



















Preview text:
lOMoAR cPSD| 58702377
TRƯỜNG ĐẠI HỌC KINH TẾ QUỐC DÂN
VIỆN ĐÀO TẠO TIÊN TIẾN, CLC & POHE
---------------------------------------------------------- BÀI TẬP LỚN
- NHÓM 3
MÔN KINH TẾ ĐẦU TƯ 1
Đề tài : Phân tích ưu và nhược điểm của lý thuyết gia tốc đầu
tư. Vận dụng lý thuyết này để đánh giá chính sách đầu tư của
Việt Nam trong 3 năm gần đây Giảng viên:
PGS. TS. Phạm Văn Hùng Thành viên:
Nguyễn Hương Giang - 11240476 ( nhóm trưởng )
Phạm Quỳnh Anh - 11244805
Vũ Khánh Linh - 11243101
Thái Thị Yến Nhi - 11240783
Vũ Khánh Thơ - 11243728
Nguyễn Đức Việt - 11243260
Lớp chuyên ngành: Kinh tế Đầu tư CLC 66A
Hà Nội, 202 5 lOMoAR cPSD| 58702377 MỤC LỤC
PHẦN MỞ ĐẦU .............................................................................................................. 3
PHẦN NỘI DUNG .......................................................................................................... 4
CHƯƠNG 1: PHÂN TÍCH LÝ THUYẾT GIA TỐC ĐẦU TƯ .................................. 4
1.1. Cơ sở lý thuyết gia tốc đầu tư ............................................................................................ 4
1.1.1. Nguồn gốc ................................................................................................................... 4
1.1.2. Khái niệm cơ bản ........................................................................................................ 4
1.1.3. Mối quan hệ giữa sản lượng và đầu tư ....................................................................... 4
1.1.4. Sự phụ thuộc giữa tư bản và sản lượng ...................................................................... 5
1.1.5. Công thức về mối quan hệ giữa vốn đầu tư và sản lượng .......................................... 5
1.2. Phân tích ưu nhược điểm của lý thuyết gia tốc đầu tư và các chính sách điều tiết đầu tư
theo lý thuyết gia tốc đầu tư ..................................................................................................... 6
1.2.1. Ưu điểm của lý thuyết Gia tốc đầu tư ......................................................................... 6
1.2.2. Nhược điểm của lý thuyết Gia tốc đầu tư ................................................................... 7
1.3.3. Chính sách điều tiết đầu tư theo lý thuyết gia tốc đầu tư............................................ 8
CHƯƠNG II: ĐÁNH GIÁ TÌNH HÌNH ĐẦU TƯ VIỆT NAM GIAI ĐOẠN 2022 9
- 2024 THEO LÝ THUYẾT GIA TỐC ĐẦU TƯ ......................................................... 9
2.1. Tổng quan tình hình đầu tư của Việt Nam giai đoạn 2022 – 2024 .................................... 9
2.1.1. Năm 2022.................................................................................................................. 10
2.1.2. Năm 2023.................................................................................................................. 12
2.1.3. Năm 2024.................................................................................................................. 13
2.2. Đánh giá hiệu quả của các chính sách điều tiết đầu tư Việt Nam giai đoạn 2022-2024
dựa trên lý thuyết gia tốc đầu tư ............................................................................................. 14
2.2.1. Chính sách tài khóa ................................................................................................... 14
2.2.2. Chính sách thu hút đầu tư ......................................................................................... 18
2.2.3. Chính sách khuyến khích đầu tư vào lĩnh vực ưu tiên.............................................. 20
2.2.4. Chính sách quản lý hoạt động đầu tư ........................................................................ 23
CHƯƠNG 3: KẾT LUẬN ............................................................................................. 26
3.1. Thách thức ....................................................................................................................... 26
3.1.1. Giới hạn nội tại của lý thuyết.................................................................................... 26
3.1.2. Rào cản từ thị trường tài chính và môi trường vĩ mô ............................................... 27
3.1.3. Thách thức trong quản lý và hiệu quả đầu tư tại Việt Nam ...................................... 27
3.2. Bài học đúc rút ................................................................................................................. 27
3.2.1. Nâng cao hiệu quả điều tiết vĩ mô và ổn định kỳ vọng ............................................ 27
3.2.2. Rút ngắn độ trễ và tăng cường chất lượng đầu tư đông ............................................ 28
3.2.3. Cải thiện môi trường kinh doanh và hấp thụ vốn ..................................................... 28
3.2.4. Bài học ở cấp doanh nghiệp và cá nhân.................................................................... 28
3.2.5. Bài học rút ra cho nhóm............................................................................................ 29
PHẦN KẾT LUẬN ........................................................................................................ 29 lOMoAR cPSD| 58702377
TÀI LIỆU THAM KHẢO ............................................................................................... 31 PHẦN MỞ ĐẦU
Giới thiệu đề tài
Đầu tư, việc bỏ vốn để tạo nên lợi ích hoặc lợi nhuận trong tương lai, đã không còn
quá xa lạ với các nhà kinh tế học. Thật vậy, lý thuyết gia tốc đầu tư là một trong những
học thuyết nền tảng trong kinh tế vĩ mô, được nhắc đến từ thế kỉ XX để chỉ ra mối quan
hệ giữa mức vốn đầu tư và sản lượng đầu ra. Việc nắm bắt được ưu và nhược điểm của
học thuyết này không chỉ giúp ta đoán được tình hình đầu tư của doanh nghiệp mà còn có
thể điều chỉnh chính sách đầu tư để tránh dao động quá mạnh của nền kinh tế.
Thực tế ở Việt Nam, xuất khẩu và sản lượng công nghiệp tăng đã kéo theo dòng
vốn FDI lớn, trong khi Nhà nước đẩy mạnh đầu tư công để duy trì đà tăng trưởng. Như
vậy, thực trạng đầu tư ở Việt Nam thể hiện rõ cơ chế của lý thuyết gia tốc đầu tư.
Phạm vi nghiên cứu
Giai đoạn 2022 – 2024 chứng kiến sự phục hồi và tăng trưởng tích cực của nền
kinh tế Việt Nam sau đại dịch Covid-19. Năm 2022, GDP tăng trưởng ấn tượng nhờ sản
xuất công nghiệp mạnh, xuất nhập khẩu sôi động và sự hồi phục của ngành dịch vụ – du
lịch. Hoạt động đầu tư toàn xã hội tăng trưởng đồng bộ với đóng góp đáng kể từ vốn Nhà
nước, khu vực tư nhân và FDI, hỗ trợ mở rộng sản xuất và nâng cao năng lực cạnh tranh.
Năm 2023, mặc dù gặp khó khăn từ lạm phát và suy giảm tăng trưởng ở các thị trường
lớn, Việt Nam vẫn duy trì ổn định kinh tế vĩ mô, thu hút vốn FDI mạnh, trong khi khu vực
tư nhân tiếp tục mở rộng sản xuất. Những tháng đầu năm 2024 cho thấy nền kinh tế tiếp
tục có dấu hiệu tích cực, với sản xuất công nghiệp, tiêu dùng nội địa và xuất khẩu tăng
trưởng, đồng thời chính sách đầu tư công và thu hút FDI chất lượng cao được đẩy mạnh.
Nhìn chung, giai đoạn này phản ánh khả năng phục hồi nhanh và tăng trưởng bền
vững của Việt Nam nhờ sự phối hợp hiệu quả giữa chính sách công, khu vực tư nhân và
dòng vốn FDI. Tuy nhiên, vẫn tồn tại những thách thức đòi hỏi điều chỉnh chính sách để
hướng tới phát triển cân bằng và bền vững.
Bố cục tiểu luận
Chúng em xin trình bày khái quát những nội dung nghiên cứu đề đã tìm hiểu được
trong các nội dung chính sau: •
Phân tích lý thuyết gia tốc đầu tư •
Ưu điểm, nhược điểm của lý thuyết gia tốc đầu tư •
Tình hình đầu tư tại Việt Nam giai đoạn 2022-2024 lOMoAR cPSD| 58702377 •
Đánh giá hiệu quả các chính sách điều tiết đầu tư tại Việt Nam dựa trên lý thuyết gia tốc đầu tư
Trong thời gian thực hiện đề tài, do còn nhiều hạn chế về khả năng, kinh nghiệm
và thông tin thu thập nên bài viết của nhóm chúng em sẽ không tránh khỏi những sai sót.
Chúng em kính mong nhận được sự góp ý của thầy và các bạn để bài làm của nhóm được
đầy đủ và hoàn thiện hơn.
Chúng em xin chân thành cảm ơn! PHẦN NỘI DUNG
CHƯƠNG 1: PHÂN TÍCH LÝ THUYẾT GIA TỐC ĐẦU TƯ
1.1. Cơ sở lý thuyết gia tốc đầu tư
1.1.1. Nguồn gốc
Lý thuyết gia tốc đầu tư được hình thành từ những năm đầu thế kỷ XX. Người
được coi là đặt nền móng đầu tiên cho học thuyết này là Albert Aftalion (1909) – nhà kinh
tế học người Pháp. Ông đã chỉ ra mối liên hệ giữa sự biến động sản lượng và nhu cầu đầu
tư trong nền kinh tế. Sau đó, vào năm 1913, John Maurice Clark đã phát triển học thuyết
này một cách toàn diện hơn, đưa “Gia tốc đầu tư” trở thành một lý thuyết chính thức trong
kinh tế học. Từ những năm 1950, học thuyết được ứng dụng rộng rãi trong các mô hình
kinh tế vĩ mô, trở thành công cụ hữu ích trong việc phân tích và dự báo đầu tư.
1.1.2. Khái niệm cơ bản
Lý thuyết gia tốc đầu tư là một học thuyết quan trọng nhằm lý giải mối quan hệ
giữa đầu tư và sản lượng (hoặc thu nhập quốc dân). Theo học thuyết này, đầu tư không
chỉ phụ thuộc vào mức sản lượng tuyệt đối mà phụ thuộc chủ yếu vào tốc độ thay đổi của
sản lượng theo thời gian.
