định để hướng dẫn hđ trao đổi trên TTLĐ
VD: Qđ về TL tối thiểu, QĐ an toàn nghề nghiệp, QĐ tuổi nghỉ hưu bắt buộc, Thuế…
Tăng tuổi nghỉ hưu → tận dụng được nguồn LĐ → tiếp tục đóng BHXH và không sử
dụng đến phúc lợi xã hội.
1.3. Vai trò của một học thuyết về kinh tế lao động:
Kinh tế học THỰC CHỨNG: Thực trạng, thực tế, “điều gì xảy ra”, các công cụ kinh tế,
“nhà khoa học”, “Ảnh hưởng của … là gì?” lOMoAR cPSD| 61260386
Kinh tế học CHUẨN TẮC: giá trị, “nên như thế nào”, phán định, đưa ra hướng dẫn…
“có nên tăng tuổi nghỉ hưu?...”
Hiệu quả Pareto: đạt được khi các bên cùng có lợi và không có cách nào làm cho một bên
tốt hơn và không làm cho bên còn lại kém đi.
1.4. Đối tượng và nội dung của môn học:
1.4.1. Đối tượng nghiên cứu:
1.4.2. Nội dung của môn học:
CHƯƠNG 2: CUNG LAO ĐỘNG
2.1. Đo lường lực lượng lao động:
- NNL = Dân số từ 15 tuổi trở lên có khả năng lao động
- NLĐ = LLLĐ + LĐ chưa có nhu cầu tìm kiếm việc (nội trợ, sinh viên…) - LLLĐ = E + U
- Tỷ lệ tham gia LLLĐ = LLLĐ/NLĐ
- Tỷ lệ DS có việc: E/NLĐ
- Tỷ lệ thất nghiệp: U/LLLĐ
- DS đủ tuổi LĐ trở lên là: 80 - LLLĐ = 52.75
2.2. Cung lao động:
Nhân tố tác động đến cung làm việc: Mô hình về lựa chọn Làm việc - nghỉ ngơi
Cung lao động cá nhân: là tổng thời lượng mà một NLĐ mong muốn và tham gia làm ở
một mức tiền công nhất định.
Hàm lợi ích (Hàm thỏa dụng): U = f(C,L)
Đường thể hiện U là Đường bàng quan, dạng chữ L, biểu hiện sự lựa chọn giữa 2 hàng
hóa khác nhau mang lại mức lợi ích bằng nhau; độ dốc xuống của ĐBQ thể hiện sự đánh đổi,
Đường càng xa gốc tọa độ thì mức lợi ích càng lớn, Cong lồi về phía gốc tọa độ, chi phí cơ hội tăng. lOMoAR cPSD| 61260386 Độ dốc ĐBQ:
→ nhân chéo = 0, độ dốc luôn âm, độ dốc là tỉ lệ
thay thế cận biên của L và C.
Sự khác biệt trong ĐBQ do: Sở thích, Đặc thù nghề nghiệp, Hoàn cảnh gia đình.
Đường giới hạn NS (Đường ngân sách): mô tả giới hạn của các kết hợp C và L mà NLĐ có thể đạt được:
C = w(T(tổng tg lvc) - L) + V (thu nhập ngoài) Kết hợp tối ưu là ĐNS tiếp
xúc ĐBQ ⇔ MUL/MUC=W Hiệu ứng thu nhập & Hiệu ứng thay thế:
Nghỉ ngơi nhiều hơn khi tiền công cao hơn:
Đối với người lương cao, do lương tăng, muốn tiêu dùng nhiều hơn nên giảm giờ làm
việc (U=CxL), ĐBQ DỐC, hiệu ứng thay thế lớn
Đối với người lương thấp, do được tăng lương, giá của một giờ nghỉ ngơi cũng sẽ đắt
hơn, vì khi đó nghỉ thì mất nhiều tiền hơn → làm việc nhiều hơn, ĐBQ THOẢI, hiệu ứng thu nhập lớn hơn
Hiệu ứng thu nhập: thu nhập tăng → làm việc ít đi
Hiệu ứng thay thế: thu nhập tăng → làm việc nhiều hơn
Hệ số co giãn cung LĐ:
|δ| < 1 → ít co dãn → W thay đổi nhiều nhưng giờ làm việc thay đổi ít
|δ| > 1 → co dãn → W thay đổi ít nhưng giờ làm việc thay đổi nhiều
δ > 0: thay thế trội hơn
δ < 0: thu nhập trội hơn
Cung lao động xã hội & Cung lao động cá nhân:
Đường cung lao động cá nhân: đoạn dốc lên do hiệu ứng thay thế mạnh hơn, sau khi
qua điểm cao nhất, thì do hiệu ứng thay thế mạnh hơn. 2.3. Chính sách của nhà nước trong
điều tiết cung lao động
Trợ cấp: làm tăng V → ĐNS dịch phải → tăng W giới hạn → giảm LĐ tham gia TT
Phúc lợi: giảm động cơ làm việc của người lao động → tăng W giới hạn
CHƯƠNG 3: CẦU LAO ĐỘNG
3.1 Cầu lao động:
Khái niệm: là số lượng NLĐ mà DN có khả năng và sẵn sàng thuê… lOMoAR cPSD| 61260386
→ Tổng cầu: toàn bộ nhu cầu về SLĐ của nền KT ở một thời kỳ nhất định trong những đk nhất định.
