



















Preview text:
PHIẾU BÀI TẬP DẠY THÊM TOÁN 6 CHƯƠNG III LÝ THUYẾT CHỦ ĐỀ 1
SỐ NGUYÊN ÂM VÀ TẬP HỢP CÁC SỐ NGUYÊN
A. KIẾN THỨC TRỌNG TÂM 1. Định nghĩa
+ Số nguyên là tập hợp bao gồm các số: Số 0, số tự nhiên dương và các số đối của chúng còn gọi là số tự nhiên âm.
* Số nguyên dương là tập hợp các số nguyên lớn hơn 0 (ví dụ: 1 + ; 2 + ; 3 + ; 4 + ; 5 + . . đôi khi còn viết 1 + ; 2 + ; 3
+ ... nhưng dấu "+" thường được bỏ đi).
* Số nguyên âm là tập hợp các số nguyên nhỏ hơn 0 ( ví dụ: 1 − ; 2 − ; 3 − ; 4 − ; 5 − ) ...
Tập hợp các số nguyên được kí hiệu là .
Lưu ý: Số 0 không phải là số nguyên dương cũng không phải là số nguyên âm. B. VÍ DỤ Ví dụ 1. Điền ,
∈ ∉vào ô trống cho thích hợp a) 5 − . b) 15 . Hướng dẫn giải a) ∉. b) ∈.
Ví dụ 2. Trong các câu sau, câu nào đúng, câu nào sai?
A. Nếu –10 biểu diễn năm thứ 10 trước công nguyên thì 2015 +
biểu diễn năm 2015 sau công nguyên. B. Nếu 4
+ đi ốp cho biết loại kính dành cho người viễn thị 4 đi ốp thì –3 đi ốp cho biết loại kính
dành cho người cận thị 3 đi ốp.
C. Nhiệt độ tại ngăn làm đá của tủ lạnh là 4
− C cho biết nhiệt độ tại ngăn này là 4C dưới 0C .
Nhiệt độ trong phòng là 28
+ C cho biết nhiệt độ trong phòng là 28C trên 0C . Hướng dẫn giải
Cả ba câu A, B, C đều đúng.
PHIẾU BÀI TẬP DẠY THÊM TOÁN 6
PHIẾU BÀI TẬP DẠY THÊM TOÁN 6 CHƯƠNG III BÀI TẬP CHỦ ĐỀ 1
SỐ NGUYÊN ÂM VÀ TẬP HỢP CÁC SỐ NGUYÊN A. BÀI TẬP TRÊN LỚP
Dạng 1: Nhận biết số nguyên và ý nghĩa của chúng trong thực tế Bài 1. Điền ,
∈ ∉vào ô trống cho thích hợp a) 3 b) 2 − c) 0 d) 5 − e) 30 f) 20 −
Bài 2. Điền chữ Đ (đúng) hoặc chữ S (sai) vào chỗ trống a) 7∈ ...; b) 7∈ .....; c) 0∈ ...; d) 0∈ ...; e) -9∈ ...; f) 11,2∈ ... .
Bài 3. Trong các cách viết sau, cách nào đúng, cách nào sai? a) 3 − ∈ b) 6∈ c) 0∉ d) 2 − ∈ e) 1∈ f) 1 ∈ 2 g) 5 − ∉ h) 4∈ i) 3 − ∈ j) 4 − ∉
Bài 4. Đánh dấu “x” vào ô thích hợp Câu Đúng Sai
a) Nếu a ∈ thì a ∈
b) Nếu a ∈ thì a>0
c) Nếu a ∈ thì a ∈
d) Nếu a ∉ thì a ∉
Dạng 2: Ý nghĩa của số nguyên trong thực tế
Bài 5. Điền vào chỗ (…): a) Nếu 2
+ 021 biểu diễn năm 2 021 sau công nguyên thì 537 − biểu diễn … b) Nếu 7o
− C biểu diễn 7o dưới 0oC thì 8o + C biểu diễn …
PHIẾU BÀI TẬP DẠY THÊM TOÁN 6
PHIẾU BÀI TẬP DẠY THÊM TOÁN 6 c) Nếu 5
− 000 đồng biểu diễn số tiền nợ thì 10 + 000 biểu diễn …
Bài 6. Điền vào chỗ trống (…) trong các câu sau: a) Nếu 30
− m biểu diễn độ sâu của vịnh Cam Ranh là 30m dưới mực nước biển thì 10 + m biểu diễn
độ cao của mực nước sông Hồng về mùa mưa là... b) Nếu 5
+ triệu đồng biểu diễn số tiền lãi thì –3 triệu đồng biểu diễn...
Bài 7. a) Nhiệt độ thấp nhất từng ghi nhận tại Sapa là 4,
− 2C . Em hãy diễn đạt lại thông tin đó mà không dùng số âm.
b) Điểm sâu nhất thế giới trên đất liền được tìm thấy là 3,5km dưới mực nước biển (Đây là một vực
thẳm bên dưới sông băng Denman, Đông Nam Cực). Hãy dùng số âm để diễn đạt lại thông tin đó.