Cụ thể, khi tổng cầu trong nền kinh tế tăng, các doanh nghiệp phải mở rộng sản
xuất để đáp ứng. Việc mở rộng sản xuất đòi hỏi tăng thêm vốn đầu tư vào máy móc, thiết
bị, nhà xưởng. Ngược lại, khi cầu giảm, doanh nghiệp cắt giảm sản lượng, kéo theo sự sụt giảm trong đầu tư.
Về ví dụ, nếu cầu về xe máy tại Việt Nam tăng mạnh, các công ty sản xuất như
Honda hay Yamaha sẽ phải mở rộng nhà máy hoặc mua thêm dây chuyền sản xuất. Ngược
lại, khi cầu giảm, các doanh nghiệp này sẽ ngừng mở rộng và thậm chí thu hẹp đầu tư.
1.1.3. Mối quan hệ giữa sản lượng và đầu tư
Học thuyết gia tốc đầu tư cho rằng sự biến động trong sản lượng là nguyên nhân
trực tiếp tạo ra biến động trong đầu tư. Mối quan hệ này có thể mô tả như sau: •
Khi sản lượng tăng, đầu tư ròng (net investment) tăng theo. •
Khi sản lượng giảm, đầu tư ròng âm, thể hiện sự cắt giảm năng lực sản xuất. lOMoAR cPSD| 58702377 •
Khi sản lượng không đổi trong hai kỳ liên tiếp, đầu tư ròng bằng 0. Tuy nhiên, các
doanh nghiệp vẫn phải tiến hành đầu tư thay thế (replacement investment) nhằm
bù đắp sự hao mòn và khấu hao của máy móc, thiết bị. Vì vậy, tổng đầu tư trong
trường hợp này vẫn dương.
Điều này phản ánh thực tế rằng đầu tư không chỉ để mở rộng mà còn để duy trì năng lực sản xuất hiện có.
1.1.4. Sự phụ thuộc giữa tư bản và sản lượng
Trong sản xuất, muốn tạo ra một mức sản lượng nhất định, doanh nghiệp cần một
lượng vốn (tư bản) nhất định dưới dạng máy móc, thiết bị, nhà xưởng. Sản lượng càng
cao thì vốn đầu tư cần thiết càng lớn; sản lượng thấp thì vốn đầu tư cũng nhỏ. Do đó, quy
mô sản xuất quyết định quy mô vốn.
Theo lý thuyết gia tốc đầu tư, chính sự thay đổi trong sản lượng sẽ quyết định sự thay đổi
của vốn và đầu tư. Điều này có nghĩa là: •
Nếu sản lượng tăng → nhu cầu vốn tăng → đầu tư tăng. •
Nếu sản lượng giảm → nhu cầu vốn giảm → đầu tư giảm.
Mối quan hệ này giải thích tại sao các giai đoạn tăng trưởng kinh tế thường đi kèm với
bùng nổ đầu tư, trong khi suy thoái lại kéo theo tình trạng sụt giảm đầu tư trên diện rộng.
1.1.5. Công thức về mối quan hệ giữa vốn đầu tư và sản lượng
Mối quan hệ giữa sản lượng và vốn đầu tư có thể được mô tả thông qua công thức: x = Kt / Yt Trong đó: •
Kt: Lượng vốn cần thiết tại kỳ t. •
Yt: Sản lượng (GDP hoặc sản lượng thực tế) tại kỳ t. •
x: Hệ số gia tốc, phản ánh lượng vốn cần bổ sung để tạo ra một đơn vị sản lượng mới.
Ý nghĩa của công thức này cho thấy hệ số gia tốc chính là tỷ lệ giữa lượng vốn cần thiết
và mức sản lượng đạt được. Nếu hệ số x lớn, nền kinh tế cần nhiều vốn hơn để tạo ra một
đơn vị sản lượng; ngược lại, nếu hệ số nhỏ, nền kinh tế có hiệu quả sử dụng vốn cao hơn.
Ví dụ, khi x=3, điều đó có nghĩa là để tạo thêm 1 đơn vị sản lượng, nền kinh tế cần bổ
sung 3 đơn vị vốn. Qua đó, công thức phản ánh mối quan hệ chặt chẽ giữa quy mô vốn
đầu tư và khả năng mở rộng sản lượng, đóng vai trò quan trọng trong việc phân tích cơ
chế tác động của đầu tư đến tăng trưởng kinh tế.
Nếu tạm thời bỏ qua hao mòn tư bản trong quá trình sử dụng, chúng ta có thể có
kết luận rằng đầu tư ròng đúng bằng chênh lệch giữa lượng tư bản mong muốn và lượng
tư bản hiện có vào cuối thời kỳ trước: In,t = Kt – Kt-1 (1) lOMoAR cPSD| 58702377
Lượng tư bản có được vào cuối thời kỳ trước sẽ là lượng tư bản mong muốn phụ thuộc
vào sản lượng đầu ra của kỳ trước: Kt-1 = x.Yt-1 (2)
Từ (1) và (2), ta có phương trình mới như sau:
In,t = Kt – Kt-1 = xYt – xYt-1 = x.( Yt – Yt-1) = x. ∆Y
Điều này cho thấy mức đầu tư phụ thuộc trực tiếp vào tốc độ tăng trưởng sản lượng. Khi
sản lượng kỳ vọng tăng, nhu cầu vốn đầu tư cũng tăng tương ứng. Nói cách khác, doanh
nghiệp sẽ mở rộng đầu tư khi dự đoán nhu cầu tiêu dùng tăng, và đây chính là cơ chế
cốt lõi của lý thuyết gia tốc đầu tư.
1.2. Phân tích ưu nhược điểm của lý thuyết gia tốc đầu tư và các chính sách điều
tiết đầu tư theo lý thuyết gia tốc đầu tư
1.2.1. Ưu điểm của lý thuyết Gia tốc đầu tư
1.2.1.1. Phản ánh mối quan hệ giữa sản lượng và đầu tư.
Khi sản lượng của nền kinh tế tăng lên, nhu cầu về vốn cũng gia tăng để đáp ứng
sự mở rộng sản xuất. Điều này giúp các nhà hoạch định chính sách và doanh nghiệp có
thể dựa vào biến động sản lượng để lập kế hoạch đầu tư một cách tương đối chính xác và khoa học.
Ví dụ: Trong năm 2024, doanh thu của FPT đạt khoảng 62.849 tỷ đồng, tăng 19,4%
so với năm trước, trong khi lợi nhuận trước thuế cũng tăng 20,3%. Nhờ sự tăng trưởng
sản lượng dịch vụ công nghệ và nhu cầu chuyển đổi số, FPT đã mở rộng đầu tư vào mảng
AI và thị trường quốc tế, minh chứng cho mối quan hệ trực tiếp giữa sản lượng và vốn đầu tư.
1.2.1.2. Ổn định và phản ứng tự động
Lý thuyết cho thấy đầu tư có phản ứng tự động theo sự biến đổi của các yếu tố kích
thích như tăng trưởng GDP. Khi nền kinh tế tăng trưởng cao, cơ hội kinh doanh mở rộng,
tiết kiệm gia tăng và đầu tư được kích hoạt. Sự vận động tự động này giúp nền kinh tế
duy trì tính ổn định trong quá trình phát triển.
Ví dụ: Khi chính phủ ban hành nghị định khuyến khích người dân sử dụng xe điện,
nhu cầu thị trường tăng mạnh đã khiến các doanh nghiệp nhanh chóng mở rộng sản xuất
xe điện, phản ánh sự “tự động điều chỉnh” đầu tư theo nhu cầu tiêu dùng.
1.2.1.3. Giải thích cơ chế gia tăng đầu tư
Lý thuyết gia tốc đầu tư còn giải thích được cơ chế gia tăng đầu tư và tác động
nhân quả đến tăng trưởng kinh tế. Một sự gia tăng ban đầu trong sản xuất hoặc doanh thu
sẽ tạo ra nhu cầu đầu tư mới, từ đó thúc đẩy mở rộng quy mô sản xuất và kích thích tăng
trưởng tiếp theo. Quá trình này hình thành một chu trình tích cực, trong đó đầu tư không
chỉ là kết quả mà còn trở thành động lực cho tăng trưởng kinh tế.
Ví dụ: Khi các dự án hạ tầng lớn hoàn thành, giá trị đất và nhu cầu bất động sản
trong khu vực đó tăng cao, các doanh nghiệp bất động sản đầu tư thêm nhà ở, khu thương lOMoAR cPSD| 58702377
mại, dịch vụ; đồng thời người dân có thu nhập cao hơn → tiêu dùng tăng → các doanh
nghiệp bán lẻ và sản xuất hàng tiêu dùng tiếp tục mở rộng đầu tư.
1.2.1.4. Mối quan hệ giữa đầu tư và việc làm
Lý thuyết nhấn mạnh đến mối quan hệ giữa đầu tư và việc làm. Khi các doanh
nghiệp mở rộng đầu tư, họ cần tuyển thêm lao động, từ đó tạo cơ hội việc làm mới và góp
phần giảm tỷ lệ thất nghiệp.
Ví dụ: Trong giai đoạn 2022–2023, các dự án đầu tư vào năng lượng tái tạo tại Việt
Nam không chỉ nâng cao sản lượng điện quốc gia mà còn tạo hàng nghìn việc làm trong
lĩnh vực xây dựng, vận hành và bảo trì, qua đó giảm áp lực thất nghiệp ở nhiều địa phương.
1.2.1.5. Đánh giá tác động của chính sách kinh tế vĩ mô
Lý thuyết gia tốc đầu tư có thể được vận dụng để đánh giá tác động của chính sách
kinh tế vĩ mô. Khi chính phủ thực hiện chính sách thúc đẩy tiêu dùng hoặc đầu tư công,
đầu tư tư nhân sẽ có xu hướng gia tăng theo.
