












Preview text:
Lớp toán anh VỊT – VITCOP SDT:0886163653 CHƯƠNG 1 : TÌM LIM
I . Giới thiệu về tìm Lim , sơ lược về tìm Lim trong giải tích 1. Giới liệu về tìm lim
+) tìm giới hạn của hàm số (tìm lim) là 1 dạng toán cơ bản của
giải tích 1 , 2 . Các dạng toán sau này như : hàm khả vi , tích
phân suy rộng , …. đều liên quan đến tìm lim. Nếu không thành
thạo tìm lim thì sẽ rất khó làm các dạng toán sau này.
+) tìm lim có 2 kiểu : lim của hàm 1 biến và nhiều biến.
+) trong chương trình giải tích 1 chúng ta học chủ yếu tìm lim
hàm một biến. Còn lim hàm nhiều biến học trong giải tích 2.
2. Sơ lược về tìm lim trong toán đại học
+) trong toán giải tích của các trường đại học chúng ta chắc chắn
sẽ không gặp những câu tìm lim cơ bản hoặc chỉ cần thay vào là
ra , chắc chắn phải biến đổi rồi mới được thay
VD: Limx->0 sin(x) . Đối với ví dụ này, ta thấy thay x = 0
vào sin(x) ta sẽ thấy ngay Limx->0 sin(x) = 0 .
Các dạng bài đơn giản như thế này sẽ không có trong
đề thi của các trường đại học.
Lớp toán anh VỊT – VITCOP SDT:0886163653
+) về căn bản ta sẽ vẫn dùng các phương pháp đã học từ cấp 3
để tìm lim. Ngoài ra sẽ được làm quen với rất nhiều phương
pháp mới mà các bạn chưa được nghe qua bao giờ khi còn học THPT ^^.
3. Hệ thống các phương pháp tìm lim (mới và cũ) +) Phương pháp L’Hopital
+) Áp dụng các giới hạn có sẵn
+) Phương pháp thay VCB tương đương
+) Phương pháp ngắt bỏ VCL ; VCB
+) Sử dụng khai triển taylor ; khai triển maclaurin
+) Phương pháp logarit , loganepe hóa
+) Các cách xử lý đã học từ cấp 3 như nhân liên hợp , chia tử cho mẫu , ….
II . Vô cùng lớn (VCL) và vô cùng bé (VCB)
Đây là các đơn vị kiến thức mới hoàn toàn , chưa từng xuất hiện trong chương trình THPT 1. Định nghĩa
a) Vô cùng lớn ( viết tắt VCL)
Cho hàm số f(x) . Nếu Limx->xof(x) = ∞ thì ta nói : hàm số f(x)
là 1 vô cùng lớn khi x -> xo
Ví dụ : hàm số y = x là 1 VCL khi x -> ∞. Vì Limx->oo(x) = ∞
Lớp toán anh VỊT – VITCOP SDT:0886163653
Ví dụ : hàm số y = 1 là 1 VCL khi x -> 0. Vì Limx->o(1) = ∞
b) Vô cùng bé ( viết tắt VCB)
Cho hàm số f(x) . Nếu Limx->xof(x) = 0 thì ta nói : hàm số f(x) là 1 vô cùng bé khi x -> xo
Ví dụ : hàm số y = x là 1 VCB khi x -> 0. Vì Limx->o(x) = 0
Ví dụ : hàm số y = 1 là 1 VCB khi x -> ∞. Vì Limx->oo(1) = 0
2. Qui tắc ngắt bỏ VCB và ngắt bỏ VCL
{Ngắt bỏ các VCB bậc cao
Ngắt bỏ các VCL bậc thấp
Nghe thì có vẻ khó hiểu , thực ra đây là qui tắc làm tròn số, để
cho dễ hình dung chúng ta đi xét ví dụ sau ^^
Lớp toán anh VỊT – VITCOP SDT:0886163653
Ví dụ : khi x → 0 thì x3 + x2 + x = x
+) giải thích 1 : khi x → 0 thì : lim( 3) = 0 ⎛x →0 lim(x) = 0 x →0
=> cả ba ông này đều là các VCB ⎨ lim( 2) = 0 { x →0
Mà bậc của x3 > x2 > x . Ta áp dụng qui tắc ngắt bỏ VCB bậc
cao , ta sẽ ngắt bỏ 2 ông có bậc cao hơn là x3 và x2
lưu ý : bình thường x3 + x2 + x thì đương nhiên không bằng x
nhưng khi x → � thì x3 + x2 + x lại bằng x . Chuẩn hơn thì khi
x → � , x3 + x2 + x tương đương với x. kí hiệu x3 + x2 + x ~ x
+) giải thích 2 : khi x → 0 ; giả sử x = 0,00000000001 tức là x = 10-10.