B. BÀI TẬP VỀ NHÀ
Bài 1. Điền kí hiệu thích hợp vào ô trống. a) 3 và 3∈ b) 7 − ∈ nhưng 7 − c) ∩ =
Bài 2. Đọc những điều ghi sau đây và cho biết điều đó đúng hay sai: a) 5 − ∈ ; . b) 5 − ∈ ; . c) ⊂ . .
Bài 3. Bác An nhận được tin nhắn: "Tài khoản ...123: 7
+ 500000 VND (Lương T6.2021)... Sau đó Bác
An đã ra cây ATM rút 5000000 và nhận được thêm tin nhắn: "Tài khoản ...123: 5 − 000000 VND..
Em hãy giải thích ý nghĩa của số âm và số dương trong mỗi tin nhắn trên.
Bài 4. Để đo mức độ cận thị và viễn thị của mắt, người ta dùng một đơn vị quang học là đi–op. Dấu "+"
đằng trước nếu viễn thị và dấu "–" nếu cận thị. Hãy cho biết trong những người sau ai bị cận thị, ai bị viễn thị: Bạn Thúy đeo kính số 1 − đi–op Bạn Trung đeo kính số 6 − đi–op Bác Thái đeo kính số 2 + đi–op Bác Phong đeo kính số 3 + đi–op
PHIẾU BÀI TẬP DẠY THÊM TOÁN 6
PHIẾU BÀI TẬP DẠY THÊM TOÁN 6 CHƯƠNG III KIỂM TRA CHỦ ĐỀ 1
SỐ NGUYÊN ÂM VÀ TẬP HỢP SỐ NGUYÊN BẢNG ĐÁP ÁN 1 2 3 4 5 6 7 8 9 10
Câu 1: Khẳng định nào sau đây là đúng:
A. Tập hợp các số nguyên là tập hợp gồm các số nguyên âm và các số nguyên dương.
B. Tập hợp các số nguyên là tập hợp gồm các số nguyên âm, số 0 và số nguyên dương.
C. Tập hợp các số nguyên kí hiệu là trong đó = { 1 − ,0,1,2,3,4, } 5 .
D. Tập hợp các số nguyên không có số 0
Câu 2: Trong các số sau có bao nhiêu số nguyên âm: 1 1 − ;0;2;4 ; 7 − ;5; 9 − 3 A. 2 B. 3 C. 4 D. 5
Câu 3: Một thung lũng thấp hơn mực nước biến 5m . Hỏi độ cao của thung lũng là bao nhiêu so với mực nước biển A. 5m . B. 5 − m . C. 50m. D. 50 − m .
Câu 4: Tập hợp các số nguyên kí hiệu là: A. . B. * . C. . D. * .
Câu 5: Trong các số sau có bao nhiêu số là số nguyên: 1 1 − ;0;2;4 ; 7 − ;5; 9 − 3 A. 6. B. 5. C. 4. D. 3.
Câu 6: Trong các số sau có bao nhiêu số nguyên dương: 1 1 − ;0;2;4 ; 7 − ;5; 9 − 3 A. 2. B. 4. C. 5. D. 3.
Câu 7: Chọn câu đúng?
A. = {0;1;2;. }. . B. = {1;2;3; } ... .
C. = {...; –2; –1;0;1;2; } ... .
D. = {...; –2; –1;1;2; } ... .
Câu 8: Nước đóng băng ở 0oC trở xuống. Trong phát biểu sau phát biểu nào sai:
A. Nước sẽ đóng băng ở -3oC.
B. Nước sẽ đóng băng ở 0oC.
C. Nước sẽ đóng băng ở 3oC.
D. Nước sẽ không đóng băng ở 3oC.
Câu 9: Chọn câu đúng A. –6∈ . B. 9∉ . C. –9∈ . D. –10∈ .
Câu 10: Trong các khẳng định sau, khẳng định nào đúng
A. Số nguyên – 1 là số nguyên dương
B. Số nguyên 1 là số nguyên âm
PHIẾU BÀI TẬP DẠY THÊM TOÁN 6
PHIẾU BÀI TẬP DẠY THÊM TOÁN 6
C. Số 0 không là số nguyên âm cũng không phải là số nguyên dương
D. Số 0 là số nguyên dương CHƯƠNG III
HƯỚNG DẪN GIẢI ĐỀ KIỂM TRA CHỦ ĐỀ 1
SỐ NGUYÊN ÂM V À TẬP HỢP SỐ NGUYÊN BẢNG ĐÁP ÁN 1 2 3 4 5 6 7 8 9 10 B B B C A A C C D C
HƯỚNG DẪN GIẢI CHI TIẾT
Câu 1: Khẳng định nào sau đây đúng?