Ví dụ: Quyết định đầu tư vào hạ tầng giao thông như xây dựng đường cao tốc
Bắc – Nam không chỉ tạo ra công trình hạ tầng thiết yếu mà còn kích thích hoạt động
sản xuất, thương mại và dịch vụ dọc tuyến, qua đó nâng cao tăng trưởng kinh tế và chất
lượng cuộc sống của người dân.
1.2.2. Nhược điểm của lý thuyết Gia tốc đầu tư
Dù mang lại nhiều giá trị trong việc giải thích mối quan hệ giữa sự thay đổi sản
lượng và đầu tư, lý thuyết gia tốc đầu tư vẫn tồn tại một số nhược điểm. 1.2.2.1. Giả định
quan hệ cứng nhắc giữa sản lượng và đầu tư Theo công thức cơ bản: ΔI=x ΔY
Lý thuyết cho rằng đầu tư ròng luôn tỉ lệ thuận với thay đổi sản lượng. Tuy nhiên,
trên thực tế, ngay cả khi sản lượng không tăng, doanh nghiệp vẫn phải đầu tư thay thế để
bù khấu hao, nghĩa là tổng đầu tư vẫn dương. Điều này cho thấy lý thuyết chỉ phản ánh
đầu tư thuần, chưa bao quát được thực tiễn của tổng đầu tư.
1.2.2.2. Bỏ qua các yếu tố ngoại cảnh
Lý thuyết giả định quan hệ tỷ lệ giữa sản lượng và đầu tư là cố định. Thực tế, đại
lượng này luôn biến động do sự tác động của nhiều yếu tố khác như lãi suất, chi phí
vốn, thuế, sự khấu hao tư bản hay chính sách tài khóa. Điều này khiến lý thuyết thiếu sự
toàn diện trong việc giải thích các động lực thực sự thúc đẩy đầu tư.
Ví dụ: Năm 2024, VinFast ghi nhận doanh thu đạt 44 nghìn tỷ đồng (tăng 58% so
với năm trước) nhưng vẫn lỗ ròng gần 3,2 tỷ USD. Đồng thời, chi phí tài chính của
Vingroup tiếp tục tăng cao, riêng nửa đầu năm 2025 đã lên tới 19,1 nghìn tỷ đồng, tăng
20,4% so với cùng kỳ năm 2024 (VnExpress, 25/4/2025). Điều này cho thấy doanh nghiệp
dù có tăng trưởng doanh thu (tương tự sản lượng tăng) nhưng gánh nặng chi phí lãi vay lOMoAR cPSD| 58702377
và cấu trúc nợ đã triệt tiêu khả năng tái đầu tư, phản ánh rõ nhược điểm của giả định cứng nhắc trong mô hình.
1.2.2.3. Không phản ánh độ trễ trong điều chỉnh đầu tư
Trong thực tế, doanh nghiệp và Chính phủ không thể ngay lập tức thay đổi quy mô
vốn khi sản lượng biến động, bởi việc lập kế hoạch, phê duyệt và triển khai đầu tư thường
mất nhiều thời gian. Tuy nhiên, lý thuyết gia tốc cơ bản lại bỏ qua đặc điểm độ trễ (Lag
Effect) này. Điều này đặc biệt rõ ràng trong thực tiễn tại Việt Nam thông qua tình trạng
giải ngân vốn đầu tư công chậm. Mặc dù nền kinh tế có sự phục hồi mạnh mẽ và Chính
phủ đặt mục tiêu giải ngân cao để kích thích tăng trưởng (tạo ΔY), nhưng hiệu quả đầu tư
thực tế lại bị kìm hãm bởi các rào cản hành chính và thủ tục.
Ví dụ: Dù có mục tiêu và quyết tâm cao, tỷ lệ giải ngân vốn đầu tư công năm 2022
của Việt Nam chỉ đạt khoảng 93,5% kế hoạch (theo số liệu từ Bộ Tài chính). Tình trạng
này cho thấy Đầu tư ròng thực tế (In,t) đã không thể phản ứng ngay lập tức và trọn vẹn
theo tín hiệu tích cực của ΔYt−1 (sản lượng năm trước), làm suy giảm hiệu quả kích cầu
và tính chính xác của mô hình gia tốc.
1.2.2.4. Dự báo sự biến động đầu tư quá lớn so với thực tế
Theo lý thuyết, một thay đổi nhỏ trong sản lượng có thể dẫn tới biến động rất mạnh
trong đầu tư. Song, trên thực tế, doanh nghiệp thường có kế hoạch đầu tư dài hạn và xu
hướng ổn định, khiến mức dao động đầu tư không kịch tính như mô hình dự báo.
Ví dụ: Dự án đường Hồ Chí Minh đoạn tránh phía Đông TP Buôn Ma Thuột có chi
phí giải phóng mặt bằng ban đầu khoảng 395 tỷ đồng, sau đó tăng lên hơn 726 tỷ đồng,
vượt thêm 332 tỷ đồng (Báo Công an Nhân dân, 2023). Điều này cho thấy đầu tư thực tế
thường biến động mạnh vì yếu tố chi phí ngoài dự báo, không chỉ do thay đổi sản lượng.
1.2.2.5. Thiếu tính linh hoạt trong bối cảnh suy thoái hoặc hành vi chiến lược
Khi nền kinh tế rơi vào suy thoái, lý thuyết dự đoán đầu tư giảm mạnh. Tuy nhiên,
thực tế cho thấy một số doanh nghiệp vẫn đầu tư để cạnh tranh, đổi mới công nghệ hoặc
mở rộng thị trường, bất chấp sự sụt giảm sản lượng.
Ví dụ: Trong giai đoạn 2020–2021 khi kinh tế Việt Nam chịu ảnh hưởng nặng nề
từ dịch COVID-19, nhiều doanh nghiệp lớn như Thế Giới Di Động, Masan vẫn mở rộng
chuỗi bán lẻ, đầu tư công nghệ và logistics để chiếm lĩnh thị trường (VietnamFinance,
2021). Đây là minh chứng rằng ngay cả khi tổng cầu và sản lượng giảm, đầu tư vẫn có
thể gia tăng vì động lực chiến lược, điều mà lý thuyết gia tốc không dự báo được.
1.3.3. Chính sách điều tiết đầu tư theo lý thuyết gia tốc đầu tư
1.3.3.1. Khái niệm chung
Chính sách điều tiết đầu tư là một bộ phận quan trọng trong chính sách kinh tế vĩ
mô, bao gồm tập hợp các công cụ và biện pháp mà Chính phủ sử dụng nhằm quản lý, định
hướng và can thiệp vào hoạt động đầu tư. Thông qua việc điều tiết đầu tư, Nhà nước
hướng tới các mục tiêu phát triển kinh tế - xã hội như thúc đẩy tăng trưởng, ổn định giá
cả, sử dụng hiệu quả nguồn lực và tạo việc làm. lOMoAR cPSD| 58702377
1.3.3.2. Mối quan hệ giữa chính sách điều tiết đầu tư và lý thuyết gia tốc đầu tư
Mối quan hệ giữa chính sách điều tiết đầu tư và lý thuyết gia tốc đầu tư có thể được
nhìn nhận như mối quan hệ giữa nguyên nhân và kết quả, giữa công cụ và cơ chế tác động.
Khi Chính phủ ban hành các chính sách kinh tế vĩ mô như giảm thuế hoặc tăng chi tiêu
công, nền kinh tế sẽ được kích thích, từ đó sản lượng (Y) và tổng cầu tăng lên. Lý thuyết
gia tốc đầu tư lý giải rằng sự gia tăng sản lượng (ΔY) này sẽ kích hoạt cơ chế gia tốc,
khiến các doanh nghiệp đẩy mạnh đầu tư ròng (I) để mở rộng sản xuất, đáp ứng nhu cầu
gia tăng từ thị trường. Quá trình này tạo ra một vòng lặp tương hỗ, khi đầu tư tăng lại tiếp
tục thúc đẩy sản lượng và tổng cầu, hình thành chu trình tăng trưởng tích cực. Ngược lại,
trong bối cảnh suy thoái, chu trình này cũng có thể diễn biến theo chiều tiêu cực.
1.3.3.3. Các chính sách điều tiết đầu tư theo lý thuyết gia tốc đầu tư
Các chính sách điều tiết đầu tư của Nhà nước bao gồm nhiều nhóm, trong đó nổi
bật có: chính sách tài khóa, chính sách thu hút đầu tư, chính sách khuyến khích đầu tư vào
lĩnh vực ưu tiên, và chính sách quản lý hoạt động đầu tư.
Chính sách tài khóa là công cụ quan trọng và trực tiếp nhất của Chính phủ thông
qua thuế và chi tiêu ngân sách nhằm ổn định kinh tế, thúc đẩy tăng trưởng và tạo việc
làm. Khi chi tiêu công tăng hoặc thuế giảm, tổng cầu và sản lượng tăng, kéo theo doanh
nghiệp mở rộng đầu tư theo nguyên lý gia tốc.
Chính sách thu hút đầu tư hướng tới tạo môi trường thuận lợi, khuyến khích
dòng vốn trong và ngoài nước. Khi môi trường đầu tư hấp dẫn hơn, vốn đầu tư tăng, sản
lượng được thúc đẩy và tạo hiệu ứng gia tốc cho đầu tư mới.
Chính sách khuyến khích đầu tư vào lĩnh vực ưu tiên nhằm điều chỉnh dòng
vốn vào các ngành chiến lược như công nghệ cao, năng lượng sạch hay nông nghiệp công
nghệ cao. Khi sản lượng ở các lĩnh vực này tăng, nhu cầu mở rộng đầu tư cũng tăng theo cơ chế gia tốc.
Chính sách quản lý hoạt động đầu tư giúp định hướng và kiểm soát hiệu quả
hoạt động đầu tư, tránh thất thoát và rủi ro. Nhờ vậy, quá trình gia tăng đầu tư theo cơ chế
gia tốc diễn ra bền vững và phù hợp mục tiêu phát triển dài hạn.
Có thể thấy, bốn nhóm chính sách trên có mối quan hệ bổ trợ chặt chẽ với nhau.