Thì các bạn cứ hình dung X3 = 10-30 quá nhỏ so với 10-10
10-30 nhỏ hơn 10-10 tầm 1 nghìn nghìn nghìn nghìn nghìn tỷ lần
Và khi mà x3 nó quá bé so với x thì ta có thể vứt thằng x3 đi để
lại mình thằng x thôi nha . ^^
Lớp toán anh VỊT – VITCOP SDT:0886163653
Ví dụ : khi x → ∞ thì x3 + x2 + x = x3
+) giải thích 1 : khi x → 0 thì : lim (�3) = ∞ ⎛x →∞ lim (x) = ∞ x →∞
=> cả ba ông này đều là các VCL ⎨ lim (�2) = ∞ { x →∞
Mà bậc của x3 > x2 > x . Ta áp dụng qui tắc ngắt bỏ VCL bậc
thấp , ta sẽ ngắt bỏ 2 ông có bậc thấp hơn là x và x2
+) giải thích 2 : khi x → ∞ ; giả sử x = 1000
Thì các bạn cứ hình dung X3 = 1000000000 (1 tỷ)
Bây giờ trong tay các bạn có 1 tỷ VND mình đưa thêm cho các
bạn 1 nghìn Vnd thì liệu các bạn có cảm thấy cái 1 tỷ của các
bạn thay đổi không ? Tôi tin chắc là các ông sẽ không cảm thấy
thay đổi ^^ . Nhiều ông có khi cầm trong tay 1 triệu rồi tiêu
100k còn không tiếc chứ là 1 tỷ ^^
Đây là 1 ví dụ vui vui cho các bạn hiểu hơn về qui tắc ngắt bỏ VCB , VCL ^^ .
Mấy ông hiểu rồi thì tốt , chưa hiểu thì bỏ thêm 300.000
VND mua khóa học giải tích 1 của tôi xem cho dễ hiểu nha hehe ^^
Lớp toán anh VỊT – VITCOP SDT:0886163653 3 . VCB tương đương