A. Tập hợp các số nguyên là tập hợp gồm các số nguyên âm và các số nguyên dương.
B. Tập hợp các số nguyên là tập hợp gồm các số nguyên âm, số 0 và số nguyên dương.
C. Tập hợp các số nguyên kí hiệu là trong đó = { 1 − ,0,1,2,3,4, } 5 .
D. Tập hợp các số nguyên không có số 0 Hướng dẫn giải Chọn B
Câu 2: Trong các số sau có bao nhiêu số nguyên âm 1 1 − ;0;2;4 ; 7 − ;5; 9 − 3 A. 2 B. 3 C. 4 D. 5 Hướng dẫn giải
Chọn B Các số nguyên âm là 1 − ; − 7; 9 −
Câu 3: Một thung lũng thấp hơn mực nước biến 5m . Hỏi độ cao của thung lũng là bao nhiêu so với mực nước biển A. 5m . B. 5 − m . C. 50m. D. 50 − m . Hướng dẫn giải Chọn B
Độ cao của thung lũng ở độ cao -5m so với mực nước biển.
Câu 4: Tập hợp các số nguyên kí hiệu là: A. . B. * . C. . D. * .
PHIẾU BÀI TẬP DẠY THÊM TOÁN 6
PHIẾU BÀI TẬP DẠY THÊM TOÁN 6 Hướng dẫn giải Chọn C
Câu 5: Trong các số sau có bao nhiêu số là số nguyên: 1 1 − ;0;2;4 ; 7 − ;5; 9 − 3 A. 6. B. 5. C. 4. D. 3. Hướng dẫn giải
Chọn A Các số nguyên là 1 − ; 7 − ; − 9; 2; 5; 0
Câu 6: Trong các số sau có bao nhiêu số nguyên dương: 1 1 − ;0;2;4 ; 7 − ;5; 9 − 3 A. 2. B. 4. C. 5. D. 3. Hướng dẫn giải
Chọn A Các số nguyên dương là: 2,5.
Câu 7: Chọn câu đúng?
A. = {0;1;2;. }. . B. = {1;2;3; } ... .
C. = {...; –2; –1;0;1;2; } ... .
D. = {...; –2; –1;1;2; } ... . Hướng dẫn giải Chọn C
Tập hợp các số nguyên là tập hợp gồm các số nguyên âm, số 0 và số nguyên dương.
Câu 8: Nước đóng băng ở 0oC trở xuống. Trong phát biểu sau phát biểu nào sai:
A. Nước sẽ đóng băng ở -3oC.
B. Nước sẽ đóng băng ở 0oC.
C. Nước sẽ đóng băng ở 3oC.
D. Nước sẽ không đóng băng ở 3oC. Hướng dẫn giải Chọn C
Vì 3o > 0o C
C nên ở 3oC nước chưa thể đóng băng nước.
Câu 9: Chọn câu đúng A. –6∈ . B. 9∉ . C. –9∈ . D. –10∈ . Hướng dẫn giải Chọn C
Câu 10: Trong các khẳng định sau, khẳng định nào đúng ?
A. Số nguyên – 1 là số nguyên dương
B. Số nguyên 1 là số nguyên âm
C. Số 0 không là số nguyên âm cũng không phải là số nguyên dương
D. Số 0 là số nguyên dương Hướng dẫn giải Chọn C
PHIẾU BÀI TẬP DẠY THÊM TOÁN 6
PHIẾU BÀI TẬP DẠY THÊM TOÁN 6
PHIẾU BÀI TẬP DẠY THÊM TOÁN 6
PHIẾU BÀI TẬP DẠY THÊM TOÁN 6 CHƯƠNG III
HƯỚNG DẪN GIẢI BÀI TẬP CHỦ ĐỀ 1
SỐ NGUYÊN ÂM VÀ TẬP HỢP SỐ NGUYÊN A. BÀI TẬP TRÊN LỚP Bài 1. Điền dấu ,
∈ ∉vào ô trống cho thích hợp a) 3 b) 2 − c) 0 d) 5 − e) 30 f) 20 − Hướng dẫn giải a) ∈ b) ∉ c) ∈ d) ∈ e) ∈ f) ∈
Bài 2. Điền chữ Đ (đúng) hoặc chữ S (sai) vào chố trống a) 7∈ ...; b) 7∈ .....; c) 0∈ ...; d) 0∈ ...; e) -9∈ ...; f) 11,2∈ ... . Hướng dẫn giải a) 7∈ (Đ); b) 7∈ (Đ); c) 0∈ (Đ); d) 0∈ (Đ); e) -9∈ (Đ); f) 11,2∈ (S).