Việc thu hút vốn đầu tư ban đầu được hỗ trợ bằng chính sách tài khóa nhằm định hướng
dòng vốn, tiếp tục được củng cố bởi chính sách khuyến khích vào các lĩnh vực ưu tiên, và
cuối cùng được đảm bảo hiệu quả thông qua hệ thống quản lý chặt chẽ. Khi vận hành
đồng bộ, các chính sách này vừa phát huy cơ chế của lý thuyết gia tốc đầu tư, vừa góp
phần tạo ra chu trình tăng trưởng kinh tế bền vững cho Việt Nam.
CHƯƠNG II: ĐÁNH GIÁ TÌNH HÌNH ĐẦU TƯ VIỆT NAM GIAI ĐOẠN
2022 - 2024 THEO LÝ THUYẾT GIA TỐC ĐẦU TƯ
2.1. Tổng quan tình hình đầu tư của Việt Nam giai đoạn 2022 – 2024
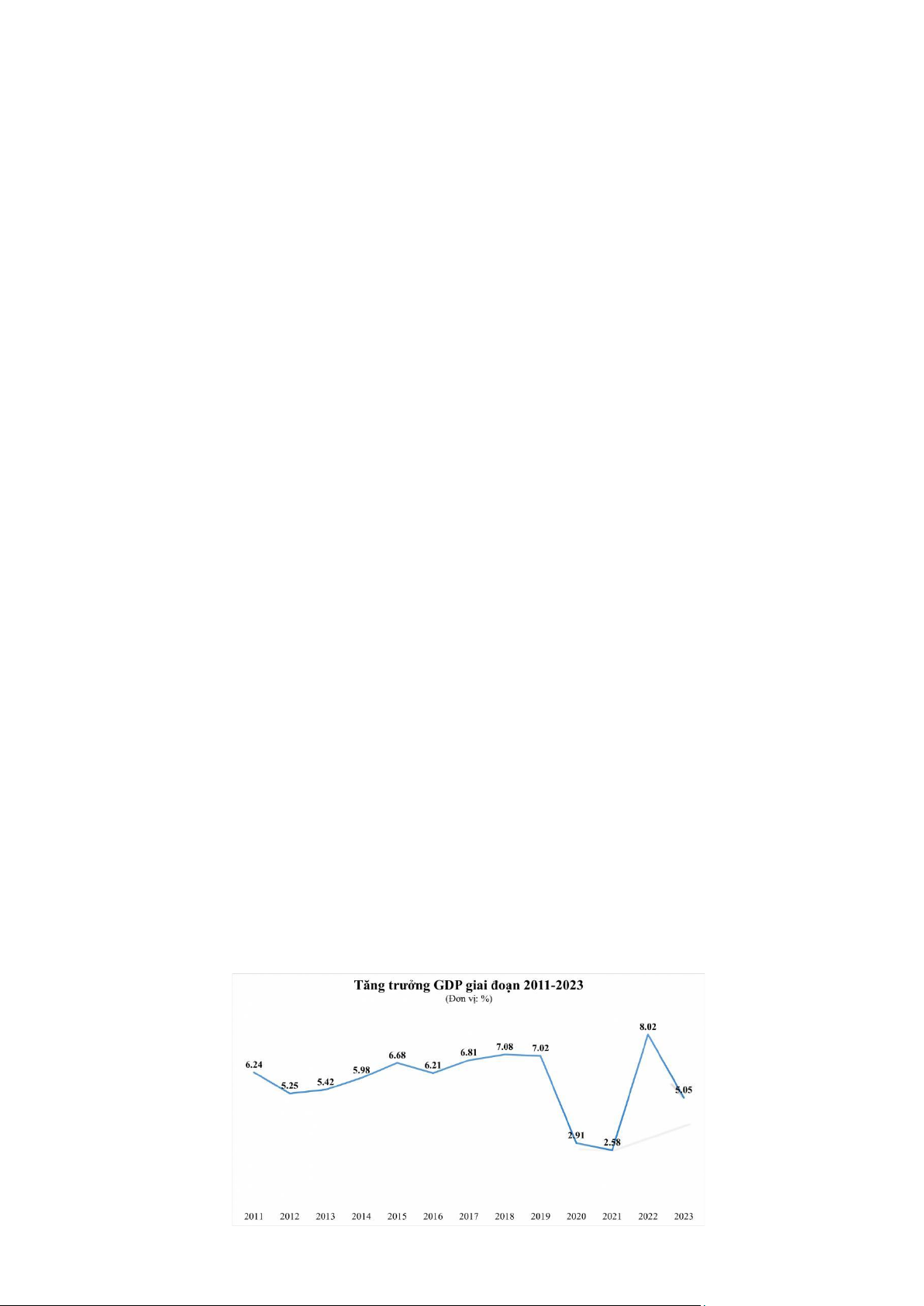
Để đánh giá tính hiệu quả của chính sách đầu tư, trước hết cần nhìn nhận mối
quan hệ thực tế giữa sự thay đổi về sản lượng (tăng trưởng GDP) và Đầu tư toàn xã hội
trong giai đoạn 2022-2024. Biểu đồ dưới đây cho thấy một sự tương quan rõ rệt, khẳng lOMoAR cPSD| 58702377
định rằng lý thuyết gia tốc đầu tư có tính ứng dụng cao trong bối cảnh kinh tế Việt Nam.
Tốc độ tăng trưởng GDP (%) và Tổng vốn đầu tư toàn xã hội Việt Nam (%), giai đoạn 20222024
Phân tích tổng thể biểu đồ rút ra hai điểm chính:
1. Tính Đồng biến và Độ trễ: Xu hướng của Đầu tư (I) luôn theo sát và phản ứng
với tăng trưởng GDP (ΔY), chứng minh luận điểm Đầu tư mở rộng được thúc
đẩy bởi nhu cầu tăng trưởng. Tuy nhiên, sự khác biệt về pha giữa hai đường
biểu thị (đặc biệt là trong giai đoạn biến động mạnh) đã nhấn mạnh vai trò của
độ trễ (lag effect) trong việc chuyển đổi kỳ vọng thành hành động đầu tư thực tế.
2. Sự nhạy cảm với Kỳ vọng: Giai đoạn phục hồi mạnh của GDP (thường là 2022)
tạo ra hiệu ứng gia tốc thuận; ngược lại, khi tốc độ tăng trưởng GDP có dấu
hiệu chậm lại (thường là 2023), tốc độ tăng trưởng vốn đầu tư cũng ngay lập tức
bị ảnh hưởng tiêu cực. Điều này cho thấy sự nhạy cảm cao của các nhà đầu tư
đối với kỳ vọng tăng trưởng sản lượng quốc gia.
Tóm lại, những biến động của Đầu tư toàn xã hội giai đoạn 2022-2024 là sự kết hợp
giữa phản ứng tự nhiên theo quy luật gia tốc và tác động điều tiết của các chính
sách nhà nước nhằm ổn định hệ số gia tốc. Để làm rõ những tác động này, chúng ta
cần đi sâu vào phân tích chi tiết diễn biến kinh tế và các chính sách can thiệp trong từng năm.
2.1.1. Năm 2022
2.1.1.1. Bối cảnh kinh tế
Năm 2022, kinh tế Việt Nam đạt tốc độ tăng trưởng GDP ấn tượng 8,02% – mức
cao nhất trong hơn một thập kỷ, phản ánh sự phục hồi mạnh mẽ sau đại dịch Covid-19.
Động lực tăng trưởng đến từ ba trụ cột chính. Thứ nhất, sản xuất công nghiệp, đặc biệt là
ngành chế biến chế tạo, duy trì đà tăng cao với đóng góp nổi bật của điện tử, điện thoại
và máy móc. Thứ hai, xuất nhập khẩu đạt tổng kim ngạch hơn 732 tỷ USD, tiếp tục giữ
vững vị thế xuất siêu. Thứ ba, ngành dịch vụ và du lịch bùng nổ sau khi mở cửa, đóng
góp tích cực vào tăng trưởng. Nhìn chung, bối cảnh này tạo nền tảng thuận lợi cho hoạt
động đầu tư mở rộng cả về quy mô và cơ cấu. lOMoAR cPSD| 58702377
2.1.1.2. Đầu tư thực hiện toàn xã hội
Tổng vốn đầu tư thực hiện toàn xã hội đạt 3.219,8 nghìn tỷ đồng, tăng 11,2% so với năm 2021. Trong đó:
Khu vực Nhà nước đạt 824,7 nghìn tỷ đồng (tăng 14,6%), cho thấy nỗ lực đẩy mạnh giải
ngân đầu tư công, nhất là cho các dự án hạ tầng chiến lược như cao tốc Bắc – Nam và cảng biển.
Khu vực ngoài Nhà nước đạt 1.873,2 nghìn tỷ đồng (tăng 8,9%), khẳng định vai trò quan
trọng của doanh nghiệp tư nhân trong việc mở rộng sản xuất.
Khu vực FDI đạt 521,9 nghìn tỷ đồng (tăng 13,9%), tiếp tục là động lực quan trọng, cho
thấy Việt Nam vẫn hấp dẫn với nhà đầu tư quốc tế.
Cơ cấu trên phản ánh sự dịch chuyển tích cực, trong đó Nhà nước giữ vai trò dẫn dắt,
khu vực tư nhân tăng trưởng ổn định và FDI bổ sung thêm nguồn lực quan trọng.
2.1.1.3. Đầu tư theo địa bàn
FDI tiếp tục tập trung tại các địa phương có hạ tầng phát triển và nguồn nhân lực
chất lượng, điển hình là Bình Dương (hơn 3,5 tỷ USD), TP. Hồ Chí Minh (3,1 tỷ USD)
và Quảng Ninh (2,3 tỷ USD). Các tỉnh công nghiệp truyền thống như Bắc Ninh, Hải
Phòng, Thái Nguyên cũng duy trì sức hút mạnh. Tuy nhiên, vốn FDI vẫn có xu hướng tập
trung ở một số cực tăng trưởng, chưa lan tỏa đồng đều tới các vùng miền khác.