Cơ sở xác định cầu LĐ: Hàm SX, SP cận biên, Tối đa hóa lợi nhuận
Hàm sản xuất: Q = f (E,K), thể hiện mối quan hệ giữa số giờ lao động và vốn để quyết định số lượng SP.
SP cận biên: MPE = ΔQ/ΔE > 0, MPK = ΔQ/ΔK > 0
SP trung bình theo lđ: APE = Q/E
QL SP CB giảm dần: tại một mức nào đó, SPCB của lđ sẽ giảm.
Tối đa hóa lợi nhuận ⇔ MC = MR
LN = pq - wE - rK = p x f(E,K) - wE – rK
Giả định: TT cạnh tranh hh → p, w, r giữ nguyên
Qđ thuê lđ trong ngắn hạn: Trong ngắn hạn, K không đổi
Tối đa hóa LN ⇔ VMPE = w và VMPE giảm dần w tại C.
Đường cầu lao động NH của DN: trùng với đường VMPE → chỉ bị ảnh hưởng bởi p (dịch
chuyển) và MPE (di chuyển).
Hạn chế HT SPCB: ít liên quan đến việc ra qđ tuyển dụng thực tế, các giả định là không thực tế.
Đường cầu lđ của ngành: có xu hướng dốc hơn đường tổng cầu thị trường do ảnh hưởng của Q và p.
Qđ thuê lđ trong dài hạn:
Tối đa hóa lợi nhuận qua việc tác động vào E và K
* Đường đồng (đẳng) lượng: ~ đường BQ ~ độ dốc âm = ΔK/ΔE
* Đường đồng phí (Isocost): ~ ĐNS: C = wE + rK ⇔ K = C/r - w/r.E, độ dốc - w/r âm, giảm w làm ĐNS xoay ra ngoài
Qđ sd LĐ trong dài hạn: khi 2 đường đồng đẳng và đồng phí tiếp xúc với nhau.
Tối thiểu hóa chi phí: độ dốc đường đồng lượng bằng độ dốc đường đồng phí
⇔ ΔK/ΔE = - w/r hay MPE/w = MPK/r
Đường cầu lao động trong dài hạn: do ảnh hưởng quy mô và ảnh hưởng thay thế tác động lOMoAR cPSD| 61260386
Hiệu ứng quy mô: Khi giảm tiền lương → tổng chi phí sẽ giảm → DN sẽ mở rộng quy
mô (tăng Q) → E và K đều tăng
Hiệu ứng thay thế: Khi giảm tiền lương → CP thuê LĐ rẻ hơn → Mở rộng sx (tăng Q) →
E tăng và K giảm hoặc không đổi (hiện tượng thâm dụng lao động)
Ảnh hưởng quy mô trội hơn → tăng D về vốn
Ảnh hưởng thay thế trội hởn → Giảm D về vốn
Độ co dãn của cầu lao động:
δSR = ΔESR/Δw nhân w/ESR < 0
δLR = ΔELR/Δw nhân w/ELR < 0
→ Đường cầu LĐ trong dài hạn co dãn hơn trong ngắn hạn.