Bài 3. Trong các cách viết sau, cách nào đúng, cách nào sai? a) 3 − ∈ b) 6∈ c) 0∉ d) 2 − ∈ e) 1∈ f) 1 ∈ 2 g) 5 − ∉ h) 4∈ i) 3 − ∈ j) 4 − ∉ Hướng dẫn giải a) 3 − ∈ Sai b) 6∈ Đúng c) 0∉ Sai d) 2 − ∈ Đúng e) 1∈ Đúng f) 1 ∈ Sai 2 g) 5 − ∉ Sai h) 4∈ Đúng
PHIẾU BÀI TẬP DẠY THÊM TOÁN 6
PHIẾU BÀI TẬP DẠY THÊM TOÁN 6 i) 3 − ∈ Đúng j) 4 − ∉ Đúng
Bài 4. Đánh dấu “x” vào ô thích hợp Câu Đúng Sai
a) Nếu a ∈ thì a ∈
b) Nếu a ∈ thì a>0
c) Nếu a ∈ thì a ∈
d) Nếu a ∉ thì a ∉ Hướng dẫn giải Câu Đúng Sai
a) Nếu a ∈ thì a ∈ x
b) Nếu a ∈ thì a>0 x
c) Nếu a ∈ thì a ∈ x
d) Nếu a ∉ thì a ∉ x
Câu a đúng vì ⊂
Câu b sai vì ={0;1;2;3;...}Vậy nên Nếu a ∈ thì a ≥ 0
Câu c sai, giả sử -2∈ nhưng -2∉
Câu d đúng vì ⊂
Bài 5. Điền vào chỗ (…): a) Nếu 2
+ 021 biểu diễn năm 2 021 sau công nguyên thì 537 − biểu diễn … b) Nếu 7o
− C biểu diễn 7o dưới 0oC thì 8o + C biểu diễn … c) Nếu 5
− 000 đồng biểu diễn số tiền nợ thì 10 + 000 biểu diễn … Hướng dẫn giải a) năm 537 sau công nguyên
b) 8o trên 0oC c) số tiền ta có
Bài 6. Điền vào chỗ trống (…) trong các câu sau: a) Nếu 30
− m biểu diễn độ sâu của vịnh Cam Ranh là 30m dưới mực nước biển thì 10 + m biểu diễn
PHIẾU BÀI TẬP DẠY THÊM TOÁN 6
PHIẾU BÀI TẬP DẠY THÊM TOÁN 6
độ cao của mực nước sông Hồng về mùa mưa là... b) Nếu 5
+ triệu đồng biểu diễn số tiền lãi thì –3 triệu đồng biểu diễn... Hướng dẫn giải a) Nếu 30
− m biểu diễn độ sâu của vịnh Cam Ranh là 30m dưới mực nước biển thì 10 + m biểu
diễn độ cao của mực nước sông Hồng về mùa mưa là 10m trên mực nước biển. b) Nếu 5
+ triệu đồng biểu diễn số tiền lãi thì –3 triệu đồng biểu diễn số tiền lỗ là 3 triệu đồng.
Bài 7. a) Nhiệt độ thấp nhất từng ghi nhận tại Sapa là 4,
− 2C . Em hãy diễn đạt lại thông tin đó mà không dùng số âm.
b) Điểm sâu nhất thế giới trên đất liền được tìm thấy là 3,5km dưới mực nước biển (Đây là một vực
thẳm bên dưới sông băng Denman, Đông Nam Cực). Hãy dùng số âm để diễn đạt lại thông tin đó. Hướng dẫn giải
a) Nhiệt độ thấp nhất từng ghi nhận tại Sapa là 4,
− 2C dưới 0C .
b) Điểm sâu nhất thế giới trên đất liền được tìm thấy là 3,
− 5km (Đây là một vực thẳm bên dưới
sông băng Denman, Đông Nam Cực).
PHIẾU BÀI TẬP DẠY THÊM TOÁN 6
PHIẾU BÀI TẬP DẠY THÊM TOÁN 6
B. BÀI TẬP VỀ NHÀ
Bài 1. Điền kí hiệu thích hợp vào ô trống. a) 3 và 3∈ b) 7 − ∈ nhưng 7 − c) ∩ = Hướng dẫn giải a) 3 ∈ và 3∈ ; b) 7 − ∈ nhưng 7 − ∉ ; c) ∩ = .
Bài 2. Đọc những điều ghi sau đây và cho biết điều đó đúng hay sai: a) 5 − ∈ ; . b) 5 − ∈ ; . c) ⊂ . . Hướng dẫn giải a) 5
− ∈ đọc là: –5 là số nguyên (Đúng). b) 5
− ∈ đọc là: –5 là số tự nhiên (Sai).
c) ⊂ đọc là: Tập hợp các số tự nhiên là tập con của tập hợp các số nguyên (Đúng).
Bài 3. Bác An nhận được tin nhắn: "Tài khoản ...123: 7
+ 500000 VND (Lương T6.2021)... Sau đó Bác
An đã ra cây ATM rút 5000000 và nhận được thêm tin nhắn: "Tài khoản ...123: 5 − 000000 VND..