2.1.1.4. Đầu tư nước ngoài (FDI)
Năm 2022 ghi nhận vốn FDI giải ngân kỷ lục 22,4 tỷ USD (tăng 13,5% so với 2021)
– thể hiện tốc độ triển khai dự án nhanh và hiệu quả. Tổng vốn đăng ký đạt 27,72 tỷ USD. Về cơ cấu ngành:
Công nghiệp chế biến, chế tạo chiếm 60,6% tổng vốn đăng ký, khẳng định vai trò là
“điểm đến số một” của FDI, đặc biệt ở lĩnh vực điện tử, phụ tùng ô tô, thiết bị máy móc.
Sản xuất và phân phối điện chiếm 15,6%, phản ánh xu hướng đầu tư vào năng lượng.
Bất động sản đứng thứ ba với 10,6%, cho thấy dòng vốn quan tâm đến hạ tầng đô thị và thương mại.
Cơ cấu này cho thấy FDI vẫn tập trung vào các ngành công nghiệp định hướng xuất khẩu,
trong khi các lĩnh vực dịch vụ công nghệ cao và đổi mới sáng tạo chưa thực sự nổi bật.
2.1.1.5. Đối tác đầu tư
Singapore dẫn đầu với 6,46 tỷ USD (23,3%), tiếp đến là Hàn Quốc 4,88 tỷ USD
(17,6%) và Nhật Bản 4,75 tỷ USD (17,1%). Trung Quốc, Hồng Kông (Trung Quốc) và
Đài Loan duy trì vị thế quan trọng trong các dự án công nghiệp, còn Mỹ và EU dần gia
tăng hiện diện, chủ yếu ở các lĩnh vực công nghệ cao và đổi mới sáng tạo. Cấu trúc đối
tác phản ánh tính đa dạng trong nguồn vốn, đồng thời cho thấy Việt Nam vẫn phụ thuộc
đáng kể vào các nhà đầu tư châu Á. lOMoAR cPSD| 58702377
2.1.1.6. Đánh giá chung
Năm 2022, hoạt động đầu tư tại Việt Nam ghi nhận sự tăng trưởng đồng bộ, với
dấu ấn nổi bật từ FDI và đầu tư công. Tuy nhiên, các hạn chế như phân bổ địa bàn chưa
đồng đều và cơ cấu ngành nghề còn lệ thuộc vào công nghiệp chế biến chế tạo vẫn tồn
tại, đặt ra yêu cầu điều chỉnh chính sách trong những năm tiếp theo để hướng tới phát
triển bền vững và cân bằng hơn.
2.1.2. Năm 2023
2.1.2.1. Bối cảnh kinh tế
Năm 2023, kinh tế Việt Nam chịu nhiều tác động bất lợi từ bên ngoài như lạm
phát toàn cầu, suy thoái ở các nền kinh tế lớn và biến động chuỗi cung ứng. Dù vậy, Việt
Nam vẫn duy trì được sự ổn định vĩ mô với những kết quả tích cực: GDP tăng trưởng
5,05% – thấp hơn so với năm 2022 nhưng vẫn thuộc nhóm tăng cao trong khu vực và
trên thế giới; lạm phát được kiểm soát ở mức 3,25%, thấp hơn mục tiêu 4,5% mà Quốc
hội đề ra. Tổng kim ngạch xuất nhập khẩu đạt 681 tỷ USD, tiếp tục duy trì thặng dư
thương mại, cho thấy khả năng cạnh tranh của nền kinh tế trong bối cảnh khó khăn toàn cầu.
2.1.2.2. Đầu tư toàn xã hội
Tổng vốn đầu tư thực hiện toàn xã hội năm 2023 ước đạt 3.423,5 nghìn tỷ đồng, tăng
6,2% so với 2022, đóng vai trò quan trọng trong việc duy trì tăng trưởng. Trong đó:
Khu vực Nhà nước đạt 964,4 nghìn tỷ đồng, tăng 16,6%, phản ánh nỗ lực mạnh mẽ trong
đẩy nhanh tiến độ giải ngân vốn đầu tư công, đặc biệt cho các dự án hạ tầng chiến lược
như đường cao tốc và cảng biển.
Khu vực ngoài Nhà nước đạt 1.737,2 nghìn tỷ đồng, tăng 2,7%. Mặc dù tốc độ tăng
chậm hơn so với 2022, khu vực này vẫn chiếm tỷ trọng lớn nhất, thể hiện sự bền bỉ của
khu vực tư nhân dù gặp nhiều khó khăn.
Khu vực FDI đạt 721,9 nghìn tỷ đồng, tăng 9,9%, tiếp tục là động lực quan trọng cho
phát triển công nghiệp và xuất khẩu.
2.1.2.3. Đầu tư theo địa bàn
Dòng vốn FDI tiếp tục tập trung vào các địa phương có lợi thế về hạ tầng, nhân lực và
hệ sinh thái công nghiệp. TP. Hồ Chí Minh dẫn đầu về tổng vốn FDI đăng ký, chủ yếu
nhờ các dự án bất động sản và dịch vụ. Hải Phòng giữ vị trí thứ hai với nhiều dự án sản
xuất và công nghệ quy mô lớn. Quảng Ninh và Bắc Giang cũng nổi bật, trở thành các cực
tăng trưởng mới nhờ thu hút mạnh các dự án công nghiệp chế biến, chế tạo.
2.1.2.4. Đầu tư nước ngoài (FDI)
Năm 2023, FDI tiếp tục là điểm sáng với nhiều kỷ lục mới:
Vốn đăng ký đạt 36,6 tỷ USD, tăng 32,1% so với 2022, cao nhất trong 5 năm gần đây.
Vốn giải ngân đạt 23,18 tỷ USD, tăng 3,5% và lập mức kỷ lục mới, phản ánh tiến độ triển
khai hiệu quả của các dự án. lOMoAR cPSD| 58702377
Cơ cấu ngành cho thấy công nghiệp chế biến, chế tạo vẫn chiếm ưu thế tuyệt đối (64,2%
tổng vốn đăng ký), tập trung vào điện tử, linh kiện và công nghệ cao. Bất động sản đứng
thứ hai, khẳng định sức hấp dẫn của thị trường này đối với nhà đầu tư quốc tế.
2.1.2.5. Đối tác đầu tư
Về đối tác, dòng vốn FDI vào Việt Nam năm 2023 vẫn chủ yếu đến từ khu vực
châu Á, với Singapore dẫn đầu, tổng vốn đăng ký đạt 6,8 tỷ USD (chiếm 18,6%), tập
trung vào các dự án công nghiệp chế biến, chế tạo, năng lượng và bất động sản. Nhật Bản
xếp thứ hai với 6,57 tỷ USD (17,9%), chủ yếu đầu tư vào các dự án công nghệ cao và quy
mô lớn. Hồng Kông (Trung Quốc) đứng thứ ba với 4,67 tỷ USD (12,7%), tập trung vào
bất động sản, năng lượng và sản xuất. Trung Quốc và Hàn Quốc lần lượt đạt 4,47 tỷ USD
(12,2%) và 4,34 tỷ USD (11,8%), tiếp tục duy trì vai trò quan trọng trong các lĩnh vực sản
xuất và công nghiệp phụ trợ. Nhìn chung, cơ cấu đối tác phản ánh sự đa dạng trong nguồn
vốn, đồng thời cho thấy Việt Nam vẫn phụ thuộc đáng kể vào các nhà đầu tư châu Á.
2.1.2.6. Đánh giá chung
Năm 2023, hoạt động đầu tư của Việt Nam đạt nhiều kết quả đáng khích lệ: vốn
FDI đăng ký và giải ngân đều lập kỷ lục, vốn đầu tư công tăng mạnh, cơ sở hạ tầng tiếp
tục được cải thiện. Tuy nhiên, khu vực tư nhân có dấu hiệu chững lại do ảnh hưởng của
suy giảm cầu toàn cầu và khó khăn tài chính trong nước. Ngoài ra, sự phụ thuộc quá lớn
vào khu vực FDI trong công nghiệp chế biến, chế tạo cũng đặt ra thách thức về tính bền
vững, khi Việt Nam cần chuyển dịch sang thu hút các dự án có hàm lượng công nghệ và
giá trị gia tăng cao hơn.
2.1.3. Năm 2024
2.1.3.1. Bối cảnh kinh tế
Những tháng đầu năm 2024, kinh tế Việt Nam ghi nhận nhiều điểm sáng. Tăng
trưởng GDP quý I đạt 5,66%, cao nhất cùng kỳ kể từ năm 2020, nhờ sự phục hồi mạnh
mẽ của sản xuất công nghiệp, tiêu dùng nội địa và xuất khẩu. Chính phủ tiếp tục ưu tiên
ổn định kinh tế vĩ mô, kiểm soát lạm phát và đẩy mạnh giải ngân vốn đầu tư công, tạo
nền tảng vững chắc cho hoạt động đầu tư trong cả năm.
2.1.3.2. Đầu tư thực hiện toàn xã hội
Tổng vốn đầu tư toàn xã hội trong quý I ước đạt 549,6 nghìn tỷ đồng, tăng 5,2%
so với cùng kỳ năm 2023. Vốn Nhà nước tiếp tục được giải ngân mạnh, tập trung vào các
dự án hạ tầng trọng điểm như đường cao tốc và cảng biển. Vốn FDI thực hiện duy trì đà
tăng, phản ánh niềm tin của nhà đầu tư vào triển vọng dài hạn của Việt Nam.