Quy luật Marshall: 4 QL
Cầu LĐ co dãn hơn khi: Độ co dãn thay thế lớn hơn ~ khả năng thay đổi yếu tố đầu vào:
Khi tăng tiền công thì DN dễ dàng thay đổi LĐ bằng yếu tố khác
Độ co giãn của cầu đối với sp đầu ra càng lớn (HH có nhiều sp thay thế) → giá sp ảnh
hưởng mạnh đến tiêu dùng sp → Cầu LĐ sx ra sp đó thay đổi mạnh: δ của sản phẩm càng lớn →
Cầu về lao động càng co giãn
Chi phí LĐ chiếm phần lớn tổng CP sx → Cầu LĐ càng co dãn do thay đổi nhỏ trong tiền
công → thay đổi lớn trong tổng CP δ của K càng lớn ⇔ cầu về LĐ càng co giãn Các nhân tố
ảnh hưởng đến Cầu lao động:
Cầu sp: cầu HH tăng → p HH tăng → VMPE tăng → D lđ dịch phải → D tăng
Chất lượng lđ: càng được nâng cao thì cầu lđ càng tăng
NSLĐ: NSLĐ tăng → MPE tăng → VMPE tăng → D lđ tăng/ nếu D HH ko đổi thì tăng NSLĐ → giảm cầu
Tình hình KT: KTPT → mở rộng sx → tăng D lđ, KT suy thì ngược lại
Csach NN: Thay đổi chi phí sd lđ thông qua (lương, BHXH, Thuế, PLXH) để thay đổi cầu LĐ
Chi phí điều chỉnh LLLĐ: ss lợi nhuận duy trì quy mô LLLĐ với lợi nhuận khi thay đổi để ra qđ
Tiền lương: Mức lương tối thiểu (chung- lương cơ sở, vùng, ngành) →gây ra thất nghiệp
càng lớn → co dãn của cung và cầu về lđ càng lớn Sự thay đổi giá nguồn lực: Vốn - LĐ:
- Hai cái là bổ sung hoàn toàn thì giá vốn giảm thì D lđ giảm
- Hai cái là thay thế hoàn toàn thì giá vốn giảm thì D lđ tăng
CHƯƠNG 4: CÂN BẰNG TRÊN THỊ TRƯỜNG LAO ĐỘNG
Cân bằng TTLĐ làm cho cầu các DN và Cung LĐ gặp nhau, xác định mức tiền công (w) và số việc làm (e)
Ba loại hình thị trường: CTHH, Độc quyền mua, Đq bán
Cân bằng TTLĐ cạnh tranh đơn lẻ:
Tại điểm CB không có thất nghiệp không tự nguyện.
Lương tối thiểu gây ra TN → Tỷ lệ TN càng cao thì độ co giãn cung và cầu càng cao.
Cân bằng TTLĐ canh tranh có liên kết: lOMoAR cPSD| 61260386
Xét hai TTLĐ cạnh tranh liên kết bởi di chuyển lđ:
Giả định: CP di chuyển = 0, cung LĐ không co dãn
Giả sử wbắc > wnam → LĐ muốn di chuyển từ Nam ra Bắc → đường cung mNam dịch trái và
đường cung mB dịch phải → tiền công ở 2 miền ngang bằng ở mức w*, sự di chuyển lđ không
ảnh hưởng đến tổng cung thị trường (cả nước)
Sự phân phối lđ ở các DN sao cho w = VMPE là sự phân phối hiệu quả (Hiệu quả pareto)
Mô hình mạng nhện: dự báo liên quan đến nhu cầu ngành nghề:
Giả thuyết: đào tạo lđ cần có thời gian, NLĐ quyết định trang bị kĩ năng gì dựa trên tìm
hiểu tại thời điểm bắt đầu quá trình đào tạo.
VD: Hiện tại nhu cầu ngành A rất lớn, mng đổ xô đi học nhưng đến lúc đào tạo xong thì
nhu cầu thị trường giảm, mức lương kỳ vọng khi ra trường khác với mức lương thực tế, dẫn đến
sự nhảy việc và thiếu hụt lao động tại ngành đó, và tiền lương lại tăng. Tác động của Thuế tiền
công đánh vào DN:
Có thuế tiền công → giảm lương xuống w1 → giảm e1 → CP sử dụng LĐ tăng → giảm số lđ
Cả DN và NLĐ đều chịu ảnh hưởng của thuế tiền công
TH đặc biệt: Cung LĐ thẳng đứng, cung ko co giãn: Thuế tiền công do NLĐ chịu hết.
Trợ cấp thuê LĐ: DN thuê nhiều hơn → Đường cầu LĐ dịch phải → Mức lương LĐ nhận được
tăng từ w0 → w1, tiền DN phải trả giảm từ w0 xuống còn w1 - 1. lOMoAR cPSD| 61260386 Di cư:
LĐ địa phương và LĐ nhập cư là thay thế hoàn toàn → Cung tăng → w giảm, E giảm
LĐ địa phương và LĐ nhập cư là bổ sung (không cùng kỹ năng, không cạnh tranh cùng 1
công việc) → giải phóng LĐ bản xứ, giúp họ nâng cao tay nghề → tăng NSLĐ → Cầu tăng → w tăng, E tăng CHƯƠNG 5: VỐN NHÂN LỰC
5.1. Lý thuyết chênh lệch tiền công:
Sự khác biệt về tiền công là do công việc không đồng nhất và đặc điểm công nhân là khác nhau.