Em hãy giải thích ý nghĩa của số âm và số dương trong mỗi tin nhắn trên. Hướng dẫn giải
- Tin thứ nhất có nghĩa là Bác An đã nhận được lương của T6.2021 và trong tài khoản đã được cộng thêm 7500000 VND
- Tin thứ hai có nghĩa là Bác An rút ra 5000000 và trong tài khoản đã bị trừ 5000000 VND
Bài 4. Để đo mức độ cận thị và viễn thị của mắt, người ta dùng một đơn vị quang học là đi–op. Dấu "+"
đằng trước nếu viễn thị và dấu "–" nếu cận thị. Hãy cho biết trong những người sau ai bị cận thị, ai bị viễn thị: Bạn Thúy đeo kính số 1 − đi–op Bạn Trung đeo kính số 6 − đi–op Bác Thái đeo kính số 2 + đi–op Bác Phong đeo kính số 3 + đi–op
PHIẾU BÀI TẬP DẠY THÊM TOÁN 6
PHIẾU BÀI TẬP DẠY THÊM TOÁN 6 Hướng dẫn giải
Bạn Thúy và bạn Trung cận thị; Bác Thái và bác Phong viễn thị.
PHIẾU BÀI TẬP DẠY THÊM TOÁN 6
PHIẾU BÀI TẬP DẠY THÊM TOÁN 6 CHƯƠNG II LÝ THUYẾT CHỦ ĐỀ 2
THỨ TỰ TRONG TẬP HỢP SỐ NGUYÊN
A. KIẾN THỨC TRỌNG TÂM 1. SO SÁNH HAI SỐ NGUYÊN •
Mọi số nguyên dương đều lớn hơn số 0 . •
Mọi số nguyên âm đều nhỏ hơn số 0 . •
Mọi số nguyên âm đều nhỏ hơn bất kì số nguyên dương nào. •
Nếu a,b là hai số nguyên dương và a > b thì −a < b − . •
Chú ý: Kí hiệu a ≤ b có nghĩa là “ a < b hoặc a = b ”.
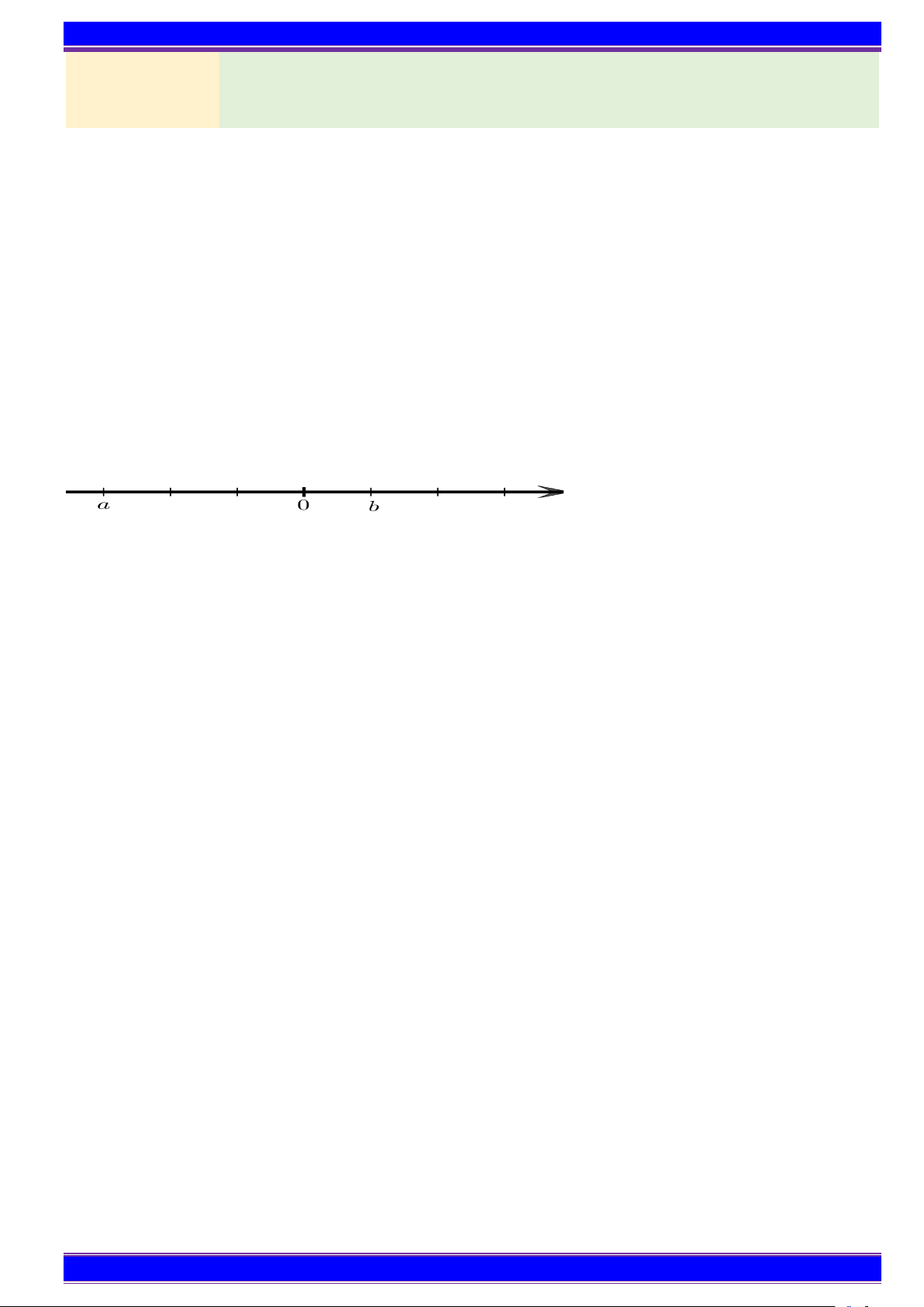
2. THỨ TỰ TRONG TẬP HỢP SỐ NGUYÊN
Khi biểu diễn hai số nguyên nguyên a , b trên trục số nằm ngang, nếu điểm a nằm trên trái điểm b thì ta nói
a nhỏ hơn b hoặc b lớn hơn a và ghi là: a < b hoặc b > a .