2.1.3.3. Đầu tư theo địa bàn
Các địa phương dẫn đầu về thu hút FDI trong những tháng đầu năm 2024 là Hà
Nội, Bắc Ninh và Quảng Ninh. Hà Nội vượt lên dẫn đầu nhờ một dự án lớn, trong khi Bắc
Ninh và Quảng Ninh tiếp tục là trung tâm công nghiệp trọng điểm. Xu hướng chung cho
thấy khởi đầu năm mạnh mẽ, tiếp nối đà tăng trưởng của năm 2023, nhờ chính sách thu
hút đầu tư cải thiện môi trường kinh doanh và ưu tiên các dự án chất lượng cao. lOMoAR cPSD| 58702377
2.1.3.4. Tình hình đầu tư nước ngoài (FDI)
Vốn FDI đăng ký mới, điều chỉnh và góp vốn mua cổ phần tiếp tục tăng, phản ánh
sự quan tâm lớn của nhà đầu tư nước ngoài. Vốn FDI thực hiện đạt khoảng 6,3 tỷ USD
trong 4 tháng đầu năm, tăng 7,4% so với cùng kỳ năm 2023. Công nghiệp chế biến, chế
tạo vẫn là ngành thu hút FDI lớn nhất, tập trung vào các dự án công nghệ cao và sản xuất
linh kiện điện tử. Ngành bất động sản duy trì sự hấp dẫn đối với các nhà đầu tư.
2.1.3.5. Đối tác đầu tư
Singapore tiếp tục giữ vị trí nhà đầu tư hàng đầu, phản ánh niềm tin vào môi trường
kinh doanh ổn định tại Việt Nam. Hồng Kông (Trung Quốc) vươn lên vị trí thứ hai với
nhiều dự án quy mô lớn. Nhật Bản đứng thứ ba, tiếp tục tập trung vào sản xuất, công nghệ
cao và cơ sở hạ tầng. Trung Quốc và Hàn Quốc cũng duy trì vai trò quan trọng, đầu tư
đáng kể vào các dự án công nghiệp, sản xuất và năng lượng.
2.1.3.6. Đánh giá chung
Những tháng đầu năm 2024 cho thấy hoạt động đầu tư tại Việt Nam tiếp tục duy
trì đà tăng trưởng tích cực. Vốn đầu tư toàn xã hội tăng ổn định với đóng góp đáng kể từ
vốn Nhà nước và FDI. Công nghiệp chế biến, chế tạo tiếp tục là ngành thu hút mạnh nhất,
trong khi bất động sản và các dự án công nghệ cao cũng nhận được sự quan tâm đáng kể.
Các địa phương trọng điểm như Hà Nội, Bắc Ninh và Quảng Ninh vẫn dẫn đầu về thu hút
FDI, phản ánh hiệu quả của chính sách thu hút đầu tư và cải thiện môi trường kinh doanh.
Tuy nhiên, cơ cấu đầu tư vẫn tập trung ở một số ngành và địa bàn chủ chốt, chưa lan tỏa
đồng đều tới các vùng khác, đặt ra yêu cầu tiếp tục điều chỉnh chính sách nhằm thúc đẩy
sự phát triển bền vững và cân bằng hơn trong những tháng còn lại của năm.
2.2. Đánh giá hiệu quả của các chính sách điều tiết đầu tư Việt Nam giai đoạn
2022-2024 dựa trên lý thuyết gia tốc đầu tư
2.2.1. Chính sách tài khóa
2.2.1.1. Công cụ chủ yếu của Chính sách tài khoá
Chính sách tài khóa là công cụ quan trọng của Nhà nước nhằm điều tiết tổng cầu,
ổn định kinh tế vĩ mô và thúc đẩy đầu tư. Ở Việt Nam, chính sách tài khóa chủ yếu bao
gồm thuế và chi tiêu Chính phủ.
Thuế có thể chia thành hai nhóm chính. Thứ nhất là thuế trực thu, đánh trực tiếp
lên tài sản hoặc thu nhập của người nộp thuế, như thuế thu nhập cá nhân, thuế thu nhập
doanh nghiệp, thuế tài sản và thuế đất. Thứ hai là thuế gián thu, áp dụng gián tiếp thông
qua các giao dịch sản xuất, tiêu dùng, điển hình là thuế giá trị gia tăng (GTGT) và thuế
xuất nhập khẩu. Chính sách giảm, miễn và gia hạn thuế trực tiếp tác động tới chi phí của
doanh nghiệp, tăng khả năng đầu tư, trong khi thuế gián thu điều tiết giá cả và tổng cầu
tiêu dùng, gián tiếp ảnh hưởng đến quyết định đầu tư của doanh nghiệp. Theo lý thuyết
gia tốc đầu tư, khi tổng cầu tăng, doanh nghiệp có xu hướng mở rộng đầu tư vượt mức
cần thiết để đáp ứng nhu cầu tương lai, vì vậy các chính sách giảm thuế trực tiếp và gián
tiếp góp phần tạo hiệu ứng gia tốc trong nền kinh tế. lOMoAR cPSD| 58702377
Trong giai đoạn 2022–2024, Chính phủ Việt Nam đã triển khai nhiều biện pháp nổi
bật. Năm 2022, tổng số hỗ trợ thuế, phí và tiền thuê đất đạt kỷ lục, trong đó gần 98 nghìn
tỷ đồng là miễn, giảm thuế và 135 nghìn tỷ đồng là gia hạn. Thuế suất GTGT được giảm
từ 10% xuống 8%, cùng với giảm thuế bảo vệ môi trường đối với xăng, dầu và nhiên liệu
bay, giúp giảm chi phí cho doanh nghiệp và kiềm chế lạm phát. Năm 2023, chính sách
giảm thuế GTGT tiếp tục được gia hạn, đồng thời tổng thu ngân sách vượt dự toán. Năm
2024, tổng thu ngân sách tiếp tục vượt dự toán, giảm thuế GTGT và miễn, giảm một số
loại phí, lệ phí giúp doanh nghiệp tiết giảm chi phí đầu vào.
Chi tiêu Chính phủ đóng vai trò trực tiếp trong việc tăng tổng cầu và kích thích
đầu tư. Năm 2022, chi tiêu công tăng khoảng 3% so với năm trước, tập trung vào các dự
án hạ tầng chiến lược như cao tốc Bắc – Nam giai đoạn 2, sân bay Long Thành và hạ tầng
chuyển đổi số, đồng thời tăng chi cho y tế, giáo dục, an sinh xã hội và gói phục hồi kinh
tế – xã hội 350.000 tỷ đồng. Năm 2023, chi đầu tư phát triển chiếm khoảng 35% tổng chi
ngân sách, trong khi chi thường xuyên tăng nhẹ. Đến năm 2024, nợ công được duy trì
trong ngưỡng an toàn, đồng thời Việt Nam đẩy mạnh chuyển đổi số trong quản lý ngân
sách, nâng cao hiệu quả chi tiêu và quản lý tài khóa.
Nhìn chung, các chính sách tài khóa giai đoạn 2022–2024 không chỉ hỗ trợ doanh
nghiệp, kích thích tiêu dùng và đầu tư, mà còn đảm bảo ổn định vĩ mô và an sinh xã hội.
Việc tăng chi tiêu công và giảm thuế đã tạo điều kiện cho khu vực tư nhân mở rộng đầu
tư theo cơ chế gia tốc đầu tư, đóng vai trò quan trọng trong việc duy trì tăng trưởng kinh tế bền vững.
2.1.1.2. Tác động của Chính sách tài khoá
Chính sách tài khóa không chỉ điều tiết tổng cầu mà còn tác động trực tiếp đến
quyết định đầu tư của doanh nghiệp. Theo lý thuyết gia tốc đầu tư, khi tổng cầu tăng,
doanh nghiệp kỳ vọng nhu cầu tương lai sẽ cao hơn, từ đó tăng đầu tư bổ sung để đáp ứng
nhu cầu, tạo ra hiệu ứng “gia tốc” trong nền kinh tế. Dưới đây là các tác động cụ thể:
Tác động đến tăng trưởng kinh tế: Khi Chính phủ tăng chi tiêu hoặc giảm thuế,
tổng cầu tăng lên, từ đó kích thích sản xuất và đầu tư. Ví dụ, năm 2022, gói phục hồi kinh
tế – xã hội 350.000 tỷ đồng tập trung vào hạ tầng giao thông, y tế và giáo dục đã góp phần
giúp GDP tăng 8,02%. Theo lý thuyết gia tốc, tăng chi công sẽ làm doanh nghiệp dự đoán
nhu cầu tương lai tăng mạnh, dẫn đến đầu tư bổ sung vượt mức để mở rộng sản xuất. Năm
2023, chi đầu tư công hơn 711 nghìn tỷ đồng với tỷ lệ giải ngân ~93% giúp GDP tăng
5,05%, đồng thời tạo hiệu ứng dẫn dắt đầu tư tư nhân. lOMoAR cPSD| 58702377
Năm 2022 GDP Việt Nam tăng 8,02%
Tác động đến ổn định kinh tế vĩ mô: Chính sách tài khóa giúp kiểm soát lạm phát
và duy trì sự ổn định của thị trường tiền tệ – hàng hóa. Ví dụ, việc giảm thuế VAT từ 10%
xuống 8% và miễn giảm thuế bảo vệ môi trường đối với xăng dầu giúp CPI duy trì mức
thấp, tạo môi trường thuận lợi cho đầu tư. Theo lý thuyết gia tốc, khi lạm phát ổn định và
chi phí sản xuất kiểm soát được, doanh nghiệp có thể dự đoán lợi nhuận tương lai rõ ràng
hơn, từ đó quyết định tăng đầu tư.
Tác động đến phân phối thu nhập và an sinh xã hội: Chi ngân sách cho y tế,
giáo dục, trợ cấp xã hội và thuế lũy tiến làm tăng thu nhập khả dụng của các hộ gia đình.
Theo lý thuyết gia tốc, khi thu nhập khả dụng tăng, cầu tiêu dùng tăng, tạo động lực cho
doanh nghiệp mở rộng đầu tư để đáp ứng nhu cầu này. Ví dụ, trong giai đoạn đại dịch,
ngân sách hỗ trợ trực tiếp hơn 90 triệu lượt người với tổng giá trị khoảng 68 nghìn tỷ
đồng, thúc đẩy cả tiêu dùng lẫn đầu tư bổ sung.