8 VCB tương đương khi x → 0 hay gặp Sin(x) ~ � Sin(u) ~ � 2 2 1 – cos(x) ~ � 1 – cos(u) ~ � 2 2 Tan(x) ~ � Tan(u) ~ � �� – 1 ~ � �� – 1 ~ � Ln( x + 1 ) ~ � Ln( u + 1 ) ~ � Arctan(x) ~ � Arctan(u) ~ � Arcsin(x) ~ � Arcsin(u) ~ � (1 + x)n – 1 ~ �� (1 + u)n – 1 ~ ��
Lớp toán anh VỊT – VITCOP SDT:0886163653 4. Qui tắc L’Hopital
Đây là 1 cách tìm giới hạn hàm số khá quen thuộc đã học từ ngày cấp 3 ^^
Trước khi học công thức L’hopital thì chúng ta có 1 lưu ý
Lưu ý : Qui tắc L’hopital chỉ áp dụng được cho các giới hạn có dạng 0 hoặc ∞ 0 ∞
Ví dụ : lim 2�−2 có thể áp dụng được qui tắc L’hopital. �→0 (�−1)2
Qui tắc L’Hopital : Cho hai hàm số f(x) và g(x)
Nếu lim �(�) là 1 giới hạn có dạng 0 hoặc ∞ �→ �� �(�) 0 ∞ Lúc này ta luôn có : ( ) ( ′ ) ( ) lim = lim = lim ( ) �→ �� �(�) �→ �� �′(�) �→ �� �(�)(�)
Lớp toán anh VỊT – VITCOP SDT:0886163653
5. Áp dụng các giới hạn hàm số có sẵn
Đây là các giới hạn đã được chứng minh hoặc là quá đơn giản nên các thầy cô coi như là được
chứng minh rồi và ta được áp dụng luôn  1 1 lim ( ) = ∞ lim ( ) = 0 x →0 � x →∞ � sin (�) tan (�) lim ( ) = 1 lim ( ) = 1 x →0 � x →0 � �� − 1 1 − cos (�) 1 lim ( ) = 1 lim ( 2 ) = x →0 � x →0 � 2 1 ln (1 + �) lim (1 + �)� = � lim ( ) = 1 x →0 x →0 � � lim [arctan (�)] = lim [arccot (�)] = 0 x →+∞ x →+∞ 2 lim cot(�) = +∞ lim cot(�) = −∞ �→0+ �→0−