Sắp xếp thứ tự có rất nhiều ứng dụng trong cuộc sống. B. VÍ DỤ Ví dụ 1.
So sánh các số nguyên sau. a) 23 và 32 . b) 0 và 12. c) 14 và 25. Hướng dẫn giải a)
23 32 vì trên trục số thì số 23 nằm bên trái số 32 . b)
0 12 vì trên trục số, số 0 nằm bên phải số 12 . c)
14 25 vì trên trục số, số 14 nằm bên phải số 25 . Ví dụ 2. a) Sắp xếp các số 2 − ; 3; 5 − ; 8 ; 10 − ; 17 ; 0 ; 24
− theo thứ tự tăng dần. b) Sắp xếp các số 4 − ; 6 ; 23; 1 − ; 13; 15
− ; 0 ; 20 theo thứ tự giảm dần. Hướng dẫn giải a)
Sắp xếp theo thứ tự tăng dần: 24 − < 10 − < 5 − < 2
− < 0 < 3 < 8 <17 b)
Sắp xếp theo thứ tự giảm dần: 23 > 20 >13 > 6 > 0 > 1 − > 4 − > 15 − Ví dụ 3.
Điền dấu “ ” hoặc “” vào “…” để được kết quả đúng. a) 0 > …5. b) 0 < …5. c) …6 < …6 . d) 12 … > 15 … . e) …7 > 3. f) …21<14 . Hướng dẫn giải a) 0 > 5 − . b) 0 < 5 + . c) 6 − < 6 + .
PHIẾU BÀI TẬP DẠY THÊM TOÁN 6
PHIẾU BÀI TẬP DẠY THÊM TOÁN 6 d) 12 + > 15 − . e) 7 + > 3 . f) 21 − < 14 .
PHIẾU BÀI TẬP DẠY THÊM TOÁN 6
PHIẾU BÀI TẬP DẠY THÊM TOÁN 6 Ví dụ 4.
Trong các câu sau, câu nào đúng, câu nào sai? Hãy sửa câu sai thành đúng.
a) Số nguyên a lớn hơn 1 là một số nguyên dương.
b) Số nguyên b lớn hơn 3 là một số nguyên dương. Hướng dẫn giải a) Sai
sửa lại: Số nguyên a lớn hơn 1 là một số tự nhiên. b) Đúng Ví dụ 5. Tìm x , biết a) 0 x 5 .
b) 5 x 2. c) 1 x 1. d) 0 x 1 . Hướng dẫn giải
a) Vì x và 0 x 5 nên x∈{1;2;3;4; } 5
b) Vì x và 5 x 2 nên x∈{ 4; − − } 3
c) Vì x và 1 x 1nên x∈{ 1 − : } 0
d) Vì x và 0 x 1 nên x =1 Ví dụ 6.
Thay dấu * thành các chữ số thích hợp. a) 12 1 * . b) *8 19 . c) *2 3 . d) 2 * 21. Hướng dẫn giải a) 12 1 * * 1; 0 b) *8 19 * 1 c) *2 3 * 0 d) 2
* 21* 0
PHIẾU BÀI TẬP DẠY THÊM TOÁN 6
PHIẾU BÀI TẬP DẠY THÊM TOÁN 6 CHƯƠNG II BÀI TẬP CHỦ ĐỀ 2
THỨ TỰ TRONG TẬP HỢP SỐ NGUYÊN A. BÀI TẬP TRÊN LỚP Bài 1.
So sánh các số nguyên sau. a) 20 và 19 . b) 18 và 15 . c) 10 và 10 . Bài 2.
a) Sắp xếp các số 2; 6; 16 ; 15; 10 ; 8 theo thứ tự tăng dần.
b) Sắp xếp các số 17 ; 2; 0 ; 1; 8 ; 9 theo thứ tự giảm dần. Bài 3.