Tác động đến đầu tư và cơ cấu kinh tế: Chi đầu tư công làm “đòn bẩy” thu hút
vốn tư nhân, tạo hiệu ứng dẫn dắt. Các dự án trọng điểm như cao tốc Bắc – Nam, sân bay
Long Thành, và các đường vành đai được đẩy mạnh giải ngân, đồng thời chính sách ưu
đãi thuế cho doanh nghiệp công nghệ cao và năng lượng tái tạo thu hút FDI. Đây là ví dụ
điển hình của lý thuyết gia tốc: tăng chi công → tăng tổng cầu → doanh nghiệp dự đoán
nhu cầu tương lai tăng → tăng đầu tư bổ sung.
Tác động đến nợ công và cân đối ngân sách: Mở rộng chi tiêu công có thể làm
tăng bội chi và nợ công, nhưng quản lý tốt vẫn đảm bảo nằm trong giới hạn an toàn, duy
trì niềm tin của nhà đầu tư.
Có thể thấy, năm 2022, bội chi NSNN là 4,4% GDP, nợ công ~38% GDP – vẫn thấp hơn
mức trần 60% do Quốc hội quy định. Năm 2023–2024, Chính phủ tiếp tục tăng chi cho
phục hồi kinh tế nhưng kiểm soát chặt thu chi, nhờ đó giữ nợ công trong ngưỡng an
toàn (khoảng 39% GDP). Khi niềm tin ổn định, doanh nghiệp yên tâm đầu tư dài hạn,
tăng cường hiệu ứng gia tốc
Tác động đến phân bổ nguồn lực: Chính sách tài khóa giúp phân bổ hiệu quả
nguồn lực thông qua thuế và chi tiêu công. Gói hỗ trợ 350.000 tỷ đồng đã tập trung vào
các ngành bị ảnh hưởng nặng nề như du lịch, hàng không, vận tải, giúp duy trì sản xuất
và việc làm, đồng thời phân bổ FDI vào các lĩnh vực trọng điểm. Theo lý thuyết gia tốc, lOMoAR cPSD| 58702377
việc định hướng nguồn lực này làm tăng đầu tư bổ sung ở các ngành được ưu tiên, thúc
đẩy chuyển dịch cơ cấu kinh tế theo hướng công nghệ cao và bền vững.
2.1.1.3. Đánh giá độ hiệu quả của Chính sách tài khoá
Chính sách tài khóa mở rộng của Việt Nam trong giai đoạn 2022–2024 đã đóng vai
trò quan trọng trong việc thúc đẩy tăng trưởng kinh tế, ổn định vĩ mô và cải thiện an sinh xã hội.
Các điểm mạnh nổi bật của chính sách bao gồm:
Thúc đẩy tăng trưởng kinh tế: Gói phục hồi 350.000 tỷ đồng năm 2022 tập trung vào
hạ tầng, y tế và giáo dục đã giúp GDP tăng 8,02%, mức cao nhất trong hơn một thập kỷ.
Ổn định kinh tế vĩ mô: Giảm 2% thuế VAT và miễn giảm thuế bảo vệ môi trường với
xăng dầu trong 2022–2023 giúp CPI duy trì 3–3,25%, thấp hơn nhiều nước trong khu
vực, hỗ trợ niềm tin thị trường.
Bảo đảm an sinh xã hội và phân phối thu nhập: Ngân sách ưu tiên cho giáo dục, y tế
và hỗ trợ nhóm yếu thế, giúp hơn 90 triệu lượt người nhận hỗ trợ trong đại dịch, và tỷ lệ
hộ nghèo giảm còn ~2,93% vào năm 2023.
Thúc đẩy đầu tư hạ tầng và chuyển dịch cơ cấu kinh tế: Đầu tư công vào các dự án
trọng điểm như cao tốc Bắc – Nam, sân bay Long Thành, đường vành đai Hà
Nội/TP.HCM (2022–2024) giải ngân mạnh, tạo việc làm và thu hút FDI lớn vào sản
xuất, năng lượng tái tạo và công nghệ cao. Đây là minh chứng điển hình cho hiệu ứng
“dẫn dắt” trong lý thuyết gia tốc đầu tư.
Duy trì an toàn nợ công: Nợ công duy trì khoảng 39% GDP năm 2023, dưới trần 60%
cho phép, đảm bảo dư địa tài khóa cho các năm tiếp theo.
Tuy nhiên, chính sách còn một số hạn chế:
Áp lực bội chi và nợ công: Bội chi NSNN năm 2023 khoảng 4,4% GDP, tạo áp lực trả nợ dài hạn.
Giải ngân đầu tư công chậm: Một số dự án lớn như cao tốc Bắc – Nam, sân bay Long
Thành chưa đạt tiến độ tối ưu; vốn đầu tư công giải ngân năm 2022 mới đạt 93,5% kế hoạch.
Hiệu quả phân bổ nguồn lực chưa cao: Chi thường xuyên chiếm trên 60% tổng chi
NSNN năm 2023, hạn chế đầu tư phát triển dài hạn.
Áp lực cân đối thu – chi: Giảm thuế VAT và thuế xăng dầu khiến nguồn thu NSNN bị
thu hẹp, nhiều địa phương hụt thu từ thuế xuất nhập khẩu và VAT năm 2023.
Tổng thể, trong 3 năm qua, các chính sách tài khóa của Việt Nam đã góp phần tích
cực vào tăng trưởng kinh tế và thúc đẩy quá trình phục hồi sau đại dịch, đồng thời tạo
hiệu ứng gia tốc đầu tư khi kích thích doanh nghiệp mở rộng sản xuất để đáp ứng nhu cầu
tăng cao. Tuy nhiên, để duy trì tính bền vững và hiệu quả lâu dài, cần tiếp tục cải thiện
môi trường kinh doanh, nâng cao hiệu quả sử dụng vốn, tập trung phân bổ nguồn lực hợp
lý và tăng cường cơ chế giám sát nhằm hạn chế rủi ro tiềm ẩn. lOMoAR cPSD| 58702377
2.2.2. Chính sách thu hút đầu tư
2.2.2.1. Các chính sách chủ chốt
Trong giai đoạn 2022–2024, Việt Nam đã triển khai một loạt chính sách nhằm thu
hút và tối ưu hóa nguồn vốn, tập trung vào hai cấu phần chính là đầu tư trong nước (DDI)
và đầu tư nước ngoài (FDI). Các chính sách này đều phản ánh nỗ lực tận dụng và điều tiết
hiệu ứng gia tốc đầu tư thông qua việc củng cố kỳ vọng tăng trưởng (ΔY) và cải thiện hệ số gia tốc (x).
Đối với Đầu tư Nước ngoài (FDI), các chính sách tập trung vào việc nâng cao
chất lượng dòng vốn và duy trì lợi thế cạnh tranh quốc tế. Chính phủ đã và đang hoàn
thiện thể chế và pháp luật liên quan để tạo hành lang pháp lý minh bạch. Sự thay đổi lớn
nhất là việc xây dựng các cơ chế ứng phó với Thuế tối thiểu toàn cầu (GMT) từ năm 2024.
Để giữ chân các nhà đầu tư lớn, Chính phủ đã xây dựng các cơ chế hỗ trợ đầu tư mới, như
Quỹ hỗ trợ đầu tư, nhằm bù đắp phần thuế tăng thêm, đảm bảo lợi thế cạnh tranh của Việt
Nam. Đồng thời, Việt Nam thực hiện chuyển hướng thu hút đầu tư có chọn lọc, ưu tiên
các dự án có công nghệ cao, thân thiện với môi trường và có khả năng kết nối với chuỗi
cung ứng trong nước (ví dụ: công nghiệp bán dẫn, năng lượng tái tạo). Chính sách này
không chỉ đáp ứng nhu cầu gia tăng sản xuất mà còn nâng cao chất lượng sản lượng kinh
tế, kích thích các doanh nghiệp mở rộng đầu tư ròng. Theo lý thuyết gia tốc đầu tư, các
điều chỉnh pháp luật này trực tiếp củng cố niềm tin và lợi nhuận kỳ vọng, qua đó thúc đẩy
hiệu ứng gia tốc đầu tư vào các ngành chiến lược.
Đối với Đầu tư Trong nước (DDI), các chính sách tập trung vào việc cải thiện
môi trường kinh doanh nhằm giảm chi phí, tăng tốc độ triển khai dự án và củng cố niềm
tin cho khu vực tư nhân. Việt Nam đã đẩy mạnh cải cách thủ tục hành chính, giảm thiểu
giấy tờ và quy trình rườm rà, tạo môi trường đầu tư nhanh chóng và hiệu quả. Việc cải
thiện môi trường kinh doanh và năng lực cạnh tranh này có tác động trực tiếp đến Độ trễ
(Lag Effect), giảm thời gian chuyển đổi từ ý định đầu tư sang hành động thực tế. Hơn
nữa, các địa phương đã chủ động tăng cường công tác xúc tiến đầu tư, hỗ trợ nhà đầu tư
từ khâu khảo sát đến triển khai dự án. Môi trường thuận lợi này giúp doanh nghiệp tiết
kiệm chi phí và tăng tốc độ triển khai dự án, khuyến khích đầu tư mới, hoàn toàn phù hợp
với nguyên lý gia tốc đầu tư khi các điều kiện thuận lợi khuyến khích doanh nghiệp tăng
cường đầu tư ròng DDI.
2.2.2.2. Tác động của Chính sách thu hút đầu tư
Chính sách thu hút đầu tư của Việt Nam trong giai đoạn 2022–2024 đã tạo ra tác
động rõ rệt đến tăng trưởng kinh tế, cơ cấu công nghiệp, năng lực sản xuất và vị thế quốc
tế của đất nước, đồng thời phù hợp với cơ chế của lý thuyết gia tốc đầu tư.