Lớp toán anh VỊT – VITCOP SDT:0886163653
6. Giải bài tập tìm lim bằng phương pháp Logarit hóa 1
Xét ví dụ sau : tìm lim A = lim (� )�−3 �→3 3
Nhận xét : phải nói đây là 1 ví dụ nhìn thì dễ , tuy nhiên bắt tay vào thì
mình tin là nhiều bạn không biết nên làm kiểu gì!
L’hopital không được ; không ngắt bỏ VCB,VCL được ; không thay
VCB tương đương được luôn
Câu này chúng ta sẽ làm theo phương pháp logarit hóa nha! 1
B1 : Đặt y = (� )�−3 3
B2 : Lấy loganepe 2 vế ta được : Ln(y) = Ln[ 1 � �−3 ( ] = 3) (3) �−3 ( B3 : Xét lim 3) [
] (Đây là 1 giới hạn khá đơn giản, có thể dùng L’Hopital) �→3 �−3 = lim (1 ∙ 3) = 1 �→3 3 � 3
Nếu đến đây ông nào mà kết luận A = 1 là toang mạnh rồi nha!! 3 1
B4 : kết quả chúng ta cần tìm sẽ là �3 chứ không phải 1 đâ� �ℎ� 3
Lí do : Vì � là kết quả của ���[ln(y)] chứ không phải ���(�) � �→� �→�
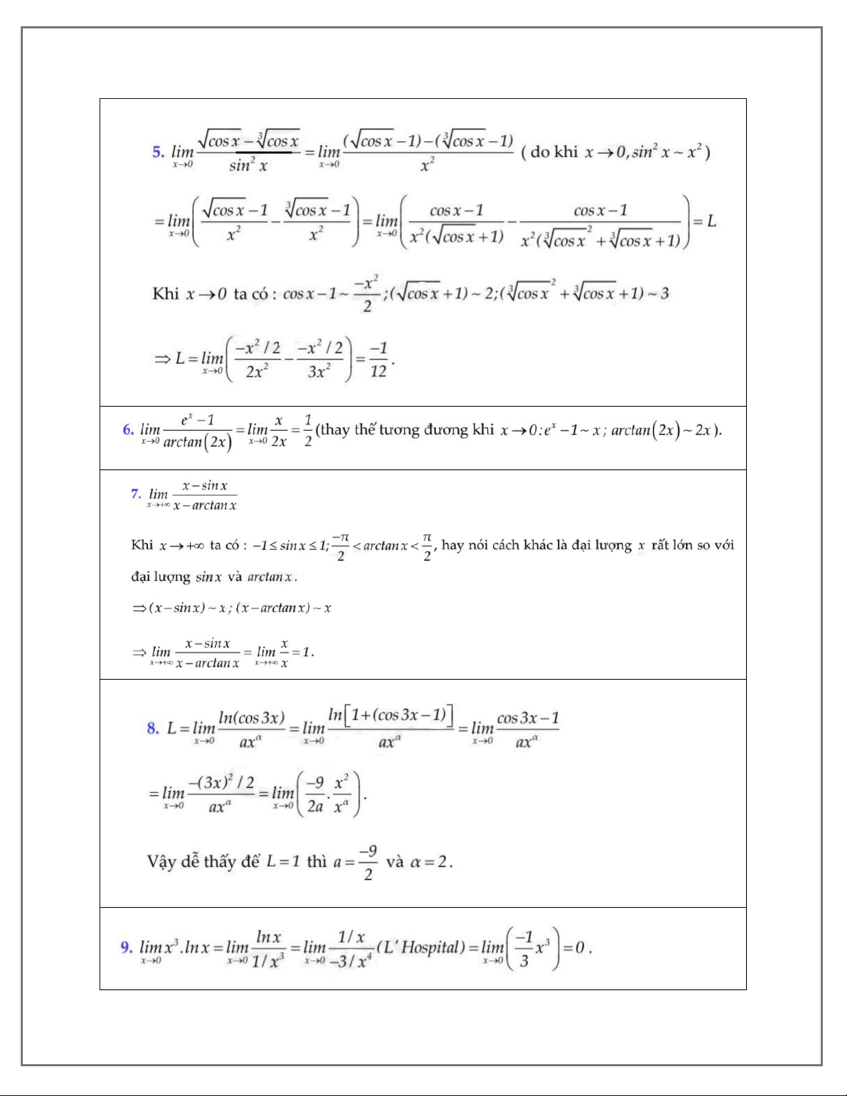
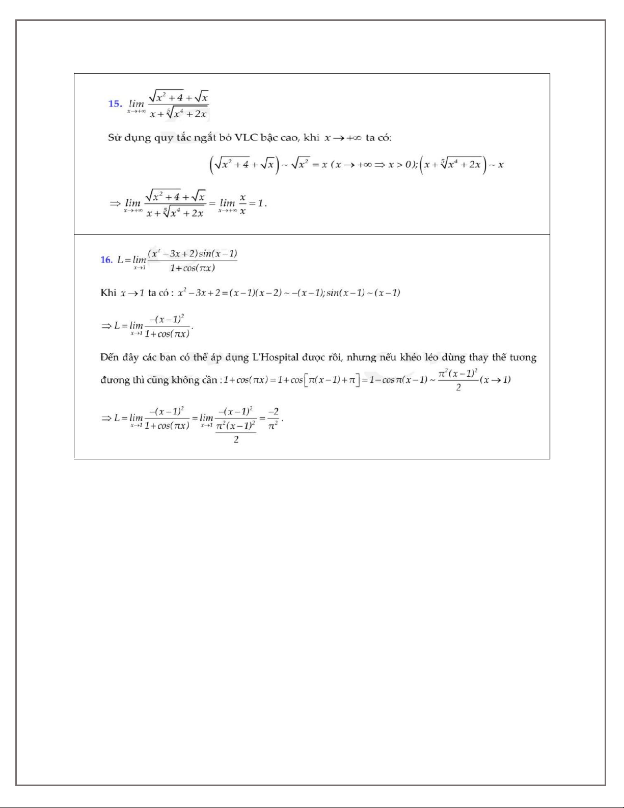
Lớp toán anh VỊT – VITCOP SDT:0886163653 Phần bài tập tự luyện
Lớp toán anh VỊT – VITCOP SDT:0886163653
Lớp toán anh VỊT – VITCOP SDT:0886163653
Lớp toán anh VỊT – VITCOP SDT:0886163653
Document Outline
- CHƯƠNG 1 : TÌM LIM