Điền dấu “ ” hoặc “” vào “…” để được kết quả đúng. a) 0 2 . b) 0 2 . c) 3 3 . d) 7 7 . e) 17 2 . f) 12 11. Bài 4.
Trong các câu sau, câu nào đúng, câu nào sai? Hãy sửa câu sai thành đúng.
a) Số nguyên a nhỏ hơn 1 là một số nguyên âm.
b) Số nguyên b nhỏ hơn 5 là một số nguyên âm. Bài 5.
Tìm x ∈ , biết a) 3 x 0 .
b) 4 x 2 .
c) 5 x 4 .
B. BÀI TẬP VỀ NHÀ Bài 1.
So sánh các số nguyên sau. a) 23 và 20 . b) 18 và 18 . c) 1 và 2. d) 15 và 10. Bài 2.
a) Sắp xếp các số nguyên theo thứ tự tăng dần 5; 23 ; 18 ; 1; 26 ; 18 .
b) Sắp xếp các số nguyên theo thứ tự giảm dần 7 ; 19 ; 0 ; 15; 7 ; 10. Bài 3.
Điền dấu “+” hoặc “” để có kết quả đúng. a) 9 9 . b) 4 8 . c) 18 17 . d) 9 5 . Bài 4.
a) Tìm số liền sau của các số: 17 ; 1; 0 ; 6.
b) Tìm số liền trước của các số: 6; 16 ; 10 ; 27 . Bài 5. Tìm x biết a) 7 x 0 .
b) 8 x 5 .
c) 4 x 3 .
PHIẾU BÀI TẬP DẠY THÊM TOÁN 6
PHIẾU BÀI TẬP DẠY THÊM TOÁN 6 CHƯƠNG II KIỂM TRA CHỦ ĐỀ 2
THỨ TỰ TRONG TẬP HỢP SỐ NGUYÊN
Câu 1: Ba số nào sau đây là ba số tự nhiên liên tiếp tăng dần: A. b −1; ;
b b +1 (b∈) . B. ;
b b +1;b + 2 (b∈) . C. 2 ; b 3 ;
b 4 b ( b∈) . D. b +1; ;
b b −1 ( b∈) .
Câu 2: Trong các tập hợp sau, tập hợp nào có các phần tử được xếp theo thứ tự tăng dần: A. {2; 1 − 7;5;1; 2; − 0}. B. { 2; − 1 − 7;0;1;2;5}. C. { 1 − 7; 2; − 0;1;2;5}. D. {0;1;2;5; 1 − 7}.
Câu 3: Có bao nhiêu số nguyên x thỏa mãn 5 x 4 ? A. 0. B. 1. C. 2. D. 3.
Câu 4: Số nguyên âm lớn nhất có 3 chữ số khác nhau là:
A. -100. B. -102. C. -999. D. -987.
Câu 5: Cho tập hợpx / 7 x
0 có bao nhiêu sô nguyên lớn hơn 3 − A. 0. B. 1. C. 2. D. 3.
Câu 6: Có bao nhiêu số nguyên âm thỏa mãn 10
− < x ≤13? A. 23. B. 24 . C. 9. D. 10.
Câu 7: Sắp sếp các số nguyên: 4; 1 − 8;6;2; 3
− ;1 theo thứ tự giảm dần là: A. 6;4;2;1; 3 − ; 1 − 8. B. 1 − 8; 3 − ;1;2;4;6. C. 1 − 8;6;4; 3 − ;2;1. D. 1;2; 3 − ;4;6; 1 − 8.
Câu 8: Cho a,b là hai số nguyên cùng dấu, a là số nguyên dương khẳng định nào sau đây là đúng?
A. −a > 0 . B. b < 0 .
C. a > b . D. b > 0.
Câu 9: Cho a,b là hai số nguyên khác dấu, a là số nguyên âm khẳng định nào sau đây là đúng?
A. b < 0 . B. −a < 0 . C. b > 0.
D. a > b .
Câu 10: Có bao nhiêu số nguyên x thỏa mãn (x − 7)(x + 5) < 0 ? A. 4. B. 5. C. 6. D. 11.