Vốn nhân lực: tập hợp kiến thức, khả năng, kỹ năng mà con người tích lũy được trong
quá trình đào tạo hoặc làm việc. Giá trị hiện tại (PV):
Mô hình đi học: giả định: tối đa hóa PV trong cả cuộc đời, không có khóa bồi dưỡng cho
tất cả và các kỹ năng học được sẽ không bị lung lay theo thời gian
Nếu chia 2 giai đoạn thì t chạy từ 0 đến 1
Nếu chia thành khoảng tuổi, ví dụ như 15-65 (khoảng 51 số hạng) thì t chạy từ 0 đến 50 lOMoAR cPSD| 61260386
Quyết định dựa trên sự so sánh PV
Đường tập hợp tiền công - số năm đi học: theo quy luật Lợi ích CB giảm dần
Quyết định thời gian đi học:
Do r càng nhỏ thì PV càng lớn → Sẽ quyết định đi học cho đến khi MRR = r
MRR (tỉ lệ hoàn vốn cận biên): % thay đổi trong thu nhập chia cho mỗi năm học tăng thêm tại trường.
Giáo dục và thu nhập: ảnh hưởng bởi r và khả năng tiếp thu, kn tiếp thu tốt thì đc gd nhiều hơn → tăng NSLĐ → tăng w.
Đào tạo trong công việc: 2 loại: Đào tạo chung và Đào tạo chuyên biệt:
Đào tạo chung: phí do NLĐ trả dưới hình thức chấp nhận mức lương thấp hơn trong giai
đoạn đào tạo, DN không trả chi phí cho ĐT chung.
Đào tạo chuyên biệt: Vấn đề: cả DN và NLĐ đều do dự khi đầu tư vào ĐT này. Hai bên
chấp nhận chia sẻ chi phí đào tạo → không NLĐ hoặc DN nào muốn chấm dứt hợp đồng LĐ →
gắn kết DN và NLĐ → khả năng rời bỏ công việc của những người thâm niên cao thấp hơn.
NV mới có tỷ lệ luân chuyển cvc cao hơn.
NV thâm niên có tỷ lệ luân chuyển thấp.
Khi suy thoái KT, ưu tiên sa thải NV mới, do những NLĐ thâm niên đc đào tạo chuyên
sâu tạo ra lượng giá trị nhiều hơn mức lương được trả.
CHƯƠNG 6: DI CƯ LAO ĐỘNG
Khái niệm: Di cư là sự thay đổi nơi cư trú, NLĐ qđ dựa trên so sánh PV tiền lương tại nơi
làm việc hiện tại với các cơ hội thay thế ở địa điểm khác (chi phí ròng của di cư và tối đa hóa
PV trong suốt cuộc đời).
Quyết định di cư khi Lợi ích ròng lớn hơn 0, Lợi ích ròng = PVnơi đến - PVnơi đi - CP
Các yếu tố ảnh hưởng đến di cư lao động:
Cơ hội việc làm: tỉ lệ thuận với khả năng di cư
Khoảng cách di cư: tỉ lệ nghịch với khả năng di cư
Di cư trở lại nơi xuất phát: do thông tin tìm hiểu (mức lương, đk làm việc) không chính
xác → ko tốt so với nơi ở hiện tại → Di cư trở về hoặc di cư đến nơi khác tốt hơn. lOMoAR cPSD| 61260386
Trình độ học vấn/ chuyên môn: tỉ lệ thuận với khả năng di cư (hv cao thì dễ di cư hơn)
Di dân gia đình: dựa vào việc đánh giá lợi ích ròng của cả chồng và vợ mang lại -
Người ràng buộc ở lại: người hy sinh cơ hội làm việc tốt hơn ở một nơi nào đó vì
người còn lại có lợi ích tốt hơn rất nhiều ở nơi đang sống -
Người ràng buộc di chuyển: người quyết định di cư dù việc làm ở nơi hiện tại tốt
hơn rất nhiều so với việc làm vùng chuyển đến.
Quyết định nhập cư: phụ thuộc vào kỹ năng cá nhân và lợi ích thu được từ các kỹ năng đó tại
các quốc gia định di cư đến
Mô hình Roy: mô tả phương thức NLĐ tự phân loại họ trong các cơ hội việc làm.