Tăng trưởng kinh tế và công nghiệp hóa: Vốn đầu tư trực tiếp nước ngoài (FDI)
đóng vai trò là động lực chính thúc đẩy tăng trưởng. Trong giai đoạn 2022–2023, vốn FDI
giải ngân duy trì ở mức cao kỷ lục, chiếm hơn 25% tổng vốn đầu tư toàn xã hội, qua đó
góp phần ổn định tăng trưởng GDP. Đồng thời, dòng vốn này đã thúc đẩy chuyển dịch cơ
cấu kinh tế theo hướng công nghiệp hóa, hiện đại hóa. Các ngành công nghiệp chế biến,
chế tạo, công nghệ cao và điện tử trở thành những đầu tàu tăng trưởng, thay thế dần các
ngành truyền thống. Đây là minh chứng thực tế cho cơ chế gia tốc đầu tư: khi đầu tư ban
đầu tăng, nó kích thích các khoản đầu tư bổ sung, tạo vòng lặp phát triển liên tục. lOMoAR cPSD| 58702377
Nâng cao năng lực sản xuất và năng suất lao động: Các chính sách thu hút đầu
tư có chọn lọc giúp Việt Nam tiếp cận công nghệ tiên tiến từ các tập đoàn đa quốc gia.
Việc áp dụng công nghệ và quy trình quản lý hiện đại không chỉ nâng cao năng lực sản
xuất mà còn cải thiện chất lượng sản phẩm, đáp ứng tiêu chuẩn quốc tế. Điều này đồng
thời nâng cao năng suất lao động, với hiệu ứng lan tỏa tích cực sang các doanh nghiệp trong nước.
Tạo việc làm và phát triển nguồn nhân lực: Sự gia tăng các dự án đầu tư, đặc
biệt tại các khu công nghiệp, đã tạo ra hàng triệu việc làm mới, giảm tỷ lệ thất nghiệp và
cải thiện thu nhập cho người lao động. Bên cạnh đó, các nhà đầu tư nước ngoài thường
triển khai chương trình đào tạo chuyên sâu, giúp người lao động Việt Nam tiếp cận kiến
thức và kỹ năng hiện đại, đáp ứng yêu cầu của nền kinh tế tri thức.
Tăng cường hội nhập và vị thế quốc tế: Các dự án FDI giúp Việt Nam trở thành
mắt xích quan trọng trong chuỗi cung ứng và chuỗi giá trị toàn cầu, đặc biệt trong các
ngành điện tử, dệt may và da giày. Việc các tập đoàn lớn chọn Việt Nam làm điểm đến
đầu tư cũng củng cố vị thế quốc gia, nâng cao uy tín trên trường quốc tế và thu hút thêm
nhiều nhà đầu tư mới.
Như vậy, chính sách thu hút đầu tư không chỉ mang lại tác động trực tiếp về tăng
trưởng và việc làm, mà còn khơi thông nguồn lực và tạo động lực tiếp tục đầu tư, hoàn
toàn phù hợp với cơ chế gia tốc đầu tư, trong đó sự tăng trưởng ban đầu kích thích các
dòng đầu tư bổ sung, thúc đẩy sự phát triển bền vững của nền kinh tế.
2.2.2.3. Đánh giá về độ hiệu quả của Chính sách thu hút đầu tư
Chính sách thu hút đầu tư của Việt Nam trong giai đoạn 2022–2024 đã đóng vai
trò quan trọng trong việc thúc đẩy tăng trưởng kinh tế, chuyển dịch cơ cấu ngành và nâng cao vị thế quốc tế.
Các ưu điểm của chính sách bao gồm:
Thúc đẩy tăng trưởng kinh tế: Vốn FDI giải ngân giai đoạn 2022–2023 chiếm hơn
25% tổng vốn đầu tư toàn xã hội, góp phần duy trì tăng trưởng GDP ổn định. Năm
2024, vốn FDI giải ngân đạt kỷ lục, thể hiện niềm tin mạnh mẽ của nhà đầu tư quốc tế
vào môi trường kinh doanh Việt Nam.
Chuyển dịch cơ cấu kinh tế hiện đại: Chính sách ưu tiên đã định hướng dòng vốn vào
chế biến – chế tạo, công nghệ cao, điện tử, thay thế dần các ngành truyền thống, giúp
nền kinh tế đa dạng và tăng năng lực cạnh tranh.
Hiện đại hóa công nghệ và nâng cao năng suất: Việt Nam tiếp cận công nghệ tiên tiến
từ các tập đoàn quốc tế, cải thiện năng suất lao động, đặc biệt tại khu vực FDI, qua đó
lan tỏa tích cực sang toàn bộ nền kinh tế.
Tạo việc làm và phát triển nguồn nhân lực: Hàng triệu việc làm mới được tạo ra,
đồng thời lực lượng lao động trong nước được hưởng lợi từ các chương trình đào tạo
chuyên sâu của doanh nghiệp FDI, nâng cao chất lượng nhân lực quốc gia.
Tăng cường hội nhập quốc tế: Việt Nam trở thành mắt xích quan trọng trong chuỗi
cung ứng toàn cầu, khi nhiều tập đoàn lớn chọn Việt Nam làm điểm đến đầu tư, góp
phần nâng cao vị thế trên trường quốc tế.
Tuy nhiên, chính sách cũng tồn tại một số hạn chế: lOMoAR cPSD| 58702377
Phụ thuộc lớn vào khu vực FDI: Nền kinh tế dễ bị ảnh hưởng nếu các doanh nghiệp
FDI gặp khó khăn hoặc dịch chuyển sản xuất sang nước khác.
Tác động tiêu cực đến môi trường: Một số dự án công nghiệp nặng gây ô nhiễm không
khí và nguồn nước, đặt ra thách thức trong kiểm soát.
Chênh lệch về trình độ công nghệ: Công nghệ chuyển giao chủ yếu ở mức trung bình
hoặc cũ, hạn chế khả năng tạo sản phẩm giá trị gia tăng cao.
Liên kết yếu với doanh nghiệp trong nước: Doanh nghiệp nội địa chưa tham gia sâu
vào chuỗi cung ứng của các tập đoàn đa quốc gia, khiến hiệu ứng lan tỏa còn hạn chế.
Khó khăn trong quản lý và giám sát: Số lượng dự án tăng nhanh gây áp lực cho cơ
quan quản lý trong kiểm soát chất lượng, đặc biệt ở lĩnh vực lao động và môi trường.
Tổng thể, chính sách thu hút đầu tư giai đoạn 2022–2024 đã tạo động lực mạnh mẽ
cho tăng trưởng, hiện đại hóa kinh tế và hội nhập quốc tế. Dưới góc độ lý thuyết gia tốc
đầu tư, chính sách này đã kích thích mở rộng sản xuất, gia tăng vốn đầu tư khi nhu cầu
trong nước và xuất khẩu tăng cao, từ đó tạo vòng xoáy đầu tư – tăng trưởng mới. Tuy
nhiên, để hiệu quả được bền vững, Việt Nam cần giảm phụ thuộc vào khu vực FDI, tăng
cường liên kết với doanh nghiệp trong nước, chú trọng công nghệ cao và nâng cao năng
lực giám sát, qua đó vừa tận dụng được “gia tốc đầu tư” vừa đảm bảo ổn định vĩ mô và phát triển dài hạn.
2.2.3. Chính sách khuyến khích đầu tư vào lĩnh vực ưu tiên
2.2.3.1. Đối tượng được hưởng các loại chính sách đầu tư
Theo quy định của Luật Đầu tư 2020, các đối tượng được hưởng ưu đãi và hỗ trợ
đầu tư được phân chia khá rõ ràng, nhằm định hướng dòng vốn vào những lĩnh vực, địa
bàn và dự án có tác động lớn đến phát triển kinh tế - xã hội.
Thứ nhất, đối tượng được hưởng ưu đãi đầu tư (Điều 15 – Luật Đầu tư 2020)
bao gồm các dự án triển khai trong ngành, nghề ưu tiên như công nghệ cao, nghiên cứu
và phát triển (R&D), sản xuất sản phẩm công nghiệp hỗ trợ, năng lượng sạch, năng lượng
tái tạo, công nghệ tiết kiệm năng lượng, nông nghiệp ứng dụng công nghệ cao và chế biến
nông sản. Ngoài ra, các lĩnh vực có tính chất xã hội như giáo dục – đào tạo, y tế, khoa học
– công nghệ hay bảo vệ môi trường cũng được đưa vào danh mục khuyến khích. Song
song với đó, những dự án đầu tư tại các địa bàn có điều kiện kinh tế - xã hội khó khăn
hoặc đặc biệt khó khăn, cũng như tại các khu công nghiệp, khu chế xuất, khu công nghệ
cao và khu kinh tế, đều được hưởng chính sách ưu đãi để góp phần thu hút vốn vào những
vùng còn hạn chế về nguồn lực. Đặc biệt, các dự án có quy mô vốn từ 6.000 tỷ đồng trở
lên, giải ngân tối thiểu 6.000 tỷ đồng trong vòng 3 năm và đạt doanh thu trên 10.000 tỷ
đồng/năm hoặc sử dụng trên 3.000 lao động cũng được coi là đối tượng ưu tiên. Bên cạnh
đó, doanh nghiệp công nghệ cao, doanh nghiệp khoa học – công nghệ và các doanh nghiệp
khởi nghiệp sáng tạo cũng nằm trong nhóm được khuyến khích đầu tư.
Thứ hai, đối tượng được hưởng hỗ trợ đầu tư (Điều 18 – Luật Đầu tư 2020) có
hình thức hỗ trợ tập trung vào việc tạo điều kiện thuận lợi cho doanh nghiệp triển khai dự
án. Các hỗ trợ này bao gồm phát triển hạ tầng kỹ thuật và hạ tầng xã hội trong và ngoài
phạm vi dự án, đào tạo và phát triển nguồn nhân lực, hỗ trợ tín dụng thông qua vốn vay
ưu đãi, quỹ bảo lãnh hoặc quỹ phát triển khoa học – công nghệ. Đồng thời, nhà nước cũng
hỗ trợ nghiên cứu, chuyển giao công nghệ, đổi mới sáng tạo, tạo điều kiện tiếp cận đất