PHIẾU BÀI TẬP DẠY THÊM TOÁN 6
PHIẾU BÀI TẬP DẠY THÊM TOÁN 6 CHƯƠNG II
HƯỚNG DẪN GIẢI ĐỀ KIỂM TRA CHỦ ĐỀ 2
THỨ TỰ TRONG TẬP HỢP SỐ NGUYÊN BẢNG ĐÁP ÁN 1 2 3 4 5 6 7 8 9 10 B C C B C C A D C D
HƯỚNG DẪN GIẢI CHI TIẾT
Câu 1: Ba số nào sau đây là ba số tự nhiên liên tiếp tăng dần: A. b −1; ;
b b +1 (b∈) . B. ;
b b +1;b + 2 (b∈) . C. 2 ; b 3 ;
b 4 b ( b∈) . D. b +1; ;
b b −1 ( b∈) . Hướng dẫn giải Chọn B A. b −1; ;
b b +1 (b∈) . Sai vì nếu b = 0 thì b −1 không phải là số tự nhiên C. 2 ; b 3 ;
b 4 b ( b∈) . Sai D. b +1; ;
b b −1 ( b∈) . Sai vì nếu b = 0 thì b −1 không phải là số tự nhiên
Câu 2: Trong các tập hợp sau, tập hợp nào có các phần tử được xếp theo thứ tự tăng dần: A. {2; 1 − 7;5;1; 2; − 0}. B. { 2; − 1 − 7;0;1;2;5}. C. { 1 − 7; 2; − 0;1;2;5}. D. {0;1;2;5; 1 − 7}. Hướng dẫn giải Chọn C A. {2; 1 − 7;5;1; 2; − 0}. Sai B. { 2; − 1 − 7;0;1;2;5}. Sai D. {0;1;2;5; 1 − 7}. Sai
Câu 3: Có bao nhiêu số nguyên x thỏa mãn 5 x 4 ? A. 0. B. 1. C. 2. D. 3. Hướng dẫn giải Chọn C
Vì x là số nguyên và 5 x 4 nên x 5;4
Câu 4: Số nguyên âm lớn nhất có 3 chữ số khác nhau là:
A. -100. B. -102. C. -999. D. -987. Hướng dẫn giải
PHIẾU BÀI TẬP DẠY THÊM TOÁN 6
PHIẾU BÀI TẬP DẠY THÊM TOÁN 6 Chọn B
A. -100. Sai vì số 100 không có ba chữ số khác nhau. B. -102. Đúng
C. -999. Sai vì -999 là số nguyên âm bé nhất có 3 chữ số.
D. -987. Sai vì -987 là số nguyên âm bé nhất có 3 chữ số khác nhau.
Câu 5: Cho tập hợpx / 7 x
0 có bao nhiêu sô nguyên x lớn hơn 2 − A. 0. B. 1. C. 2. D. 3. Hướng dẫn giải Chọn C
Vì x và 7 x 0 nên x 7;6 5;4;3;2;1; 0
Do đó ta có hai số lớn hơn 2 − là -1; 0
Câu 6: Có bao nhiêu số nguyên âm thỏa mãn 10
− < x ≤13? A. 23. B. 24 . C. 9. D. 10. Hướng dẫn giải Chon C
Vì x là số nguyên âm và 10
− < x ≤13 nên x 9;8;7;6;5;4;3;2; 1 Có 9 số nguyên âm.
Câu 7: Sắp sếp các số nguyên: 4; 1 − 8;6;2; 3
− ;1 theo thứ tự giảm dần là: A. 6;4;2;1; 3 − ; 1 − 8. B. 1 − 8; 3 − ;1;2;4;6. C. 1 − 8;6;4; 3 − ;2;1. D. 1;2; 3 − ;4;6; 1 − 8. Hướng dẫn giải Chọn A A. 6;4;2;1; 3 − ; 1 − 8. Đúng B. 1 − 8; 3 − ;1;2;4;6. Sai C. 1 − 8;6;4; 3 − ;2;1. Sai D. 1;2; 3 − ;4;6; 1 − 8. Sai
Câu 8: Cho a,b là hai số nguyên cùng dấu, a là số nguyên dương khẳng định nào sau đây là đúng?
A. −a > 0 . B. b < 0 .
C. a > b . D. b > 0.
PHIẾU BÀI TẬP DẠY THÊM TOÁN 6
PHIẾU BÀI TẬP DẠY THÊM TOÁN 6 Hướng dẫn giải Chọn D
Vì a,b là hai số nguyên cùng dấu, a là số nguyên dương nên b cũng là số nguyên dương. Do đó b > 0
Câu 9: Cho a,b là hai số nguyên khác dấu, a là số nguyên âm khẳng định nào sau đây là đúng?
A. b < 0 . B. −a < 0 . C. b > 0.
D. a > b . Hướng dẫn giải Chọn C
Vì a,b là hai số nguyên khác dấu, a là số nguyên âm nên b là số nguyên dương. Do đó b > 0
Câu 10: Có bao nhiêu số nguyên x thỏa mãn (x − 7)(x + 5) < 0 ? A. 4. B. 5. C. 7. D. 11. Hướng dẫn giải Chọn D
Vì x là số nguyên và (x − 7)(x + 5) < 0 nên x − 7 và x + 5 là hai số nguyên khác dấu
Do x + 5 > x − 7 nên x + 5 > 0 và x − 7 < 0 suy ra 5 − < x < 7 hay x∈{ 4; − 3 − ; 2; − 1 − ;0;1;2;3;4;5; } 6
Vậy có tất cả 11 số nguyên x thỏa mãn.
PHIẾU BÀI TẬP DẠY THÊM TOÁN 6