Những người nhập cư có kỹ năng trên TB → lựa chọn tích cực cho nước nhập cư
Những người nhập cư có kỹ năng dưới TB → lựa chọn tiêu cực cho nước nhập cư
Lợi ích kinh tế từ di cư: nhập cư làm tăng TN quốc dân nhiều hơn chi phí thuê họ.
Thay đổi công việc:
Đào tạo chuyên biệt: Chương 5: Vốn nhân lực
Thu nhập theo tuổi: Người chuyển việc thường tìm được mức w cao hơn người sa thải/
người tự thay đổi công việc thường không bị thất nghiệp và người bị sa thải thì ngược lại/ Khả
năng thay đổi công việc giảm theo thâm niên nghề nghiệp và tuổi của người lao động: tuổi càng
lớn thì càng ít khả năng thay đổi công việc, do cơ hội làm việc ít hơn và chi phí thay đổi công việc càng nhiều hơn.
CHƯƠNG 7: PHÂN BIỆT ĐỐI XỬ TRÊN TTLĐ Khái niệm:
Phân biệt đối xử: hành động tiêu cực thể hiện định kiến đối với đối tượng khác.
Định kiến: là thái độ tiêu cực được hình thành dựa trên cảm quan, thiếu căn cứ, phiến diện…
Căn cứ xác định PBĐX: yếu tố hiện thực (hành vi thực tế), các loại hành động (hành vi
phân biệt, loại trừ hoặc ưu tiên - đối xử phân biệt), kết quả của sự phân biệt đối xử (giảm hoặc
triệt tiêu sự bình đẳng)
Phân biệt đối xử về tiền lương: trả lương thấp hơn cho lao động nữ (da đen) so với lao
động nam (da trắng) khi làm cùng một công việc
PBĐX về cơ hội việc làm: là người chịu gánh nặng TN nhiều hơn ~ là người cuối cùng
được thuê và người đầu tiên bị sa thải
PBĐX về nghề nghiệp hoặc công việc: việc LĐ nữ/ da đen bị cấm tùy tiện ở một số công việc nhất định.
PBĐX về vốn con người: việc NLĐ ít được tiếp xúc với các cơ hội tăng NSLĐ (đào tạo, đi học chính quy…)
Hệ số PBĐX: DN hoạt động trong TT cạnh tranh HH luôn là người chấp nhận tiền công.
Mưc tiền công của CN da trắng → Ww
Mức tiền công của CN da đen → WB
Nếu chủ sd LĐ có thành kiến với CN da đen → cảm thấy chi phí của DN tăng lên khi thuê CN da đen. lOMoAR cPSD| 61260386
→ WB là tiền thuê CN da đen.
→ Chủ lđ cảm thấy tổn thất → Chi phí thuê: WB(1+d) với d là hệ số PBĐX, d>0
→ Chủ lđ cảm thấy thích thuê CN da đen → Chi phí thuê: WB(1-n) với n là hệ số ưu ái (n>0)
Phân loại PBĐX:
PBĐX từ phía NSDLĐ: giả sử CN da trắng và da đen là thay thế hoàn toàn.
- Qđ thuê lđ trong TH không có PBĐX: thuê người có W thấp hơn và thuê W=VMPE
- Qđ thuê lđ trong TH có PBĐX: Chỉ thuê LĐ nếu W(1+d)- Số lượng lđ thuê phụ thuộc vào d: d càng lớn → DN thuê càng ít LĐ
- NSDLĐ PBĐX sẽ thuê sai loại CN (hãng “trắng”, số LĐ thuê ít hơn do trả công
cao) vàthuê sai lượng LĐ so với mức tối ưu (hãng “đen”, số LĐ thuê ít hơn do giảm sự phiền
toái tự định kiến) → dẫn đến giảm lợi nhuận
- Tỷ lệ tiền lương WB/WW: Cầu về LĐ da đen tăng khi WB/WW giảm. WB/WW cân
bằng tại giao điểm cung - cầu.
PBĐX từ phía NLĐ: Người da trắng không thích làm việc với người da đen, cảm thấy
tiền lương của họ thấp hơn W(1-d) → Da trắng đòi tăng lương → DN chỉ thuê 1 loại CN. Nếu
WB<WW → chỉ thuê da đen và ngược lại, WB>WW → chỉ thuê da trắng. KHÔNG phải là NN tạo
ra sự chênh lệch tiền lương giữa 2 loại CN. KHÔNG ảnh hưởng đến LN.
PBĐX từ phía khách hàng: không có thiện cảm với người bán → cảm thấy giá cao hơn
p(1+d) → phân bổ lại vị trí NLĐ.
- Ảnh hưởng đến TL và lợi nhuận: phụ thuộc vào khả năng bố trí cvc “tiếp xúc” và
khôngtiếp xúc: Nếu có thì WB tăng một lượng bằng với WW, lợi nhuận ko ảnh hưởng. Nếu
không thì WB giảm và LN giảm.
PBĐX từ dữ liệu thống kê: phát sinh khi không đủ thông tin để ra qđ chắc chắn → dự
đoán. VD: CV nam nữ như nhau và dự đoán nữ sẽ bỏ việc cao hơn trong tương lai → quyết định tuyển nam.
Tiền lương dựa trên điểm đánh giá năng lực cá nhân và NL trung bình nhóm:
W = α.T + (1 – α).Tave T: cá
nhân, Tave: trung bình nhóm
α = 0 → chỉ tập trung vào nhóm. α = 1 → chỉ tập trung vào cá nhân. lOMoAR cPSD| 61260386
α càng nhỏ thì PBĐX càng lớn.
Tave càng cao thì W càng cao
Những nhân tố quyết định tỉ số
tiền lương pb theo giới tính:
Giả thuyết sự gián đoạn cung LĐ: những năm nuôi con + tham gia ít vào các hđ đào tạo → giảm lương
Giả thuyết tập trung nghề nghiệp: Phụ nữ chỉ làm một số nghề đặc thù do xã hội.
CHƯƠNG 8: CÔNG ĐOÀN
Khái niệm: Trong quan hệ lđ, tổ chức đại diện cho NLĐ là công đoàn, là tổ chức do NLĐ lập ra,
cố gắng tối đa hóa phúc lợi của các thành viên. Các nhân tố ảnh hưởng đến sự gia nhập tổ chức CĐ:
Gia nhập khi: tin tưởng CĐ có khả năng thay đổi có lợi, trao đổi thông tin tốt hơn, chất
lượng quản lý và hướng dẫn cao hơn…
Không gia nhập khi: không muốn đóng phí, CĐ có nhiều áp đặt, hài lòng với DN mà
không cần sự can thiệp từ CĐ
Quyết định làm việc: Khi ĐNS tiếp xúc ĐBQ ⇔ MUL/MUC = W hoặc MRSL,C = W
CN quyết định tin tưởng CĐ khi được tăng lương nhưng không giảm quá nhiều số việc
làm và chi phí gia nhập tương đối thấp.
Ảnh hưởng của CĐ đến số việc làm:
Khả năng huy động lực lượng lđ Môi trường pháp lý
Mức độ hợp tác với chủ DN trong quá trình thương lượng
Khả năng thu lợi nhuận DN
Khả năng phân chia lợi nhuận cho mem.
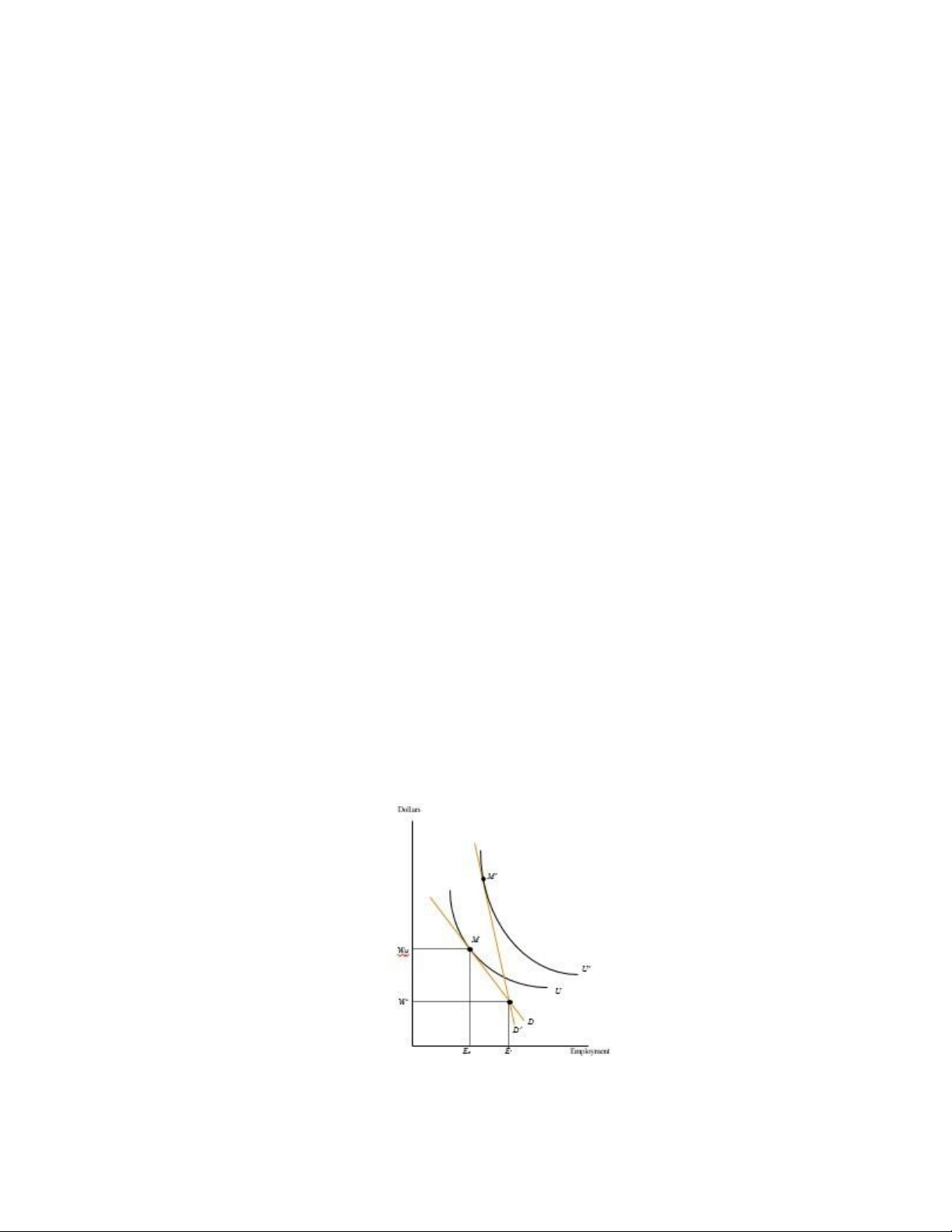
Công đoàn độc quyền: là tổ chức duy nhất đại diện cho NLĐ khi giao dịch với DN trên thị trường LĐ.
Đường bàng quan của công đoàn mang đầy đủ tính chất của 1 đường bàng quan.
Hành vi của CĐ ĐQ: lOMoAR cPSD| 61260386
Chọn 1 điểm trên đường D tiếp xúc với đường BQ của CĐ (xoay ĐNS) → tăng lương lên
WM và giảm việc làm còn EM.
D càng không co dãn thì CĐ có thể yc tăng W mà ko thay đổi quá nhiều E → thu được
nhiều độ thỏa dụng hơn. Vì vậy, CĐ tác động vào δ thay thế và δ đối với sp đầu ra của cty để giảm δ của cầu lđ.
CĐ và sự phân bổ hiệu quả trên TTLĐ:
Không có CĐ, Thu nhập quốc dân là ABCD + A’B’C’D’
Có CĐ, TN quốc dân giảm EBF
→ DN và CĐ có thể thỏa thuận E nằm ngoài D để thỏa thuận này đạt hiệu quả
Pareto. Thỏa thuận hiệu quả: đường thỏa thuận hq nằm bên phải đường cầu lđ -
Đường đồng lợi nhuận của DN: càng cao thì lợi nhuận càng thấp. -
Đường thỏa thuận: tập hợp những điểm thỏa mãn cho ĐBQ tiếp xúc với Đường đồng lợi nhuận -
Đường thỏa thuận đb hiệu quả: đường thẳng đứng, thỏa mãn số CN DN thuê =
mức CB thị trường.
Đình công: khi không có nhượng bộ đàm phán, CP là thời gian và tiền bạc, không phải là GP tối ưu Pareto. lOMoAR cPSD| 61260386
Đình công và thông tin bất đối xứng: hãng nắm được nhiều thông tin hơn CĐ và NLĐ
CĐ do ít thông tin hơn nên khi ĐC kéo dài phải hạ lương dần. Nếu DN chấp nhận yêu
sách nhanh thì chi phí trả lương ngốn hết lợi nhuận, Nếu DN không chịu nhượng bộ thì thiệt hại
rất lớn. Đình công tối ưu khi Đường đồng lợi nhuận tiếp xúc với Đường phản hồi CĐ
Các nhân tố qđ đình công: do yêu sách tiền lương ban đầu cao, không đưa ra đòi hỏi tiền
lương quá đáng trong thời kỳ thất nghiệp, tiền lương TT tăng chậm hoặc lạm phát, có giá trị cổ phiếu biến động.
Ảnh hưởng tiền lương công đoàn: do khó xác định tiền lương của từng cá nhân tg và ko tg
công đoàn nền mức chênh lệch tiền lương được tính D = (W*u – W*N)/W*N
Ảnh hưởng đe dọa: DN tăng lương với hy vọng CN không tg công đoàn → tỷ lệ tg CĐ
tỷ lệ thuận với mức lương không tham gia CĐ.
Ảnh hưởng tràn: LĐ CĐ thất nghiệp tràn sang không CĐ, đẩy lương không CĐ xuống
→ tỷ lệ tg CĐ tỷ lệ nghịch với mức lương không CĐ
CĐ và mức độ phân tán tiền lương: Có CĐ phân tán thấp hơn so với chưa có CĐ, đầu tư
vào giáo dục của các CN chưa tham gia CĐ thì thu lợi nhuận nhiều hơn so với đã tg CĐ. Ảnh
hưởng của CĐ đến các khoản phụ cấp: có CĐ thì phụ cấp DN cao hơn so với ko CĐ Ảnh
hưởng của CĐ đến “mức độ gắn bó”: CĐ tạo ra kênh TTin để bày tỏ nên DN ko trù dập một cá nhân được
Ảnh hưởng đến NSLĐ và LNDN: NSLĐ có CĐ thường cao hơn và các hãng có CĐ lợi nhuận thấp hơn.
CHƯƠNG 9: THẤT NGHIỆP
Khái quát chung: TN: không có việc làm nhưng đang tìm việc khác với thiếu việc làm (bán
TN): có việc làm nhưng tổng số giờ làm quá thấp hoặc thu nhập thấp. Tỉ lệ TN tự nhiên:
U/LF = l/l+h Phân loại TN:
TN tự nguyện: chỉ đi làm khi w cao hơn w trung bình phổ biến
TN không tự nguyên: có mong muốn w trung bình phổ biến nhưng không được tuyển dụng
TN chuyển tiếp: NLĐ và DN cần thời gian để tìm đến nhau
TN mùa vụ: do tính chất của một số công việc có tính thời vụ
TN cơ cấu: khi kỹ năng, kiến thức của NLĐ không đáp ứng yc DN lOMoAR cPSD| 61260386
Tìm kiếm việc làm:
Mức tiền công yc là mức tiền mà NLĐ chấp nhận tham gia làm việc.
Đường PP tiền công:
Mức TL yêu cầu tỉ lệ thuận với độ dài tg thất nghiệp, là mức lương ở điểm giao cắt giữa
MC (cp của 1 lần tìm kiếm) với MR (kỳ vọng tiền lương tăng lên từ 1 lần tìm kiếm)
CP tìm việc tăng làm giảm mức TL yc và rút ngắn tg TN.
Các yếu tố xác định mức TL yc:
- Tỷ lệ chiết khấu: r cao thì coi trọng hiện tại hởn, cho rằng PV tưởng lai thấp
→ Dễ chấp nhận việc làm, tg TN ngắn hởn → giảm MR
- Trợ cấp thất nghiệp: giảm động lực đi tìm việc, kéo dài tg TN, chi phí tìm việc
tăng, dẫnđến mức TL yc sau TN cao hơn → dịch MC sang phải
- Bảo hiểm TN: làm kéo dài tg TN, tăng xác suất NLĐ bị sa thải tạm thời.
- Thuế suất và mức sa thải lao động: Nếu DN sa thải ít thì chịu thuế suất thấp, nếu
sa thải nhiều thì ngược lại.
Tiền công hiệu quả:
Được xác định bởi đường cung lao động tự giác (NS) và đường cầu LĐ: lOMoAR cPSD| 61260386
DN sẽ thuê ít LĐ hơn so với tại điểm CD → tạo ra TN không tự nguyện, Một số TN là
cần thiết để giữ kỉ luật cho những người có việc làm
Mức TL hiệu quả ít nhạy cảm hơn với cầu hơn mức TL cạnh tranh
Tiền công và TN giữa các vùng: Vùng địa lý nào có W cao hơn thì tỷ lệ TN thấp hơn.
Đường cong Phillips: Chỉ xuất hiện trong tgian ngắn, về lâu dài, không có sự đánh đổi giữa lạm
phát và TN. Mô tả mối tương quan của TN - lạm phát. Ngụ ý sự đánh đổi giữa TN và LP
Thất nghiệp và lạm phát: mối quan hệ nghịch
VD: Giảm thu nhập bằng chính sách tiền tệ mở rộng (NHTW bơm tiền vào TT) → lạm phát →
CN đòi tăng lương → DN giảm thuê LĐ → TN quay về như cũ nhưng lạm phát cao hơn.